Abstract
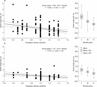
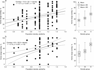
The dynamics of socio-spatial organisation are little investigated in dormice (Gliridae), a specific group among small mammals. During 2007–2017, 668 adult individuals were captured in a hazel dormouse (Muscardinus avellanarius) population in Lithuania, with the home ranges calculated for 134 males and 62 females. Over the study period, the abundance of the population gradually declined, and it was categorised into three groups: (1) high (1.2–1.4 adults/ha), (2) medium (0.9–1.0 adults/ha) and (3) low (0.4–0.7 adults/ha). When population abundance changed from high to low, the average sizes of home ranges increased from 1.4 ± 0.6 to 2.1 ± 1.2 ha in males and from 0.8 ± 0.5 to 1.1 ± 0.4 ha in females, while the total overlap of home ranges decreased from 57 ± 28 to 35 ± 23% in males and from 77 ± 27 to 44 ± 32% in females. Home ranges of marked individuals changed in consecutive years. In males, the average displacement of the centres of the home ranges was 58 ± 21 m, 75 ± 52 m and 73 ± 39 m at high, medium and low densities, respectively. The dynamics of the spatial relations in the investigated hazel dormouse population are consistent with the general tendency of home ranges to increase when population density decreases. However, the spatial organisation of population is more stable and potentially less related to the dynamics of food resources in comparison with other forest-dwelling small mammals.





Similar content being viewed by others
References
Bertolino S, Currado I, Azzollini R, Viano C (1997) The social organization, home range and movement of the garden dormouse Eliomys quercinus. Nat Croat 6:303–312
Bertolino S, Viano C, Currado I (2001) Population dynamics, breeding patterns and spatial utilisation of the garden dormouse (Eliomys quercinus) in an Alpine habitat. J Zool 253:513–521
Bieber C, Juškaitis R, Turbill C, Ruf T (2012) High survival during hibernation affects onset and timing of reproduction. Oecologia 169:155–166
Bogdziewicz M, Zwolak R, Redosh L, Rychlik L, Crone EE (2016) Negative effects of density on space use of small mammals differ with the phase of the masting-induced population cycle. Ecol Evol 6:8423–8430
Bondrup-Nielsen S, Karlsson F (1985) Movements and spatial patterns in populations of Clethrionomys species: a review. Ann Zool Fenn 22:385–392
Bright PW, Morris PA (1991) Ranging and nesting behaviour of the dormouse, Muscardinus avellanarius, in diverse low-growing woodland. J Zool 224:177–190
Bright PW, Morris PA (1996) Why are dormice rare? A case study in conservation biology. Mammal Rev 26:157–187
Brooks S, Trout R, MacPherson D (2012) Nestbox derived home range and location of the hibernaculum of the edible dormouse. Peckiana 8:181–187
Casula P, Luiselli L, Amori G (2019) Which population density affects home ranges of co-occurring rodents? Basic Appl Ecol 34:46–54
Eccard JA, Ylönen H (2003) Interspecific competition in small rodents: from populations to individuals. Evol Ecol 17:423–440
Efford MG, Dawson DK, Jhala YV, Qureshi Q (2016) Density-dependent home-range size revealed by spatially explicit capture-recapture. Ecography 39:676–688
ESRI (2019) Esri support ArcMap 10-5 (10-5-1). https://support.esri.com/en/products/desktop/arcgis-desktop/arcmap/10-5. Accessed 4 Feb 2019
Flowerdew JR (1976) Ecological methods. Mammal Rev 6:123–159
Gatter W, Schütt R (1999) Langzeitentwicklung der Höhlenkonkurrenz zwischen Vögel (Aves) und Säugetieren (Bilche Gliridae; Mäuse Muridae) in den Wäldern Baden-Württembergs. Ornithol Anz 38:107–130
Goodwin CED, Hodgson DJ, Al-Fulaij N, Bailey S, Langton S, Mcdonald RA (2017) Voluntary recording scheme reveals ongoing decline in the United Kingdom hazel dormouse Muscardinus avellanarius population. Mammal Rev 47:183–197
Grüm L, Bujalska G (2000) Bank voles and yellow-necked mice: what are interrelations between them? Pol J Ecol 48:141–145
Hayne DW (1949) Calculation of size of home range. J Mammal 30:1–18
Holden-Musser ME, Juškaitis R, Musser GM (2016) Family Gliridae (dormice). In: Wilson DE, Lacher TE Jr, Mittermeier RA (eds) Handbook of the mammals of the world, vol 6. Lagomorphs and Rodents I. Lynx Edicions, Barselona, pp 838–889
Jurczyszyn M, Zgrabczyńska E (2007) Influence of population density and reproduction on space use and spatial relations in the edible dormouse. Acta Theriol 52:181–188
Juškaitis R (1997) Ranging and movement of the common dormouse Muscardinus avellanarius in Lithuania. Acta Theriol 42:113–122
