Skip to main content

Neuro-fuzzy modeling of ibuprofen-sustained release from tablets based on different cellulose derivatives

Abstract

In the present study, we investigated the drug release behavior from cellulose derivative (CD) matrices in the oral form of tablets. We used the adaptive neural-fuzzy inference system (ANFIS) to predict the best formulation parameters to get the perfect sustained drug delivery using ibuprofen (IB) as a model drug. The different formulations were prepared with different CDs, namely CMC, HEC, HPC, HPMC, and MC. The amount of the active ingredient varied between 20 and 50%. The flow properties of the powder mixtures were evaluated for their angle of repose, compressibility index, and Hausner ratio, while the tablets were evaluated for weight uniformity, hardness, friability, drug content, disintegration time, and release ratio. All tablet formulations presented acceptable pharmacotechnical properties. In general, the results showed that the drug release rate increases with an increase in the loaded drug. Kinetic studies using the Korsmeyer-Peppas equation showed that different drug release mechanisms were involved in controlling the drug dissolution from tablets. The drug release mechanism was influenced by the gel layer strength of the CDs formed in the dissolution medium. The mean dissolution time (MDT) was determined and the highest MDT value was obtained for the HPMC formulations. Moreover, HPMC exhibited release profiles adequate for sustained release formulations for over 14 h. The intelligent model based on the experimental data was used to predict the effect of the polymer’s nature, the amount of the active ingredient, and the kinetic release profile and rate (R2 = 0.9999 and RMSE = 5.7 × 10−3). The ANFIS model developed in this work could accurately model the relationship between IB release behavior and tablet formulation parameters. The proposed model was able to successfully describe this phenomenon and can be considered an efficient tool with predictive capabilities that is useful for the designing and testing of new dosage systems based on polymers.

This is a preview of subscription content, access via your institution.

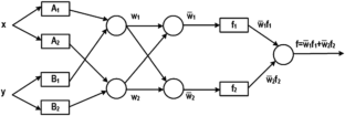
Fig. 1
Fig. 2
Fig. 3
Fig. 4
Fig. 5
Fig. 6
Fig. 7
Fig. 8
Fig. 9
Fig. 10

References

  1. Siepmann J, Peppas NA. Modeling of drug release from delivery systems based on hydroxypropyl methylcellulose (HPMC). Adv Drug Deliv Rev. 2001;48(2–3):139–57.

    Article  CAS  PubMed  Google Scholar 

  2. Wen H, Park K. Oral controlled release formulation design and drug delivery: theory to practice. 1st ed. Hoboken: Wiley; 2010.

    Book  Google Scholar 

  3. Khlibsuwan R, Pongjanyakul T. Chitosan-clay matrix tablets for sustained-release drug delivery: effect of chitosan molecular weight and lubricant. J Drug Deliv Sci Technol. 2016;35:303–13.

    Article  CAS  Google Scholar 

  4. Shoaib M, et al. Sustained drug delivery of doxorubicin as a function of pH, releasing media, and NCO contents in polyurethane urea elastomers. J Drug Deliv Sci Technol. 2017;39:277–82.

    Article  CAS  Google Scholar 

  5. Krishnaiah YSR. Pharmaceutical Technologies for Enhancing Oral Bioavailability of poorly soluble drugs. J Bioequivalence Bioavailab. 2010;2:2.

    Article  CAS  Google Scholar 

  6. Savjani KT, Gajjar AK, Savjani JK. Drug solubility: importance and enhancement techniques. ISRN Pharm. 2012;2012:195727.

    PubMed  PubMed Central  Google Scholar 

  7. Abbaspour MR, Sadeghi F, Afrasiabi Garekani H. Design and study of ibuprofen disintegrating sustained-release tablets comprising coated pellets. Eur J Pharm Biopharm. 2008;68(3):747–59.

    Article  CAS  PubMed  Google Scholar 

  8. Fredenberg S, Wahlgren M, Reslow M, Axelsson A. The mechanisms of drug release in poly(lactic-co-glycolic acid)-based drug delivery systems--a review. Int J Pharm. 2011;415(1–2):34–52.

    Article  CAS  Google Scholar 

  9. Mohamed FAA, Roberts M, Seton L, Ford JL, Levina M, Rajabi-Siahboomi AR. Film-coated matrix mini-tablets for the extended release of a water-soluble drug. Drug Dev Ind Pharm. 2015;41(4):623–30.

