Skip to main content

Molecular mechanism of manipulating seed coat coloration in oilseed Brassica species

Abstract

Yellow seed is a desirable characteristic for the breeding of oilseed Brassica crops, but the manifestation of seed coat color is very intricate due to the involvement of various pigments, the main components of which are flavonols, proanthocyanidin (condensed tannin), and maybe some other phenolic relatives, like lignin and melanin. The focus of this review is to examine the genetics mechanism regarding the biosynthesis and regulation of these pigments in the seed coat of oilseed Brassica. This knowledge came largely from recent researches on the molecular mechanism of TRANSPARENT TESTA (tt) and similar mutations in the ancestry model plant of Brassica, Arabidopsis. Some key enzymes in the flavonoid (flavonols and proanthocyanidin) biosynthetic pathway have been characterized in tt mutants. Some orthologs to these TRANSPARENT TESTA genes have also been cloned in Brassica species. However, it is suggested that some alterative metabolism pathways, including lignin and melanin, might also be involved in seed color manifestation. Polyphenol oxidases, such as laccase, tyrosinase, or even peroxidase, participate in the oxidation step in proanthocyanidin, lignin, and melanin biosynthesis. Moreover, some researches also suggested that melanic pigment in black-seeded Brassica was several fold higher than in yellow-seeded Brassica. Although more experiments are required to evaluate the importance of lignin and melanin in seed coat browning, the current results suggest that the flavonols and proanthocyanidin are not the only roles affecting seed color.

This is a preview of subscription content, access via your institution.

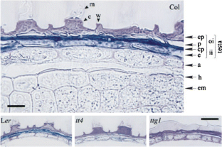
Fig. 1
Fig. 2
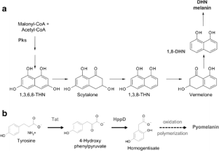
Fig. 3
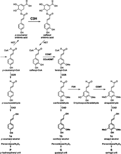
Fig. 4
Fig. 5

References

  • Abrahams S, Lee E, Walker AR, Tanner GJ, Larkin PJ, Ashton AR (2003) The Arabidopsis TDS4 gene encodes leucoanthocyanidin dioxygenase (LDOX) and is essential for proanthocyanidin synthesis and vacuole development. Plant J 35:624–636

    PubMed  Article  CAS  Google Scholar 

  • Akhov L, Ashe P, Tan Y, Datla R, Selvaraj G (2009) Proanthocyanidin biosynthesis in the seed coat of yellow-seeded, canola quality Brassica napus YN01-429 is constrained at the committed step catalyzed by dihydroflavonol 4-reductase. Botany 87:616–625

    Article  CAS  Google Scholar 

  • Auger B, Baron C, Lucas MO, Vautrin S, Bergès H, Chalhoub B, Fautrel A, Renard M, Nesi N (2009) Brassica orthologs from BANYULS belong to a small multigene family, which is involved in procyanidin accumulation in the seed. Planta 230:1167–1183

    PubMed  Article  CAS  Google Scholar 

  • Baudry A, Caboche M, Lepiniec L (2006) TT8 controls its own expression in a feedback regulation involving TTG1 and homologous MYB and bHLH factors, allowing a strong and cell-specific accumulation of flavonoids in Arabidopsis thaliana. Plant J 46:768–779

    PubMed  Article  CAS  Google Scholar 

  • Baxter IR, Young JC, Armstrong G, Foster N, Bogenschutz N, Cordova T, Peer WA, Hazen SP, Murphy AS, Harper JF (2005) A plasma membrane H+-ATPase is required for the formation of proanthocyanidins in the seed coat endothelium of Arabidopsis thaliana. Proc Natl Acad Sci USA 102:2649–2654

    PubMed  Article  CAS  Google Scholar 

  • Bellani LM, Guarnieri M, Scialabba A (2002) Differences in the activity and distribution of peroxidases from three different portions of germinating Brassica oleracea seeds. Physiol Plant 114:102–108

    PubMed  Article  CAS  Google Scholar 

  • Besseau S, Hoffmann L, Geoffroy P, Lapierre C, Pollet B, Legrand M (2007) Flavonoid accumulation in Arabidopsis repressed in lignin synthesis affects auxin transport and plant growth. Plant Cell 19:148–162

