Skip to main content

Strong adverse effect of epidermal growth factor receptor 2 overexpression on prognosis of patients with invasive lobular breast cancer: a comparative study with invasive ductal breast cancer in Chinese population

Abstract

The data on the outcome of breast invasive lobular carcinoma (ILC) are conflicting. In addition, the prognostic effect of molecular subtypes on ILC remains unclear. In this study, the clinicopathological and prognostic data between 269 ILC and 816 invasive ductal carcinoma (IDC) cases in a Chinese population were extensively compared, with a median follow-up time of 7.8 years. Compared with the IDC group, ILC tumors had more lymph node invasion, hormonal receptor positivity, and human epidermal growth factor receptor 2 (HER2) negativity. ILC patients showed overall survival (OS) and recurrence/metastasis-free survival (RFS) rates similar to those of IDC patients but exhibited worse disease-free survival (DFS) rate because of the higher rate of contralateral breast cancer (BC). Further analysis showed that OS, RFS, and DFS were similar between ILC and IDC patients in the subgroups of luminal A and triple-negative BC with HER2 negativity but were worse in ILC patients than those in IDC patients in the subgroups of luminal B and HER2 overexpression with positive HER2 expression. Multivariate analysis indicated HER2 positivity as an independent risk factor for OS, RFS, and DFS of ILC patients, which increased the risk in the ILC group than that in IDC group. The interaction of HER2 and ILC was also defined as an independent risk factor for OS, RFS, and DFS of the entire population. In conclusion, overexpression of HER2 exhibited stronger negative effect on the prognosis of ILC patients than that in IDC patients, suggesting that treatment targeting HER2 is crucial for this BC subgroup.

This is a preview of subscription content, access via your institution.

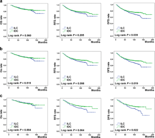
Fig. 1
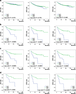
Fig. 2
Fig. 3

References

  1. Colleoni M, Russo L, Dellapasqua S. Adjuvant therapies for special types of breast cancer. Breast. 2011;20 Suppl 3:S153–7.

    Article  PubMed  Google Scholar 

  2. Guiu S, Wolfer A, Jacot W, Fumoleau P, Romieu G, Bonnetain F, et al. Invasive lobular breast cancer and its variants: how special are they for systemic therapy decisions? Crit Rev Oncol Hematol. 2014;92(3):235–57.

    Article  PubMed  Google Scholar 

  3. Goldhirsch A, Wood WC, Coates AS, Gelber RD, Thurlimann B, Senn HJ. Strategies for subtypes–dealing with the diversity of breast cancer: highlights of the St. Gallen International Expert Consensus on the Primary Therapy of Early Breast Cancer 2011. Ann Oncol. 2011;22(8):1736–47.

    CAS  Article  PubMed  PubMed Central  Google Scholar 

  4. Goldhirsch A, Ingle JN, Gelber RD, Coates AS, Thurlimann B, Senn HJ. Thresholds for therapies: highlights of the St Gallen International Expert Consensus on the primary therapy of early breast cancer 2009. Ann Oncol. 2009;20(8):1319–29.

    CAS  Article  PubMed  PubMed Central  Google Scholar 

  5. Colleoni M, Rotmensz N, Maisonneuve P, Mastropasqua MG, Luini A, Veronesi P, et al. Outcome of special types of luminal breast cancer. Ann Oncol. 2012;23(6):1428–36.

    CAS  Article  PubMed  Google Scholar 

  6. Jung SY, Jeong J, Shin SH, Kwon Y, Kim EA, Ko KL, et al. The invasive lobular carcinoma as a prototype luminal A breast cancer: a retrospective cohort study. BMC Cancer. 2010;10:664.

    Article  PubMed  PubMed Central  Google Scholar 

  7. Schoon IM, Arvidsson S. Surgery in patients aged 80 years and over. A retrospective comparative study from 1981 and 1987. Eur J Surg. 1991;157(4):251–5.

    CAS  PubMed  Google Scholar 

  8. Li CI, Anderson BO, Porter P, Holt SK, Daling JR, Moe RE. Changing incidence rate of invasive lobular breast carcinoma among older women. Cancer. 2000;88(11):2561–9.

    CAS  Article  PubMed  Google Scholar 

  9. Zeng H, Zheng R, Zhang S, Zou X, Chen W. Female breast cancer statistics of 2010 in China: estimates based on data from 145 population-based cancer registries. J Thorac Dis. 2014;6(5):466–70.

    PubMed  PubMed Central  Google Scholar 

  10. DeSantis C, Ma J, Bryan L, Jemal A. Breast cancer statistics, 2013. CA Cancer J Clin. 2014;64(1):52–62.

    Article  PubMed  Google Scholar 

  11. Sikora MJ, Jankowitz RC, Dabbs DJ, Oesterreich S. Invasive lobular carcinoma of the breast: patient response to systemic endocrine therapy and hormone response in model systems. Steroids. 2013;78(6):568–75.