    Article  CAS  PubMed  Google Scholar 

  10. Lal N, Dubey J, Gaur P, Verma N, Verma A. Chitosan based in situ forming polyelectrolyte complexes: a potential sustained drug delivery polymeric carrier for high dose drugs. Mater Sci Eng C. 2017;79:491–8.

    Article  CAS  Google Scholar 

  11. Ferreira TR, Lopes LC, Ferreira TR, Lopes LC. Analysis of analgesic, antipyretic, and nonsteroidal anti-inflammatory drug use in pediatric prescriptions. J Pediatr. 2016;92(1):81–7.

    Article  Google Scholar 

  12. Guerra-Ponce WL, et al. In vitro evaluation of sustained released matrix tablets containing ibuprofen: a model poorly water-soluble drug. Braz J Pharm Sci. 2016;52(4):751–9.

    Article  CAS  Google Scholar 

  13. Brayfield A, editor. Martindale: the complete drug reference, 38th Revised edition. London: Pharmaceutical Press; 2014.

    Google Scholar 

  14. Schultz P, Tho I, Kleinebudde P. A new multiparticulate delayed release system. Part II : Coating formulation and properties of free films. J Control Release. 1997;47(2):191–9.

    Article  CAS  Google Scholar 

  15. Siepmann F, Hoffmann A, Leclercq B, Carlin B, Siepmann J. How to adjust desired drug release patterns from ethylcellulose-coated dosage forms. J Control Release. 2007;119(2):182–9.

    Article  CAS  PubMed  Google Scholar 

  16. Muschert S, Siepmann F, Leclercq B, Carlin B, Siepmann J. Drug release mechanisms from ethylcellulose: PVA-PEG graft copolymer-coated pellets. Eur J Pharm Biopharm. 2009;72(1):130–7.

    Article  CAS  PubMed  Google Scholar 

  17. Gaber DM, Nafee N, Abdallah OY. Mini-tablets versus pellets as promising multiparticulate modified release delivery systems for highly soluble drugs. Int J Pharm. 2015;488(1–2):86–94.

    Article  CAS  PubMed  Google Scholar 

  18. Yang Q, Ma Y, Zhu J. Sustained drug release from electrostatic powder coated tablets with ultrafine ethylcellulose powders. Adv Powder Technol. 2016;27(5):2145–52.

    Article  CAS  Google Scholar 

  19. Siepmann J, Kranz H, Peppas NA, Bodmeier R. Calculation of the required size and shape of hydroxypropyl methylcellulose matrices to achieve desired drug release profiles. Int J Pharm. 2000;201(2):151–64.

    Article  CAS  PubMed  Google Scholar 

  20. Qiu Y, Zhang G. Chapter 21 - development of modified-release solid Oral dosage forms. In: Developing solid Oral dosage forms. San Diego: Academic Press; 2009. p. 501–17.

    Chapter  Google Scholar 

  21. Ratnaparkhi MP, Gupta JP. Sustained release oral drug delivery system-an overview. Int J Pharma Res Rev. 2013;2:11–21.

    Google Scholar 

  22. Priyadarshini R, Nandi G, Changder A, Chowdhury S, Chakraborty S, Ghosh LK. Gastroretentive extended release of metformin from methacrylamide-g-gellan and tamarind seed gum composite matrix. Carbohydr Polym. 2016;137:100–10.

    Article  CAS  PubMed  Google Scholar 

  23. Maderuelo C, Zarzuelo A, Lanao JM. Critical factors in the release of drugs from sustained release hydrophilic matrices. J Control Release. 2011;154(1):2–19.

    Article  CAS  PubMed  Google Scholar 

  24. Wen X, Nokhodchi A, Rajabi-Siahboomi A. Oral extended release hydrophilic matrices: formulation and design. In: Wen H, Park K, editors. Oral controlled release formulation design and drug delivery. New Jersey: John Wiley & Sons, Inc.; 2010. p. 89–100.

  25. Zhou X, et al. Hydroxyethyl Pachyman as a novel excipient for sustained-release matrix tablets. Carbohydr Polym. 2016;154:1–7.