    PubMed  Article  CAS  Google Scholar 

  • Bharti AK, Khurana JP (2003) Molecular characterization of transparent testa (tt) mutants of Arabidopsis thaliana (ecotype Estland) impaired in flavonoid biosynthetic pathway. Plant Sci 165:1321–1332

    Article  CAS  Google Scholar 

  • Borevitz JO, Xia Y, Blount J, Dixon RA, Lamb C (2000) Activation tagging identifies a conserved MYB regulator of phenylpropanoid biosynthesis. Plant Cell 12:2383–2394

    PubMed  CAS  Google Scholar 

  • Cai X, Davis EJ, Ballif J, Liang M, Bushman E, Haroldsen V, Torabinejad J, Wu Y (2006) Mutant identification and characterization of the laccase gene family in Arabidopsis. J Exp Bot 57:2563–2569

    PubMed  Article  CAS  Google Scholar 

  • Chai YR, Lei B, Huang HL, Li JN, Yin JM, Tang ZL, Wang R, Chen L (2009) TRANSPARENT TESTA 12 genes from Brassica napus and parental species: cloning, evolution, and differential involvement in yellow seed trait. Mol Genet Genom 281:109–123

    Article  CAS  Google Scholar 

  • Chen AH, Chai YR, Li JN, Chen L (2007) Molecular cloning of two genes encoding cinnamate 4-hydroxylase (C4H) from oilseed rape (Brassica napus). J Biochem Mol Biol 40:247–260

    PubMed  Article  CAS  Google Scholar 

  • Chen M, Wang Z, Zhu Y, Li Z, Hussain N, Xuan L, Guo W, Zhang G, Jiang L (2012) The effect of TRANSPARENT TESTA2 on seed fatty acid biosynthesis and tolerance to environmental stresses during young seedling establishment in Arabidopsis. Plant Physiol 160:1023–1036

    PubMed  Article  CAS  Google Scholar 

  • Dean G, Cao Y, Xiang D, Provart NJ, Ramsay L, Ahad A, White R, Selvaraj G, Datla R, Haughn G (2011) Analysis of gene expression patterns during seed coat development in Arabidopsis. Mol Plant 4:1074–1091

    PubMed  Article  CAS  Google Scholar 

  • Debeaujon I, Léon-Kloosterziel KM, Koornneef M (2000) Influence of the testa on seed dormancy, germination, and longevity in Arabidopsis. Plant Physiol 122:403–413

    PubMed  Article  CAS  Google Scholar 

  • Debeaujon I, Peeters AJM, Léon-Kloosterziel KM, Koornneef M (2001) The TRANSPARENT TESTA12 gene of Arabidopsis encodes a multidrug secondary transporter-like protein required for flavonoid sequestration in vacuoles of the seed coat endothelium. Plant Cell 13:853–871

    PubMed  CAS  Google Scholar 

  • Debeaujon I, Nesi N, Perez P, Devic M, Grandjean O, Caboche M, Lepiniec L (2003) Proanthocyanidin-accumulating cells in Arabidopsis testa: Regulation of differentiation and role in seed development. Plant Cell 15:2514–2531

    PubMed  Article  CAS  Google Scholar 

  • DeBolt S, Scheible WR, Schrick K, Auer M, Beisson F, Bischoff V, Bouvier-Navé P, Carroll A, Hematy K, Li Y, Milne J, Nair M, Schaller H, Zemla M, Somerville C (2009) Mutations in UDP-Glucose:sterol glucosyltransferase in Arabidopsis cause transparent testa phenotype and suberization defect in seeds. Plant Physiol 151:78–87

    PubMed  Article  CAS  Google Scholar 

  • Deng W, Chen G, Peng F, Truksa M, Snyder CL, Weselake RJ (2012) Transparent testa16 plays multiple roles in plant development and is involved in lipid synthesis and embryo development in canola. Plant Physiol 160:978–989

    PubMed  Article  CAS  Google Scholar 

  • Dixon RA, Xie DY, Sharma SB (2005) Proanthocyanidins—a final frontier in flavonoid research? New Phytol 165:9–28

