Skip to main content

The role of liver transplantation or resection for patients with early hepatocellular carcinoma

Abstract

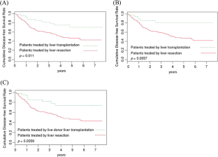
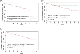
Liver resection (LR) and liver transplantation (LT) are curative treatments for early hepatocellular carcinoma (HCC), although their performance remains debated. We compared the survival of patients with HCC conforming to the Milan criteria (MC) after LT and LR and analyzed factors affecting clinical outcomes. Between January 2006 and January 2013, 65 and 184 patients received LT and LR for HCCs fulfilling the MC, respectively. Overall survival (OS) and disease-free survival (DFS) rates were compared between the two groups. To investigate effects of liver function and living donor liver transplantation (LDLT) on survival, two subgroup analyses were performed and associations with OS and DFS were examined. We found that OS rates were higher after LT than after LR since 3 years postoperatively. DFS rates were significantly better after LT than after LR. Performance of LR, vascular invasion, and tumor multiplicity were associated with poor DFS, and factors affecting OS included the presence of vascular invasions, liver cirrhosis, and tumor multiplicity. In conclusion, despite of the effects of tumor characteristics on clinical outcomes, LT, including LDLT, should be considered the treatment of choice for patients with HCCs who met the MC. The role of LR is to identify poor prognostic factors through pathological examination.

This is a preview of subscription content, access via your institution.

Fig. 1
Fig. 2

References

  1. Gaba RC, Kallwitz ER, Parvinian A, Bui JT, Von Roenn NM, Berkes JL, et al. Imaging surveillance and multidisciplinary review improves curative therapy access and survival in HCC patients. Ann Hepatol. 2013;12:766–73.

    PubMed  Google Scholar 

  2. European Association For The Study Of The Liver, European Organisation For Research And Treatment Of Cancer. EASL-EORTC clinical practice guidelines: management of hepatocellular carcinoma. J Hepatol. 2012;56:908–43.

    Article  Google Scholar 

  3. Kudo M, Izumi N, Kokudo N, Matsui O, Sakamoto M, Nakashima O, et al. Management of hepatocellular carcinoma in Japan: Consensus-Based Clinical Practice Guidelines proposed by the Japan Society of Hepatology (JSH) 2010 updated version. Dig Dis. 2011;29:339–64.

    Article  PubMed  Google Scholar 

  4. Bruix J, Sherman M. Management of hepatocellular carcinoma: an update. Hepatology. 2011;53:1020–2.

    Article  PubMed  PubMed Central  Google Scholar 

  5. Omata M, Lesmana LA, Tateishi R, Chen PJ, Lin SM, Yoshida H, et al. Asian Pacific Association for the Study of the Liver consensus recommendations on hepatocellular carcinoma. Hepatol Int. 2010;4:439–74.

    Article  PubMed  PubMed Central  Google Scholar 

  6. Jarnagin W, Chapman WC, Curley S, D’Angelica M, Rosen C, Dixon E, et al. Surgical treatment of hepatocellular carcinoma: expert consensus statement. HPB (Oxf). 2010;12:302–10.

    Article  Google Scholar 

  7. Ueno S, Sakoda M, Kubo F, Hiwatashi K, Tateno T, Baba Y, et al. Surgical resection versus radiofrequency ablation for small hepatocellular carcinomas within the Milan criteria. J Hepato-Biliary-Pancreat Surg. 2009;16:359–66.

    Article  Google Scholar 

  8. Cherqui D, Laurent A, Mocellin N, Tayar C, Luciani A, Van Nhieu JT, et al. Liver resection for transplantable hepatocellular carcinoma: long-term survival and role of secondary liver transplantation. Ann Surg. 2009;250:738–46.

    Article  PubMed  Google Scholar 

  9. Poon RT, Fan ST, Lo CM, Liu CL, Wong J. Difference in tumor invasiveness in cirrhotic patients with hepatocellular carcinoma fulfilling the Milan criteria treated by resection and transplantation: impact on long-term survival. Ann Surg. 2007;245:51–8.

    Article  PubMed  PubMed Central  Google Scholar 

  10. Lee KK, Kim DG, Moon IS, Lee MD, Park JH. Liver transplantation versus liver resection for the treatment of hepatocellular carcinoma. J Surg Oncol. 2010;101:47–53.