    Article  CAS  PubMed  Google Scholar 

  26. Ghori MU, Ginting G, Smith AM, Conway BR. Simultaneous quantification of drug release and erosion from hypromellose hydrophilic matrices. Int J Pharm. 2014;465(1):405–12.

    Article  CAS  PubMed  Google Scholar 

  27. Sood S, Gupta VK, Agarwal S, Dev K, Pathania D. Controlled release of antibiotic amoxicillin drug using carboxymethyl cellulose-cl-poly(lactic acid-co-itaconic acid) hydrogel. Int J Biol Macromol. 2017;101:612–20.

    Article  CAS  PubMed  Google Scholar 

  28. Ghori MU, Šupuk E, Conway BR. Tribo-electrification and powder adhesion studies in the development of polymeric hydrophilic drug matrices. Materials. 2015;8(4):1482–98.

    Article  CAS  PubMed  PubMed Central  Google Scholar 

  29. Rajabi-Siahboomi AR, Nokhodchi A, Rubinstein MH. Compaction behaviour of hydrophilic cellulose ether polymers. Pharm Technol. 1998;22(10):32–40.

    Google Scholar 

  30. Nokhodchi A, Ford JL, Rowe PH, Rubinstein MH. The effects of compression rate and force on the compaction properties of different viscosity grades of hydroxypropylmethylcellulose 2208. Int J Pharm. 1996;129(1):21–31.

    Article  CAS  Google Scholar 

  31. Costa P, Sousa Lobo JM. Modeling and comparison of dissolution profiles. Eur J Pharm Sci. 2001;13(2):123–33.

    Article  CAS  PubMed  Google Scholar 

  32. Siepmann J, Siepmann F. Mathematical modeling of drug delivery. Int J Pharm. 2008;364(2):328–43.

    Article  CAS  PubMed  Google Scholar 

  33. Dash S, Murthy PN, Nath L, Chowdhury P. Kinetic modeling on drug release from controlled drug delivery systems. Acta Pol Pharm. 2010;67(3):217–23.

    CAS  Google Scholar 

  34. Salome Amarachi C, Onunkwo G, Onyishi I. Kinetics and mechanisms of drug release from swellable and non swellable matrices: a review. Res J Pharm, Biol Chem Sci. 2013;4:97–103.

    Google Scholar 

  35. Manga RD, Jha PK. Mathematical models for controlled drug release through pH-responsive polymeric hydrogels. J Pharm Sci. 2017;106(2):629–38.

    Article  CAS  PubMed  Google Scholar 

  36. Rebouh S, Bouhedda M, Hanini S, Djellal A. ‘Neural modeling adsorption of copper, chromium, nickel, and Lead from aqueous solution by natural wastes’, in Progress in clean energy, Volume 1. Cham: Springer; 2015. p. 341–56.

    Google Scholar 

  37. Yoneyama J, Nishikawa M, Katayama H, Ichikawa e A. Design of output feedback controllers for Takagi–Sugeno fuzzy systems. Fuzzy Sets Syst. 2001;121(1):127–48.

    Article  Google Scholar 

  38. M. Chadli and P. Borne, Multiple models approach in automation: Takagi-Sugeno fuzzy systems. Wiley-ISTE, 2012.

    Google Scholar 

  39. Rebouh S, Bouhedda M, Hanini S. Neuro-fuzzy modeling of cu(II) and Cr(VI) adsorption from aqueous solution by wheat straw. Desalin Water Treat. 2016;57(14):6515–30.

    Article  CAS  Google Scholar 

  40. U. S. P. Convention. U.S. Pharmacopeia National Formulary 2016: USP 39 NF 34, Supplement edition. Rockville: United States Pharmacopeial; 2016.

    Google Scholar 

  41. Kaleemullah M, et al. Development and evaluation of Ketoprofen sustained release matrix tablet using Hibiscus rosa-sinensis leaves mucilage. Saudi Pharm J. 2017;25(5):770–9.

    Article  CAS  PubMed  Google Scholar 

  42. Korsmeyer RW, Gurny R, Doelker E, Buri P, Peppas NA. Mechanisms of solute release from porous hydrophilic polymers. Int J Pharm. 1983;15(1):25–35.

    Article  CAS  Google Scholar 

  43. Gohel MC, Panchal MK. Novel use of similarity factors f2 and Sd for the development of diltiazem HCl modified-release tablets using a 3(2) factorial design. Drug Dev Ind Pharm. 2002;28(1):77–87.