    CAS  Article  PubMed  Google Scholar 

  12. Rakha EA, Ellis IO. Lobular breast carcinoma and its variants. Semin Diagn Pathol. 2010;27(1):49–61.

    Article  PubMed  Google Scholar 

  13. Berx G, Cleton-Jansen AM, Strumane K, de Leeuw WJ, Nollet F, van Roy F, et al. E-cadherin is inactivated in a majority of invasive human lobular breast cancers by truncation mutations throughout its extracellular domain. Oncogene. 1996;13(9):1919–25.

    CAS  PubMed  Google Scholar 

  14. Thiery JP, Acloque H, Huang RY, Nieto MA. Epithelial-mesenchymal transitions in development and disease. Cell. 2009;139(5):871–90.

    CAS  Article  PubMed  Google Scholar 

  15. Sorlie T, Perou CM, Tibshirani R, Aas T, Geisler S, Johnsen H, et al. Gene expression patterns of breast carcinomas distinguish tumor subclasses with clinical implications. Proc Natl Acad Sci U S A. 2001;98(19):10869–74.

    CAS  Article  PubMed  PubMed Central  Google Scholar 

  16. Desmedt C, Haibe-Kains B, Wirapati P, Buyse M, Larsimont D, Bontempi G, et al. Biological processes associated with breast cancer clinical outcome depend on the molecular subtypes. Clin Cancer Res. 2008;14(16):5158–65.

    CAS  Article  PubMed  Google Scholar 

  17. Wirapati P, Sotiriou C, Kunkel S, Farmer P, Pradervand S, Haibe-Kains B, et al. Meta-analysis of gene expression profiles in breast cancer: toward a unified understanding of breast cancer subtyping and prognosis signatures. Breast Cancer Res. 2008;10(4):R65.

    Article  PubMed  PubMed Central  Google Scholar 

  18. Weigelt B, Baehner FL, Reis-Filho JS. The contribution of gene expression profiling to breast cancer classification, prognostication and prediction: a retrospective of the last decade. J Pathol. 2010;220(2):263–80.

    CAS  PubMed  Google Scholar 

  19. Singletary SE, Allred C, Ashley P, Bassett LW, Berry D, Bland KI, et al. Staging system for breast cancer: revisions for the 6th edition of the AJCC Cancer Staging Manual. Surg Clin North Am. 2003;83(4):803–19.

    Article  PubMed  Google Scholar 

  20. Henson DE, Ries L, Freedman LS, Carriaga M. Relationship among outcome, stage of disease, and histologic grade for 22,616 cases of breast cancer. The basis for a prognostic index. Cancer. 1991;68(10):2142–9.

    CAS  Article  PubMed  Google Scholar 

  21. Pestalozzi BC, Zahrieh D, Mallon E, Gusterson BA, Price KN, Gelber RD, et al. Distinct clinical and prognostic features of infiltrating lobular carcinoma of the breast: combined results of 15 International Breast Cancer Study Group clinical trials. J Clin Oncol. 2008;26(18):3006–14.

    Article  PubMed  Google Scholar 

  22. Iorfida M, Maiorano E, Orvieto E, Maisonneuve P, Bottiglieri L, Rotmensz N, et al. Invasive lobular breast cancer: subtypes and outcome. Breast Cancer Res Treat. 2012;133(2):713–23.

    CAS  Article  PubMed  Google Scholar 

  23. DeSantis CE, Lin CC, Mariotto AB, Siegel RL, Stein KD, Kramer JL, et al. Cancer treatment and survivorship statistics, 2014. CA Cancer J Clin. 2014;64(4):252–71.

    Article  PubMed  Google Scholar 

  24. Azim HA, Ibrahim AS. Breast cancer in Egypt, China and Chinese: statistics and beyond. J Thorac Dis. 2014;6(7):864–6.

    PubMed  PubMed Central  Google Scholar 

  25. Siegel R, Naishadham D, Jemal A. Cancer statistics, 2012. CA Cancer J Clin. 2012;62(1):10–29.

    Article  PubMed  Google Scholar 

  26. Arpino G, Bardou VJ, Clark GM, Elledge RM. Infiltrating lobular carcinoma of the breast: tumor characteristics and clinical outcome. Breast Cancer Res. 2004;6(3):R149–56.

    Article  PubMed  PubMed Central  Google Scholar 

  27. Ko SS. Chronological changing patterns of clinical characteristics of Korean breast cancer patients during 10 years (1996–2006) using nationwide breast cancer registration on-line program: biannual update. J Surg Oncol. 2008;98(5):318–23.