Juškaitis R (2002) Spatial distribution of the yellow-necked mouse (Apodemus flavicollis) in large forest areas and its relation with seed crop of forest trees. Mamm Biol 67:206–211
Juškaitis R (2005) The influence of high nestbox density on the common dormouse Muscardinus avellanarius population. Acta Theriol 50:43–50
Juškaitis R (2014) The common dormouse Muscardinus avellanarius: ecology, population structure and dynamics, 2nd edn. Nature Research Centre Publishers, Vilnius
Juškaitis R, Keturka K (2017) Socio-spatial organization in a local population of the forest dormouse Dryomys nitedula, with a review of these relations in other dormouse species. Mammalia 81:359–365
Juškaitis R, Baltrūnaitė L, Kitrytė N (2016) Feeding in an unpredictable environment: yearly variations in the diet of the hazel dormouse Muscardinus avellanarius. Mammal Res 61:367–372
Krebs CJ (1999) Ecological methodology, 2nd edn. Addison-Wesley Educational Publishers, Menlo Park
Madikiza ZJK, Bertolino S, Do Linh San E (2011) Female in space, or female in space and time? First data on the socio-spatial organization and mating system of the woodland dormouse (Graphiurus murinus). J Ethol 29:375–380
Mazurkiewicz M (1994) Factors influencing the distribution of the bank vole in forest habitats. Acta Theriol 39:113–126
Mazurkiewicz M, Rajska-Jurgiel (1998) Spatial behaviour and population dynamics of woodland rodents. Acta Theriol 43:137–161
McBride G (1964) A general theory of social organisation and behaviour. Univ Queensl Pap 1:75–110
Mohr CO (1947) Table of equivalent populations of North American small mammals. Am Midl Nat 37:223–249
Morris P (2011) Dormice: a tail of two species, 2nd edn. Whittet Books, Stansted
Ostfeld RS (1990) The ecology of territoriality in small mammals. Trends Ecol Evol 5:411–415
Pucek Z, Jędrzejewski W, Jędrzejewska B, Pucek M (1993) Rodent population dynamics in a primeval deciduous forest (Białovieża National Park) in relation to weather, seed crop, and predation. Acta Theriol 38:199–232
Ruf T, Fietz J, Schlund W, Bieber C (2006) High survival in poor years: life history tactics adapted to mast seeding in the edible dormouse. Ecology 87:372–381
Schoepf I, Schmohl G, König B, Pillay N, Schradin C (2015) Manipulation of population density and food availability affects home range sizes of African striped mouse females. Anim Behav 99:53–60
Ściński M, Borowski Z (2008) Spatial organization of the fat dormouse (Glis glis) in an oak-hornbeam forest during the mating and post-mating season. Mamm Biol 73:119–127
Sevianu E, David A (2012) An estimate of population density of the fat dormouse Glis glis, movement and nest cohabitation in two types of forests in the Transylvanian Plain (Romania). Peckiana 8:11–20
Statistica (2019) Product features. http://www.statsoft.com/Products/STATISTICA-Features. Accessed 4 Feb 2019
Stenseth NC, Viljugrein H, Jędrzejewski W, Mysterud A, Pucek Z (2002) Population dynamics of Clethrionomys glareolus and Apodemus flavicollis: seasonal components of density dependence and density independence. Acta Theriol 47 (Suppl. 1:39–67
Stradiotto A, Cagnacci F, Delahay R, Tioli S, Nieder L, Rizzoli A (2009) Spatial organization of the yellow-necked mouse: effects of density and resource availability. J Mammal 90:704–714
Suchomel J, Heroldova M (2007) Effect of seed crop of trees on the abundance and body parameters of granivorous mammals in isolated forest stands of Southern Moravia (Czech Republic). Pol J Ecol 56:181–186
Wolf JO (1985) The effects of density, food, and interspecific interference on home range size in Peromyscus leucopus and Peromyscus maniculatus. Can J Zool 63:2657–2662
Wolf JO (1993) Why are female small mammals territorial? Oikos 68:364–370
Wolton RJ (1985) The ranging and nesting behaviour of wood mice, Apodemus sylvaticus (Rodentia: Muridae), as revealed by radio-tracking. J Zool 206:203–224
Acknowledgements
Two anonymous reviewers made valuable comments on earlier versions of the manuscript. J. Stratford revised the English of the manuscript and G. Vaitonis helped in the preparation of figures.
Author information
Authors and Affiliations
Corresponding author
Additional information
Communicated by: Magdalena Niedziałkowska
Publisher’s note
Springer Nature remains neutral with regard to jurisdictional claims in published maps and institutional affiliations.
Rights and permissions
About this article
Cite this article
Juškaitis, R., Keturka, K. & Balčiauskas, L. Spatial dynamics of a hazel dormouse (Muscardinus avellanarius) population at different densities. Mamm Res 65, 49–58 (2020). https://doi.org/10.1007/s13364-019-00452-3
Received:
Accepted:
Published:
Issue Date:
DOI: https://doi.org/10.1007/s13364-019-00452-3