    Article  PubMed  Google Scholar 

  11. Sotiropoulos GC, Drühe N, Sgourakis G, Molmenti EP, Beckebaum S, Baba HA. Liver transplantation, liver resection, and transarterial chemoembolization for hepatocellular carcinoma in cirrhosis: which is the best oncological approach? Dig Dis Sci. 2009;54:2264–73.

    Article  PubMed  Google Scholar 

  12. Lim KC, Chow PK, Allen JC, Siddiqui FJ, Chan ES, Tan SB, et al. Systematic review of outcomes of liver resection for early hepatocellular carcinoma within the Milan criteria. Br J Surg. 2012;99:1622–9.

    Article  PubMed  Google Scholar 

  13. Mazzaferro V, Bhoori S, Sposito C, Bongini M, Langer M, Miceli R, et al. Milan criteria in liver transplantation for hepatocellular carcinoma: an evidence-based analysis of 15 years of experience. Liver Transpl. 2011;17:S44–57.

    Article  PubMed  Google Scholar 

  14. Llovet JM, Schwartz M, Mazzaferro V. Resection and liver transplantation for hepatocellular carcinoma. Semin Liver Dis. 2005;25:181–200.

    Article  PubMed  Google Scholar 

  15. Wakade VA, Mathur SK. Donor safety in live-related liver transplantation. Indian J Surg. 2012;74:118–26.

    CAS  Article  PubMed  Google Scholar 

  16. Akamatsu N, Sugawara Y, Kokudo N. Living donor liver transplantation for patients with hepatocellular carcinoma. Liver Cancer. 2014;3:108–18.

    CAS  Article  PubMed  PubMed Central  Google Scholar 

  17. Doyle MB, Maynard E, Lin Y, Vachharajani N, Shenoy S, Anderson C, et al. Outcomes with split liver transplantation are equivalent to those with whole organ transplantation. J Am Coll Surg. 2013;217:102–12.

    Article  PubMed  Google Scholar 

  18. Lee WC, Chan KM, Chou HS, Wu TJ, Lee CF, Soong RS, et al. Feasibility of split liver transplantation for 2 adults in the model of end-stage liver disease era. Ann Surg. 2013;258:306–11.

    Article  PubMed  Google Scholar 

  19. Kim JM, Kwon CH, Joh JW, Kang ES, Park JB, Lee JH, et al. ABO-incompatible living donor liver transplantation is suitable in patients without ABO-matched donor. J Hepatol. 2013;59:1215–22.

    Article  PubMed  Google Scholar 

  20. Yi NJ, Suh KS, Suh SW, Chang YR, Hong G, Yoo T, et al. Excellent outcome in 238 consecutive living donor liver transplantations using the right liver graft in a large volume single center. World J Surg. 2013;37:1419–29.

    Article  PubMed  Google Scholar 

  21. Bigourdan JM, Jaeck D, Meyer N, Meyer C, Oussoultzoglou E, Bachellier P, et al. Small hepatocellular carcinoma in Child A cirrhotic patients: hepatic resection versus transplantation. Liver Transpl. 2003;9:513–20.

    Article  PubMed  Google Scholar 

  22. Sapisochin G, Castells L, Dopazo C, Bilbao I, Minguez B, Lázaro JLMD, et al. Single HCC in cirrhotic patients: liver resection or liver transplantation? Long-term outcome according to an intention-to-treat basis. Ann Surg Oncol. 2013;20:1194–202.

    Article  PubMed  Google Scholar 

  23. Margarit C, Escartín A, Castells L, Vargas V, Allende E, Bilbao I, et al. Resection for hepatocellular carcinoma is a good option in Child-Turcotte-Pugh class A patients with cirrhosis who are eligible for liver transplantation. Liver Transpl. 2005;11:1242–51.

    Article  PubMed  Google Scholar 

  24. Baccarani U, Isola M, Adani GL, Benzoni E, Avellini C, Lorenzin D, et al. Superiority of transplantation versus resection for the treatment of small hepatocellular carcinoma. Transpl Int. 2008;21:247–54.