    PubMed  Article  CAS  Google Scholar 

  • Dubos C, Le Gourrierec J, Baudry A, Huep G, Lanet E, Debeaujon I, Routaboul JM, Alboresi A, Weisshaar B, Lepiniec L (2008) MYBL2 is a new regulator of flavonoid biosynthesis in Arabidopsis thaliana. Plant J 55:940–953

    PubMed  Article  CAS  Google Scholar 

  • El-Mezawy A, Wu L, Shah S (2009) A seed coat-specific promoter for canola. Biotechnol Lett 31:1961–1965

    PubMed  Article  CAS  Google Scholar 

  • Espín JC, Jolivet S, Wichers HJ (1999) Kinetic study of the oxidation of γ-L-glutaminyl-4-hydroxybenzene catalyzed by mushroom (Agaricus bisporus) tyrosinase. J Agric Food Chem 47:3495–3502

    PubMed  Article  Google Scholar 

  • Feyissa DN, Løvdal T, Olsen KM, Slimestad R, Lillo C (2009) The endogenous GL3, but not EGL3, gene is necessary for anthocyanin accumulation as induced by nitrogen depletion in Arabidopsis rosette stage leaves. Planta 230:747–754

    PubMed  Article  CAS  Google Scholar 

  • Funa N, Ohnishi Y, Fujii I, Shibuya M, Ebizuka Y, Horinouchi S (1999) A new pathway for polyketide synthesis in microorganisms. Nature 400:897–899

    PubMed  Article  CAS  Google Scholar 

  • Gao P, Li X, Cui D, Wu L, Parkin I, Gruber MY (2010) A new dominant Arabidopsis transparent testa mutant, sk21-D, and modulation of seed flavonoid biosynthesis by KAN4. Plant Biotechnol J 8:979–993

    PubMed  Article  CAS  Google Scholar 

  • Heinekamp T, Thywissen A, Macheleidt J, Keller S, Valiante V, Brakhage AA (2012) Aspergillus fumigatus melanins: Interference with the host endocytosis pathway and impact on virulence. Front Microbio 3:440. doi:10.3389/fmicb.2012.00440

  • Jiang HL, Liang Y (2006) Studies on purification and properties of phenylalanine ammonia-lyase (PAL) in Brassica napus. Chin Agric Sci Bull 22(7):282–286

    Google Scholar 

  • Kitamura S, Shikazono N, Tanaka A (2004) TRANSPARENT TESTA 19 is involved in the accumulation of both anthocyanins and proanthocyanidins in Arabidopsis. Plant J 37:104–114

    PubMed  Article  CAS  Google Scholar 

  • Kitamura S, Matsuda F, Tohge T, Yonekura-Sakakibara K, Yamazaki M, Saito K, Narumi I (2010) Metabolic profiling and cytological analysis of proanthocyanidins in immature seeds of Arabidopsis thaliana flavonoid accumulation mutants. Plant J 62:549–559

    PubMed  Article  CAS  Google Scholar 

  • Kubo H, Kishi M, Goto K (2008) Expression analysis of ANTHOCYANINLESS2 gene in Arabidopsis. Plant Sci 175:853–857

    Article  CAS  Google Scholar 

  • Li Y, Li J, Chai Y, Yang C, Lei B (2005) Cloning and sequence analysis of a DFR gene from Brassica campestris L. var. oleifera DC. Mol Plant Breed 3(4):485–492

    CAS  Google Scholar 

  • Li X, Westcott N, Links M, Gruber MY (2010) Seed coat phenolics and the developing silique transcriptome of Brassica carinata. J Agric Food Chem 58:10918–10928

    Article  CAS  Google Scholar 

  • Liu LZ, Li MT, Wang H, Lin N, Chen L, Meng JL, Li JN (2004) Studies of yellow-seeded gene in Brassica napus with mRNA differential display. Sci Agric Sin 37:1772–1776

    CAS  Google Scholar 

  • Liu L, Stein A, Wittkop B, Sarvari P, Li J, Yan X, Dreyer F, Frauen M, Friedt W, Snowdon RJ (2012) A knockout mutation in the lignin biosynthesis gene CCR1 explains a major QTL for acid detergent lignin content in Brassica napus seeds. Theor Appl Genet 124:1573–1586