    Article  CAS  PubMed  Google Scholar 

  44. Zadeh LA. Fuzzy sets. Inf Control. 1965;8(3):338–53.

    Article  Google Scholar 

  45. Mamdani EH, Assilian S. An experiment in linguistic synthesis with a fuzzy logic controller. Int J Man Mach Stud. 1975;7(1):1–13.

    Article  Google Scholar 

  46. Takagi T, Sugeno M. Fuzzy identification of systems and its applications to modeling and control. IEEE Trans Syst Man Cybern. 1985;SMC-15(1):116–32.

    Article  Google Scholar 

  47. Huang Z, Hahn J. Fuzzy modeling of signal transduction networks. Chem Eng Sci. 2009;64(9):2044–56.

    Article  CAS  Google Scholar 

  48. Patel J, Gianchandani R. ANFIS control for robotic manipulators: adaptive neuro fuzzy inference Systems for Intelligent Control. Saarbrucken: LAP LAMBERT Academic Publishing; 2011.

    Google Scholar 

  49. Jang J-SR, Sun C-T, Mizutani E. Neuro-fuzzy and soft computing: a computational approach to learning and machine intelligence, 1 edition. Upper Saddle River: Pearson; 1997.

    Google Scholar 

  50. Suñé Neģre JM et al. ‘SeDeM diagram: an expert system for preformation, characterization and optimization of tablets obtained by direct compression’. In: Aguilar JE, editor. Formulation tools for pharmaceutical development. Cambridge: WoodHead Publishing; 2013. pp. 109–135.

  51. Lefnaoui S, Moulai-Mostefa N. Synthesis and evaluation of the structural and physicochemical properties of carboxymethyl pregelatinized starch as a pharmaceutical excipient. Saudi Pharm J. 2015;23(6):698–711.

    Article  PubMed  PubMed Central  Google Scholar 

  52. Shergill M, Patel M, Khan S, Bashir A, McConville C. Development and characterisation of sustained release solid dispersion oral tablets containing the poorly water soluble drug disulfiram. Int J Pharm. 2016;497(1):3–11.

    Article  CAS  PubMed  Google Scholar 

  53. Porfire A, Filip C, Tomuta I. High-throughput NIR-chemometric methods for chemical and pharmaceutical characterization of sustained release tablets. J Pharm Biomed Anal. 2017;138:1–13.

    Article  CAS  PubMed  Google Scholar 

  54. Saurí J, et al. Quality by design approach to understand the physicochemical phenomena involved in controlled release of captopril SR matrix tablets. Int J Pharm. 2014;477(1–2):431–41.

    Article  CAS  PubMed  Google Scholar 

  55. Wang X, Yan H. Methotrexate-loaded porous polymeric adsorbents as oral sustained release formulations. Mater Sci Eng C. 2017;78:598–602.

    Article  CAS  Google Scholar 

  56. Vijayabhaskar K, Venkateswarlu K, Naik SBT, Jyothi RK, Vani GN, Chandrasekhar KB. Preparation and in-vitro evaluation of ranitidine Mucoadhesive microspheres for prolonged gastric retention. Future J Pharm Sci. 2016;10(2):1–12.

    Google Scholar 

  57. Agrawal P. Significance of polymers in drug delivery system. J Pharmacovigil. 2014;1:3.

    Google Scholar 

  58. Ghori MU, Conway BR. Hydrophilic matrices for Oral control drug delivery. Am J Pharmacol Sci. 2015;3(5):103–9.

    CAS  Google Scholar 

  59. Ravi PR, Kotreka UK, Saha RN. Controlled release matrix tablets of zidovudine: effect of formulation variables on the in vitro drug release kinetics. AAPS PharmSciTech. 2008;9(1):302–13.

    Article  CAS  PubMed  PubMed Central  Google Scholar 

  60. Reynolds TD, Mitchell SA, Balwinski KM. Investigation of the effect of tablet surface area/volume on drug release from hydroxypropylmethylcellulose controlled-release matrix tablets. Drug Dev Ind Pharm. 2002;28(4):457–66.

    Article  CAS  PubMed  Google Scholar 

  61. Chaudhari SP, Dugar RP. Application of surfactants in solid dispersion technology for improving solubility of poorly water soluble drugs. J Drug Deliv Sci Technol. 2017;41:68–77.