    Article  PubMed  Google Scholar 

  25. Poon RT. Optimal initial treatment for early hepatocellular carcinoma in patients with preserved liver function: transplantation or resection? Ann Surg Oncol. 2007;14:541–7.

    Article  PubMed  Google Scholar 

  26. Rahman A, Assifi MM, Pedroso FE, Maley WR, Sola JE, Lavu H, et al. Is resection equivalent to transplantation for early cirrhotic patients with hepatocellular carcinoma? A meta-analysis. J Gastrointest Surg. 2012;16:1897–909.

    Article  PubMed  Google Scholar 

  27. Koniaris LG, Levi DM, Pedroso FE, Franceschi D, Tzakis AG, Santamaria-Barria JA, et al. Is surgical resection superior to transplantation in the treatment of hepatocellular carcinoma? Ann Surg. 2011;254:527–37.

    Article  PubMed  PubMed Central  Google Scholar 

  28. Shimada K, Sakamoto Y, Esaki M, Kosuge T, Morizane C, Ikeda M, et al. Analysis of prognostic factors affecting survival after initial recurrence and treatment efficacy for recurrence in patients undergoing potentially curative hepatectomy for hepatocellular carcinoma. Ann Surg Oncol. 2007;14:2337–47.

    Article  PubMed  Google Scholar 

  29. Ho CM, Wu CY, Lee PH, Lai HS, Ho MC, Wu YM, et al. Analysis of the risk factors of untransplantable recurrence after primary curative resection for patients with hepatocellular carcinoma. Ann Surg Oncol. 2013;20:2526–33.

    Article  PubMed  Google Scholar 

  30. Suh SW, Lee KW, Lee JM, You T, Choi Y, Kim H, et al. Prediction of aggressiveness in early-stage hepatocellular carcinoma for selection of surgical resection. J Hepatol. 2014;60:1219–24.

    Article  PubMed  Google Scholar 

  31. Poon RT, Fan ST. Hepatectomy for hepatocellular carcinoma: patient selection and postoperative outcome. Liver Transpl. 2004;10:S39–45.

    Article  PubMed  Google Scholar 

  32. Takahashi S, Kudo M, Chung H, Inoue T, Nagashima M, Kitai S, et al. Outcomes of nontransplant potentially curative therapy for early-stage hepatocellular carcinoma in Child-Pugh stage A cirrhosis is comparable with liver transplantation. Dig Dis. 2007;25:303–9.

    Article  PubMed  Google Scholar 

  33. Wang JH, Wang CC, Hung CH, Chen CL, Lu SN. Survival comparison between surgical resection and radiofrequency ablation for patients in BCLC very early/early stage hepatocellular carcinoma. J Hepatol. 2012;56:412–8.

    Article  PubMed  Google Scholar 

  34. Cunningham SC, Tsai S, Marques HP, Mira P, Cameron A, Barroso E, et al. Management of early hepatocellular carcinoma in patients with well-compensated cirrhosis. Ann Surg Oncol. 2009;16:1820–31.

    Article  PubMed  Google Scholar 

  35. Portolani N, Coniglio A, Ghidoni S, Giovanelli M, Benetti A, Tiberio GA, et al. Early and late recurrence after liver resection for hepatocellular carcinoma: prognostic and therapeutic implications. Ann Surg. 2006;243:229–35.

    Article  PubMed  PubMed Central  Google Scholar 

  36. Tung-Ping Poon R, Fan ST, Wong J. Risk factors, prevention, and management of postoperative recurrence after resection of hepatocellular carcinoma. Ann Surg. 2000;232:10–24.

    CAS  Article  PubMed  PubMed Central  Google Scholar 

  37. Dhir M, Lyden ER, Smith LM, Are C. Comparison of outcomes of transplantation and resection in patients with early hepatocellular carcinoma: a meta-analysis. HPB (Oxf). 2012;14:635–45.

    Article  Google Scholar 

  38. Fan ST. Hepatocellular carcinoma—resection or transplant? Nat Rev Gastroenterol Hepatol. 2012;9:732–7.

    Article  PubMed  Google Scholar 

  39. Facciuto ME, Koneru B, Rocca JP, Wolf DC, Kim-Schluger L, Visintainer P, et al. Surgical treatment of hepatocellular carcinoma beyond Milan criteria. Results of liver resection, salvage transplantation, and primary liver transplantation. Ann Surg Oncol. 2008;15:1383–91.