    PubMed  Article  CAS  Google Scholar 

  • Marles MAS, Gruber MY (2004) Histochemical characterisation of unextractable seed coat pigments and quantification of extractable lignin in the Brassicaceae. J Sci Food Agric 84:251–262

    Article  CAS  Google Scholar 

  • Marles MAS, Gruber MY, Scoles GJ, Muir AD (2003) Pigmentation in the developing seed coat and seedling leaves of Brassica carinata is controlled at the dihydroflavonol reductase locus. Phytochemistry 62:663–672

    PubMed  Article  CAS  Google Scholar 

  • McCaig BC, Meagher RB, Dean JF (2005) Gene structure and molecular analysis of the laccase-like multicopper oxidase (LMCO) gene family in Arabidopsis thaliana. Planta 221:619–636

    PubMed  Article  CAS  Google Scholar 

  • Nesi N, Debeaujon I, Jond C, Pelletier G, Caboche M, Lepiniec L (2000) The TT8 gene encodes a basic helix-loop-helix domain protein required for expression of DFR and BAN genes in Arabidopsis siliques. Plant Cell 12:1863–1878

    PubMed  CAS  Google Scholar 

  • Nesi N, Jond C, Debeaujon I, Caboche M, Lepiniec L (2001) The Arabidopsis TT2 gene encodes an R2R3 MYB domain protein that acts as a key determinant for proanthocyanidin accumulation in developing seed. Plant Cell 13:2099–2114

    PubMed  CAS  Google Scholar 

  • Nesi N, Debeaujon I, Jond C, Stewart AJ, Jenkins GI, Caboche M, Lepiniec L (2002) The TRANSPARENT TESTA16 locus encodes the ARABIDOPSIS BSISTER MADS domain protein and is required for proper development and pigmentation of the seed coat. Plant Cell 14:2463–2479

    PubMed  Article  CAS  Google Scholar 

  • Nesi N, Lucas MO, Auger B, Baron C, Lécureuil A, Guerche P, Kronenberger J, Lepiniec L, Debeaujon I, Renard M (2009) The promoter of the Arabidopsis thaliana BAN gene is active in proanthocyanidin-accumulating cells of the Brassica napus seed coat. Plant Cell Rep 28:601–617

    PubMed  Article  CAS  Google Scholar 

  • Ni Y, Jiang HL, Lei B, Li JN, Chai YR (2008) Molecular cloning, characterization and expression of two rapeseed (Brassica napus L.) cDNAs orthologous to Arabidopsis thaliana phenylalanine ammonia-lyase 1. Euphytica 159:1–16

    Article  CAS  Google Scholar 

  • Nicolaus RA, Piattelli M, Fattorusso E (1964) The structure of melanins and melanogenesis. IV. On some natural melanins. Tetrahedron 20:1163–1172

    PubMed  Article  CAS  Google Scholar 

  • Payne CT, Zhang F, Lloyd AM (2000) GL3 encodes a bHLH protein that regulates trichome development in Arabidopsis through interaction with GL1 and TTG1. Genetics 156:349–1362

    Google Scholar 

  • Pelletier MK, Shirley BW (1996) Analysis of flavanone 3-hydroxylase in Arabidopsis seedlings. Coordinate regulation with chalcone synthase and chalcone isomerase. Plant Physiol 111:339–345

    PubMed  Article  CAS  Google Scholar 

  • Plonka PM, Grabacka M (2006) Melanin synthesis in microorganisms—biotechnological and medical aspects. Acta Biochim Pol 53(3):429–443

    PubMed  CAS  Google Scholar 

  • Pourcel L, Routaboul JM, Kerhoas L, Caboche M, Lepiniec L, Debeaujon I (2005) TRANSPARENT TESTA10 encodes a laccase-like enzyme involved in oxidative polymerization of flavonoids in Arabidopsis seed coat. Plant Cell 17:2966–2980

    PubMed  Article  CAS  Google Scholar 

  • Pourcel L, Routaboul JM, Cheynier V, Lepiniec L, Debeaujon I (2007) Flavonoid oxidation in plants: from biochemical properties to physiological functions. Trends Plant Sci 12:29–36