    Article  PubMed  Google Scholar 

  28. Fu L, Tsuchiya S, Matsuyama I, Ishii K. Clinicopathologic features and incidence of invasive lobular carcinoma in Japanese women. Pathol Int. 1998;48(5):348–54.

    CAS  Article  PubMed  Google Scholar 

  29. Ohta T, Tsujimoto F, Nakajima Y, Fukuda M, Takag M. Ultrasonographic findings of invasive lobular carcinoma differentiation of invasive lobular carcinoma from invasive ductal carcinoma by ultrasonography. Breast Cancer. 2005;12(4):304–11.

    Article  PubMed  Google Scholar 

  30. Talman ML, Jensen MB, Rank F. Invasive lobular breast cancer. Prognostic significance of histological malignancy grading. Acta Oncol. 2007;46(6):803–9.

    Article  PubMed  Google Scholar 

  31. Li CI, Weiss NS, Stanford JL, Daling JR. Hormone replacement therapy in relation to risk of lobular and ductal breast carcinoma in middle-aged women. Cancer. 2000;88(11):2570–7.

    CAS  Article  PubMed  Google Scholar 

  32. Biglia N, Mariani L, Sgro L, Mininanni P, Moggio G, Sismondi P. Increased incidence of lobular breast cancer in women treated with hormone replacement therapy: implications for diagnosis, surgical and medical treatment. Endocr Relat Cancer. 2007;14(3):549–67.

    CAS  Article  PubMed  Google Scholar 

  33. Wasif N, Maggard MA, Ko CY, Giuliano AE. Invasive lobular vs ductal breast cancer: a stage-matched comparison of outcomes. Ann Surg Oncol. 2010;17(7):1862–9.

    Article  PubMed  Google Scholar 

  34. Hussien M, Lioe TF, Finnegan J, Spence RA. Surgical treatment for invasive lobular carcinoma of the breast. Breast. 2003;12(1):23–35.

    CAS  Article  PubMed  Google Scholar 

  35. Fernandez B, Paish EC, Green AR, Lee AH, Macmillan RD, Ellis IO, et al. Lymph-node metastases in invasive lobular carcinoma are different from those in ductal carcinoma of the breast. J Clin Pathol. 2011;64(11):995–1000.

    Article  PubMed  Google Scholar 

  36. Elston CW, Ellis IO. Pathological prognostic factors in breast cancer. I The value of histological grade in breast cancer: experience from a large study with long-term follow-up. Histopathology. 1991;19(5):403–10.

    CAS  Article  PubMed  Google Scholar 

  37. Cao AY, Huang L, Wu J, Lu JS, Liu GY, Shen ZZ, et al. Tumor characteristics and the clinical outcome of invasive lobular carcinoma compared to infiltrating ductal carcinoma in a Chinese population. World J Surg Oncol. 2012;10:152.

    Article  PubMed  PubMed Central  Google Scholar 

  38. Cristofanilli M, Gonzalez-Angulo A, Sneige N, Kau SW, Broglio K, Theriault RL, et al. Invasive lobular carcinoma classic type: response to primary chemotherapy and survival outcomes. J Clin Oncol. 2005;23(1):41–8.

    Article  PubMed  Google Scholar 

  39. Nagao T, Kinoshita T, Hojo T, Tsuda H, Tamura K, Fujiwara Y. The differences in the histological types of breast cancer and the response to neoadjuvant chemotherapy: the relationship between the outcome and the clinicopathological characteristics. Breast. 2012;21(3):289–95.

    Article  PubMed  Google Scholar 

  40. Weigelt B, Geyer FC, Natrajan R, Lopez-Garcia MA, Ahmad AS, Savage K, et al. The molecular underpinning of lobular histological growth pattern: a genome-wide transcriptomic analysis of invasive lobular carcinomas and grade- and molecular subtype-matched invasive ductal carcinomas of no special type. J Pathol. 2010;220(1):45–57.

    CAS  Article  PubMed  Google Scholar 

Download references

Conflicts of interest

None

Author information

Affiliations

Authors

Corresponding authors

Correspondence to Hong Liu or Ruifang Niu.

Additional information

Tong Wang and Yuanyuan Ma contributed equally to this work.

Rights and permissions

Reprints and Permissions

About this article

Verify currency and authenticity via CrossMark

Cite this article

Wang, T., Ma, Y., Wang, L. et al. Strong adverse effect of epidermal growth factor receptor 2 overexpression on prognosis of patients with invasive lobular breast cancer: a comparative study with invasive ductal breast cancer in Chinese population. Tumor Biol. 36, 6113–6124 (2015). https://doi.org/10.1007/s13277-015-3293-6

Download citation

  • Received:

  • Accepted:

  • Published:

  • Issue Date:

  • DOI: https://doi.org/10.1007/s13277-015-3293-6

Keywords

  • Breast cancer
  • Lobular carcinoma
  • Prognosis
  • Molecular subtypes