    Article  PubMed  Google Scholar 

  40. Kurtovic J, Riordan SM, Williams R. Liver transplantation for hepatocellular carcinoma. Best Pract Res Clin Gastroenterol. 2005;19:147–60.

    Article  PubMed  Google Scholar 

  41. Chen CL, Kabiling CS, Concejero AM. Why does living donor liver transplantation flourish in Asia? Nat Rev Gastroenterol Hepatol. 2013;10:746–51.

    Article  PubMed  Google Scholar 

  42. Axelrod DA, Lentine KL, Xiao H, Dzebisashvilli N, Schnitzler M, Tuttle-Newhall JE, et al. National assessment of early biliary complications following liver transplantation: incidence and outcomes. Liver Transpl. 2014;20:446–56.

    Article  PubMed  Google Scholar 

  43. Yazumi S, Chiba T. Biliary complications after a right-lobe living donor liver transplantation. J Gastroenterol. 2005;40:861–5.

    Article  PubMed  Google Scholar 

  44. Duffy JP, Kao K, Ko CY, Farmer DG, McDiarmid SV, Hong JC, et al. Long-term patient outcome and quality of life after liver transplantation: analysis of 20-year survivors. Ann Surg. 2010;252:652–61.

    PubMed  Google Scholar 

  45. Åberg F, Isoniemi H, Höckerstedt K. Long-term results of liver transplantation. Scand J Surg. 2011;100:14–21.

    PubMed  Google Scholar 

  46. Piardi T, Gheza F, Ellero B, Woehl-Jaegle ML, Ntourakis D, Cantu M, et al. Number and tumor size are not sufficient criteria to select patients for liver transplantation for hepatocellular carcinoma. Ann Surg Oncol. 2012;19:2020–6.

    CAS  Article  PubMed  Google Scholar 

  47. Zimmerman MA, Ghobrial RM, Tong MJ, Hiatt JR, Cameron AM, Hong J, et al. Recurrence of hepatocellular carcinoma following liver transplantation: a review of preoperative and postoperative prognostic indicators. Arch Surg. 2008;143:182–8.

    Article  PubMed  Google Scholar 

  48. Vivarelli M, Cucchetti A, La Barba G, Ravaioli M, Del Gaudio M, Lauro A, et al. Liver transplantation for hepatocellular carcinoma under calcineurin inhibitors: reassessment of risk factors for tumor recurrence. Ann Surg. 2008;248:857–62.

    Article  PubMed  Google Scholar 

  49. Feltracco P, Carollo C, Barbieri S, Pettenuzzo T, Ori C. Early respiratory complications after liver transplantation. World J Gastroenterol. 2013;19:9271–81.

    Article  PubMed  PubMed Central  Google Scholar 

  50. Watt KD, Pedersen RA, Kremers WK, Heimbach JK, Charlton MR. Evolution of causes and risk factors for mortality post-liver transplant: results of the NIDDK long-term follow-up study. Am J Transplant. 2010;10:1420–7.

    CAS  Article  PubMed  PubMed Central  Google Scholar 

  51. Enestvedt CK, Malik S, Reese PP, Maskin A, Yoo PS, Fayek SA, et al. Biliary complications adversely affect patient and graft survival after liver retransplantation. Liver Transpl. 2013;19:965–72.

    Article  PubMed  Google Scholar 

  52. Azevedo LD, Stucchi RS, Ataíde EC, Boin IF. Assessment of causes of early death after twenty years of liver transplantation. Transplant Proc. 2013;45:1116–8.

    CAS  Article  PubMed  Google Scholar 

  53. Gómez CM, Dumonceau JM, Marcolongo M, de Santibañes E, Ciardullo M, Pekolj J, et al. Endoscopic management of biliary complications after adult living-donor versus deceased-donor liver transplantation. Transplantation. 2009;88:1280–5.

    Article  PubMed  Google Scholar 

  54. Ko GY, Sung KB. Radiological intervention approaches to biliary complications after living donor liver transplantation. Transplantation. 2014;97:S43–46.