    PubMed  Article  CAS  Google Scholar 

  • Ran XZ, Liang Y, Li JN (2005) Analysis of the lignin contents and related enzymes activities in seed coat between black-seeded and yellow-seeded rapes (Brassica napus L.). Sci Agric Sin(12):890–897

    Google Scholar 

  • Routaboul JM, Kerhoas L, Debeaujon I, Pourcel L, Caboche M, Einhorn J, Lepiniec L (2006) Flavonoid diversity and biosynthesis in seed of Arabidopsis thaliana. Planta 224:96–107

    PubMed  Article  CAS  Google Scholar 

  • Routaboul JM, Dubos C, Beck G, Marquis C, Bidzinski P, Loudet O, Lepiniec L (2012) Metabolite profiling and quantitative genetics of natural variation for flavonoids in Arabidopsis. J Exp Bot 63:3749–3764

    PubMed  Article  CAS  Google Scholar 

  • Sagasser M, Lu GH, Hahlbrock K, Weisshaar B (2002) A. thaliana TRANSPARENT TESTA 1 is involved in seed coat development and defines the WIP subfamily of plant zinc finger proteins. Genes Dev 16:138–149

    PubMed  Article  CAS  Google Scholar 

  • Schoenbohm C, Martens S, Eder C, Forkmann G, Weisshaar B (2000) Identification of the Arabidopsis thaliana flavonoid 3′-hydroxylase gene and functional expression of the encoded P450 enzyme. Biol Chem 381:749–753

    PubMed  Article  CAS  Google Scholar 

  • Shirley BW, Hanley S, Goodman HM (1992) Effects of ionizing radiation on a plant genome: analysis of two Arabidopsis transparent testa mutations. Plant Cell 4:333–347

    PubMed  CAS  Google Scholar 

  • Shirley BW, Kubasek WL, Storz G, Bruggemann E, Koornneef M, Ausubel FM, Goodman HM (1995) Analysis of Arabidopsis mutants deficient in flavonoid biosynthesis. Plant J 8:659–671

    PubMed  Article  CAS  Google Scholar 

  • Stracke R, Jahns O, Keck M, Tohge T, Niehaus K, Fernie AR, Weisshaar B (2010) Analysis of production of flavonol glycosides-dependent flavonol glycoside accumulation in Arabidopsis thaliana plants reveals MYB11-, MYB12- and MYB111-independent flavonol glycoside accumulation. New Phytol 188:985–1000

    PubMed  Article  CAS  Google Scholar 

  • Tanaka A, Tano S, Chantes T, Yokota Y, Shikazono N, Watanabe H (1997) A new Arabidopsis mutant induced by ion beams affects flavonoid synthesis with spotted pigmentation in testa. Genes Genet Syst 72:141–148

    PubMed  Article  CAS  Google Scholar 

  • Tsuchiya Y, Nambara E, Naito S, McCourt P (2004) The FUS3 transcription factor functions through the epidermal regulator TTG1 during embryogenesis in Arabidopsis. Plant J 37:73–81

    PubMed  Article  CAS  Google Scholar 

  • Walker AR, Davison PA, Bolognesi-Winfield AC, James CM, Srinivasan N, Blundell TL, Esch JJ, Marks MD, Gray JC (1999) The TRANSPARENT TESTA GLABRA1 locus, which regulates trichome differentiation and anthocyanin biosynthesis in Arabidopsis, encodes a WD40 repeat protein. Plant Cell 11:1377–1350

    Google Scholar 

  • Wang Y, Liu X, Lu M (1996) Study on the structure of several natural melanins by FTIR spectrometer. Anal Lab 15(6):63–65

    Google Scholar 

  • Wei YL, Li JN, Lu J, Tang ZL, Pu DC, Chai YR (2007) Molecular cloning of Brassica napus TRANSPARENT TESTA 2 gene family encoding potential MYB regulatory proteins of proanthocyanidin biosynthesis. Mol Biol Rep 34:105–120