    Article  CAS  Google Scholar 

  62. Ghori MU, Supuk E, Conway BR. Tribo-electric charging and adhesion of cellulose ethers and their mixtures with flurbiprofen. Eur J Pharm Sci. 2014;65:1–8.

    Article  CAS  PubMed  Google Scholar 

  63. Tiwari SB, Murthy TK, Pai MR, Mehta PR, Chowdary PB. Controlled release formulation of tramadol hydrochloride using hydrophilic and hydrophobic matrix system. AAPS PharmSciTech. 2003;4(3):E31.

    Article  PubMed  Google Scholar 

  64. Khan J, et al. Comparative study on the effect of hydrophilic and hydrophobic polymers on the dissolution rate of a poorly water soluble drug. Int J Pharm Anal Res. 2014;3:291–300.

    Google Scholar 

  65. Kambham V, Kothapalli Bonnoth C. Development of stavudine sustained release tablets: in-vitro studies. Future J Pharm Sci. 2016;2(2):37–42.

    Article  Google Scholar 

  66. Gao P, Skoug JW, Nixon PR, Ju TR, Stemm NL, Sung KC. Swelling of hydroxypropyl methylcellulose matrix tablets. 2. Mechanistic study of the influence of formulation variables on matrix performance and drug release. J Pharm Sci. 1996;85(7):732–40.

    Article  CAS  PubMed  Google Scholar 

  67. Al-Kahtani AA, Sherigara BS. Controlled release of diclofenac sodium through acrylamide grafted hydroxyethyl cellulose and sodium alginate. Carbohydr Polym. 2014;104:151–7.

  68. Dai Q, Kadla JF. Effect of nanofillers on carboxymethyl cellulose/hydroxyethyl cellulose hydrogels. J Appl Polym Sci. 2009;114(3):1664–9.

    Article  CAS  Google Scholar 

  69. Sinha Roy D, Rohera BD. Comparative evaluation of rate of hydration and matrix erosion of HEC and HPC and study of drug release from their matrices. Eur J Pharm Sci. 2002;16(3):193–9.

    Article  CAS  PubMed  Google Scholar 

  70. Huang H, et al. Compression-coated tablets of glipizide using hydroxypropylcellulose for zero-order release: in vitro and in vivo evaluation. Int J Pharm. 2013;446(1–2):211–8.

  71. Lee H-J, Kim J-Y, Park S-H, Rhee Y-S, Park C-W, Park E-S. Controlled-release oral dosage forms containing nimodipine solid dispersion and hydrophilic carriers. J Drug Deliv Sci Technol. 2017;37:28–37.

    Article  CAS  Google Scholar 

  72. Ferrero C, Massuelle D, Doelker E. Towards elucidation of the drug release mechanism from compressed hydrophilic matrices made of cellulose ethers. II. Evaluation of a possible swelling-controlled drug release mechanism using dimensionless analysis. J Control Release. 2010;141(2):223–33.

    Article  CAS  PubMed  Google Scholar 

  73. Larsson M, Hjärtstam J, Berndtsson J, Stading M, Larsson A. Effect of ethanol on the water permeability of controlled release films composed of ethyl cellulose and hydroxypropyl cellulose. Eur J Pharm Biopharm. 2010;76(3):428–32.

    Article  CAS  PubMed  Google Scholar 

  74. Rimmer S. Biomedical hydrogels: biochemistry, manufacture and medical applications. 1st ed. Cambridge: Woodhead publishing; 2011.

  75. Lamoudi L, Chaumeil JC, Daoud K. Swelling, erosion and drug release characteristics of sodium diclofenac from heterogeneous matrix tablets. J Drug Deliv Sci Technol. 2016;31:93–100.

    Article  CAS  Google Scholar 

  76. Saeedi M, Akbari J, Enayatifard R, Morteza-Semnani K, Tahernia M, Valizadeh H. In situ cross-linking of Polyanionic polymers to sustain the drug release from theophylline tablets. Iran J Pharm Res. 2009;8(4):241–9.

    CAS  Google Scholar 

  77. Conti S, et al. Matrices containing NaCMC and HPMC: 1. Dissolution performance characterization. Int J Pharm. 2007;333(1):136–42.