    Article  PubMed  Google Scholar 

  55. Can MF, Hughes CB. Primary liver transplantation vs liver resection followed by transplantation for transplantable hepatocellular carcinoma: liver functional quality and tumor characteristics matter. World J Gastrointest Surg. 2013;5:5–8.

    Article  PubMed  PubMed Central  Google Scholar 

  56. Ng KK, Lo CM, Liu CL, Poon RT, Chan SC, Fan ST. Survival analysis of patients with transplantable recurrent hepatocellular carcinoma: implications for salvage liver transplant. Arch Surg. 2008;143:68–74.

    Article  PubMed  Google Scholar 

  57. Fuks D, Dokmak S, Paradis V, Diouf M, Durand F, Belghiti J. Benefit of initial resection of hepatocellular carcinoma followed by transplantation in case of recurrence: an intention-to-treat analysis. Hepatology. 2012;55:132–40.

    Article  PubMed  Google Scholar 

  58. Chan AC, Chan SC, Chok KS, Cheung TT, Chiu DW, Poon RT, et al. Treatment strategy for recurrent hepatocellular carcinoma: salvage transplantation, repeated resection, or radiofrequency ablation? Liver Transpl. 2013;19:411–9.

    Article  PubMed  Google Scholar 

  59. Jin YJ, Lee JW, Lee OH, Chung HJ, Kim YS, Lee JI, et al. Transarterial chemoembolization versus surgery/radiofrequency ablation for recurrent hepatocellular carcinoma with or without microvascular invasion. J Gastroenterol Hepatol. 2014;29:1056–64.

    Article  PubMed  Google Scholar 

  60. Hu Z, Wang W, Li Z, Ye S, Zheng SS. Recipient outcomes of salvage liver transplantation versus primary liver transplantation: a systematic review and meta-analysis. Liver Transpl. 2012;18:1316–23.

    Article  PubMed  Google Scholar 

  61. Mazzola A, Costantino A, Petta S, Bartolotta TV, Raineri M, Sacco R, et al. Recurrence of hepatocellular carcinoma after liver transplantation: an update. Future Oncol. 2015.

  62. Gassmann P, Spieker T, Haier J, Schmidt F, Mardin WA, Senninger N. Prognostic impact of underlying liver fibrosis and cirrhosis after curative resection of hepatocellular carcinoma. World J Surg. 2010;34:2442–51.

    Article  PubMed  Google Scholar 

  63. Chong CC, Wong GL, Lai PB. Impact of antiviral therapy on post-hepatectomy outcome for hepatitis B-related hepatocellular carcinoma. World J Gastroenterol. 2014;20:6006–12.

    Article  CAS  PubMed  PubMed Central  Google Scholar 

  64. Tanimoto Y, Tashiro H, Aikata H, Amano H, Oshita A, Kobayashi T, et al. Impact of pegylated interferon therapy on outcomes of patients with hepatitis C virus-related hepatocellular carcinoma after curative hepatic resection. Ann Surg Oncol. 2014;19:418–25.

    Article  Google Scholar 

  65. Yang T, Lu JH, Zhai J, Lin C, Yang GS, Zhao RH, et al. High viral load is associated with poor overall and recurrence-free survival of hepatitis B virus-related hepatocellular carcinoma after curative resection: a prospective cohort study. Eur J Surg Oncol. 2012;38:683–91.

    CAS  Article  PubMed  Google Scholar 

Download references

Author information

Affiliations

Authors

Corresponding author

Correspondence to Chung-Bao Hsieh.

Ethics declarations

This study was approved by the Institutional Review Boards of both institutions where it was performed.

Conflicts of interest

None

Rights and permissions

Reprints and Permissions

About this article

Verify currency and authenticity via CrossMark

Cite this article

Hsueh, KC., Lee, TY., Kor, CT. et al. The role of liver transplantation or resection for patients with early hepatocellular carcinoma. Tumor Biol. 37, 4193–4201 (2016). https://doi.org/10.1007/s13277-015-4243-z

Download citation

  • Received:

  • Accepted:

  • Published:

  • Issue Date:

  • DOI: https://doi.org/10.1007/s13277-015-4243-z

Keywords

  • Hepatocellular carcinoma
  • Liver resection
  • Liver transplantation