    PubMed  Article  CAS  Google Scholar 

  • Wu L, El-Mezawy A, Duong M, Shah S (2010) Two seed coat-specific promoters are functionally conserved between Arabidopsis thaliana and Brassica napus. In Vitro Cell Dev Biol Plant 46:338–347

    Article  CAS  Google Scholar 

  • Xie DY, Sharma SB, Paiva NL, Ferreira D, Dixon RA (2003) Role of anthocyanidin reductase, encoded by BANYULS in plant flavonoid biosynthesis. Science 299:396–399

    PubMed  Article  CAS  Google Scholar 

  • Xu BB, Li JN, Zhang XK, Wang R, Xie LL, Chai YR (2007) Cloning and molecular characterization of a functional flavonoid 3′-hydroxylase gene from Brassica napus. J Plant Physiol 164:350–363

    PubMed  Article  CAS  Google Scholar 

  • Yan M, Liu X, Guan C, Chen X, Liu Z (2011) Cloning and expression analysis of an anthocyanidin synthase gene homolog from Brassica juncea. Mol Breed 28:313–322

    Article  CAS  Google Scholar 

  • Ye XL, Li JN, Tang ZL, Chen L (2001a) Dynamic studies on difference of seedcoat pigments and related characters between black-seeded and yellow-seeded rapeseed lines (Brassica napus L.) in the developmental stages of embryo. Proceedings of International Symposium on Rapeseed Science. Science Press, New York, pp 73–84

    Google Scholar 

  • Ye XL, Li JN, Tang ZL, Liang Y, Chen L (2001b) Study on seed coat colour and related characters of Brassica napus L. Acta Agron Sci 27:550–556

    Google Scholar 

  • Ye XL, Li XG, Li JN (2002) Mechanism of melanin synthesis in seed coat of Brassica napus L. Acta Agron Sci 28:638–643

    Google Scholar 

  • Yu CY, Hu SW (2006) Discrimination of two dominant inheritance model of yellow-seededness of Brassica napus. Brassica 8:19–22

    Google Scholar 

  • Yu CY, Leišova L, Kučera V, Vyvadilová M, Ovesná J, Dotlačil L, Hu SW (2007) Assessment of genetic diversity of yellow-seeded rapeseed (Brassica napus L.) accessions by AFLP markers. Czech J Genet Plant Breed 43(3):105–112

    CAS  Google Scholar 

  • Zhang XK, Yang GT, Chen L, Yin JM, Tang ZL, Li JN (2006) Physiological differences between yellow-seeded and black-seeded rapeseeds (Brassica napus L.) with different testa characteristics during artificial ageing. Seed Sci Technol 34:373–381

    Google Scholar 

  • Zhang J, Lu Y, Yuan Y, Zhang X, Geng J, Chen Y, Cloutier S, McVetty PB, Li G (2009) Map-based cloning and characterization of a gene controlling hairiness and seed coat color traits in Brassica rapa. Plant Mol Biol 69:553–563

    PubMed  Article  CAS  Google Scholar 

  • Zhao J, Pang Y, Dixon RA (2010) The mysteries of proanthocyanidin transport and polymerization. Plant Physiol 153:437–443

    PubMed  Article  CAS  Google Scholar 

  • Zhu QY, Chen GM (2009) The extracting condition of melanin from the banana skin. Food Res Dev 10:171–173

    Google Scholar 

Download references

Acknowledgments

Research in my laboratory is financially supported by the National Natural Science Foundation of China (project no. 31071454) and the Program for New Century Excellent Talents in University (NCET-10-0693).

Author information

Affiliations

Authors

Corresponding author

Correspondence to Cheng-Yu Yu.

Rights and permissions

Reprints and Permissions

About this article

Cite this article

Yu, CY. Molecular mechanism of manipulating seed coat coloration in oilseed Brassica species. J Appl Genetics 54, 135–145 (2013). https://doi.org/10.1007/s13353-012-0132-y

Download citation

  • Received:

  • Revised:

  • Accepted:

  • Published:

  • Issue Date:

  • DOI: https://doi.org/10.1007/s13353-012-0132-y

Keywords

  • Yellow-seededness
  • Transparent testa
  • Proanthocyanidin
  • Lignin
  • Melanin