    Article  CAS  PubMed  Google Scholar 

  78. Dogsa I, Tomšič M, Orehek J, Benigar E, Jamnik A, Stopar D. Amorphous supramolecular structure of carboxymethyl cellulose in aqueous solution at different pH values as determined by rheology, small angle X-ray and light scattering. Carbohydr Polym. 2014;111:492–504.

    Article  CAS  PubMed  Google Scholar 

  79. Mohammadi G, et al. The effect of inorganic cations Ca2+ and Al3+ on the release rate of propranolol hydrochloride from sodium carboxymethylcellulose matrices. Daru. 2009;17:131–8.

    CAS  Google Scholar 

  80. Nair AB, Vyas H, Kumar A. Controlled release matrix uncoated tablets of enalapril maleate using hpmc alone. J Basic Clin Pharm. 2010;1(2):71–5.

    CAS  PubMed  PubMed Central  Google Scholar 

  81. Parhi R. Development and optimization of pluronic® F127 and HPMC based thermosensitive gel for the skin delivery of metoprolol succinate. J Drug Deliv Sci Technol. 2016;36:23–33.

    Article  CAS  Google Scholar 

  82. Pani NR, Nath LK. Development of controlled release tablet by optimizing HPMC: consideration of theoretical release and RSM. Carbohydr Polym. 2014;104:238–45.

    Article  CAS  PubMed  Google Scholar 

  83. Novak SD, Kuhelj V, Vrečer F, Baumgartner S. The influence of HPMC viscosity as FRC parameter on the release of low soluble drug from hydrophylic matrix tablets. Pharm Dev Technol. 2013;18(2):343–7.

    Article  CAS  PubMed  Google Scholar 

  84. Nokhodchi A, Raja S, Patel P, Asare-Addo K. The role of Oral controlled release matrix tablets in drug delivery systems. BioImpacts. 2012;2(4):175–87.

    CAS  PubMed  PubMed Central  Google Scholar 

  85. Rahman MM, et al. Evaluation of various grades of Hydroxypropylmethylcellulose matrix systems as Oral sustained release drug delivery systems. J Pharm Sci Res. 2011;03:930–8.

    CAS  Google Scholar 

  86. Siepmann J, Streubel A, Peppas NA. Understanding and predicting drug delivery from hydrophilic matrix tablets using the “sequential layer” model. Pharm Res. 2002;19(3):306–14.

    Article  CAS  PubMed  Google Scholar 

  87. Siepmann J, Peppas NA. Hydrophilic matrices for controlled drug delivery: an improved mathematical model to predict the resulting drug release kinetics (the “sequential layer” model). Pharm Res. 2000;17(10):1290–8.

    Article  CAS  PubMed  Google Scholar 

  88. Peppas NA. Analysis of Fickian and non-Fickian drug release from polymers. Pharm Acta Helv. 1985;60(4):110–1.

    CAS  PubMed  Google Scholar 

  89. Medina JR, Cortes M, Romo E. Comparison of the USP apparatus 2 and 4 for testing the in vitro release performance of ibuprofen generic suspensions. Int J Appl Pharm. 2017;9(4):90–5.

    Article  CAS  Google Scholar 

  90. Hettiarachchi TW, Wickramaratne M, Sudeshika T, Niyangoda D, Sakeena MHF, Herath H. Comparative in-vitro evaluation of metformin HCl and paracetamol tablets commercially available in Kandy district, Sri Lanka. Int J Pharm Sci. 2015;7(2):520–4.

    CAS  Google Scholar 

Download references

Author information

Affiliations

Authors

Corresponding author

Correspondence to Samia Rebouh.

Ethics declarations

Conflicts of interest

The authors declare that they have no conflict of interest.

Rights and permissions

Reprints and Permissions

About this article

Verify currency and authenticity via CrossMark

Cite this article

Rebouh, S., Lefnaoui, S., Bouhedda, M. et al. Neuro-fuzzy modeling of ibuprofen-sustained release from tablets based on different cellulose derivatives. Drug Deliv. and Transl. Res. 9, 162–177 (2019). https://doi.org/10.1007/s13346-018-00592-0

Download citation

  • Published:

  • Issue Date:

  • DOI: https://doi.org/10.1007/s13346-018-00592-0

Keywords

  • ANFIS
  • Cellulose derivatives
  • Matrix tablets
  • Modeling
  • Sustained release