Skip to main content

EIF2C, Dicer, and Drosha are up-regulated along tumor progression and associated with poor prognosis in bladder carcinoma

Abstract

EIF2C, Dicer, and Drosha are microRNA-regulating machinery components, which participate in microRNA intracellular process and transfer. Our research demonstrated the expression and clinical role of the microRNA-regulating machinery in bladder cancer. EIF2C1, EIF2C2, Dicer, and Drosha mRNA and protein levels were analyzed in 100 bladder carcinomas and 50 normal bladder tissues using quantitative polymerase chain reaction and Western blotting. EIF2C2, Dicer, and Drosha mRNAs and proteins were overexpressed in carcinoma compared with normal tissues, whereas EIF2C1 mRNA and protein were not obviously different. Moreover, immunohistochemistry was used to detect the expressions of EIF2C2, Dicer, and Drosha in 100 bladder carcinomas. There were higher EIF2C2, Dicer, and Drosha expressions in carcinomas than in the adjacent normal tissues, positive correlations being noted with clinical stage, histopathologic grade, and recurrence. Higher EIF2C2, Dicer, and Drosha expressions were related to shorter cancer-specific survival and shorter recurrence-free survival. Multivariate Cox analysis showed that EIF2C2 was an important risk factor in bladder cancer. In conclusion, EIF2C2, Dicer, and Drosha are more highly expressed in bladder carcinoma, promote the development of bladder cancer, and suggested a poor prognosis. Their clinical role in bladder carcinoma merits further research.

This is a preview of subscription content, access via your institution.

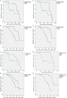
Fig. 1
Fig. 2

References

  1. Larré S, Catto JW, Cookson MS, et al. Screening for bladder cancer: rationale, limitations, whom to target, and perspectives. Eur Urol. 2013;63(6):1049–58.

    Article  PubMed  Google Scholar 

  2. Gayed BA, Thoreson GR, Margulis V. The role of systemic chemotherapy in management of upper tract urothelial cancer. Curr Urol Rep. 2013;14(2):94–101.

    Article  PubMed  Google Scholar 

  3. Zhi F, Wang S, Wang R, et al. From small to big: microRNAs as new players in medulloblastomas. Tumour Biol. 2013;34(1):9–15.

    CAS  Article  PubMed  Google Scholar 

  4. Jia AY, Castillo-Martin M, Bonal DM, Sánchez-Carbayo M, Silva JM, Cordon-Cardo C. MicroRNA-126 inhibits invasion in bladder cancer via regulation of ADAM9. Br J Cancer. 2014;110(12):2945–54.

    CAS  Article  PubMed  PubMed Central  Google Scholar 

  5. Mlcochova H, Hezova R, Stanik M, Slaby O. Urine microRNAs as potential noninvasive biomarkers in urologic cancers. Urol Oncol. 2014;32(1):41–e1-9.

    Article  PubMed  Google Scholar 

  6. Huang X, Liang M, Dittmar R, Wang L. Extracellular microRNAs in urologic malignancies: chances and challenges. Int J Mol Sci. 2013;14(7):14785–99.

    Article  PubMed  PubMed Central  Google Scholar 

  7. Havens MA, Reich AA, Hastings ML. Drosha promotes splicing of a pre-microRNA-like alternative exon. PLoS Genet. 2014;10(5):e1004312.

    Article  PubMed  PubMed Central  Google Scholar 

  8. Melo CA, Melo SA. MicroRNA biogenesis: dicing assay. Methods Mol Biol. 2014;1182:219–26.

    Article  PubMed  Google Scholar 

  9. Schürmann N, Trabuco LG, Bender C, Russell RB, Grimm D. Molecular dissection of human Argonaute proteins by DNA shuffling. Nat Struct Mol Biol. 2013;20(7):818–26.

    Article  PubMed  Google Scholar 

  10. Ha M, Kim VN. Regulation of microRNA biogenesis. Nat Rev Mol Cell Biol. 2014;15(8):509–24.

    CAS  Article  PubMed  Google Scholar 

  11. La Torre A, Georgi S, Reh TA. Conserved microRNA pathway regulates developmental timing of retinal neurogenesis. Proc Natl Acad Sci U S A. 2013;110(26):E2362–70.

    Article  PubMed  PubMed Central  Google Scholar 

  12. Rupaimoole R, Wu SY, Pradeep S, et al. Hypoxia-mediated downregulation of miRNA biogenesis promotes tumour progression. Nat Commun. 2014;5:5202.

    CAS  Article  PubMed  PubMed Central  Google Scholar 

  13. Friedländer MR, Lizano E, Houben AJ, et al. Evidence for the biogenesis of more than 1,000 novel human microRNAs. Genome Biol. 2014;15(4):R57.

    Article  PubMed  PubMed Central  Google Scholar 

  14. Moyret-Lalle C, Ruiz E, Puisieux A. Epithelial-mesenchymal transition transcription factors and miRNAs: “Plastic surgeons” of breast cancer. World J Clin Oncol. 2014;5(3):311–22.

    Article  PubMed  PubMed Central  Google Scholar 

  15. Adams CM, Eischen CM. Inactivation of p53 is insufficient to allow B cells and B-cell lymphomas to survive without Dicer. Cancer Res. 2014;74(14):3923–34.

    CAS  Article  PubMed  PubMed Central  Google Scholar 

  16. Wu S, Wang X, Chen JX, Chen Y. Predictive factors for the sensitivity of radiotherapy and prognosis of esophageal squamous cell carcinoma. Int J Radiat Biol. 2014;90(5):407–13.

    CAS  Article  PubMed  Google Scholar 

  17. Chen YJ, Thang MW, Chan YT, et al. Global assessment of Antrodia cinnamomea-induced microRNA alterations in hepatocarcinoma cells. PLoS One. 2013;8(12):e82751.

    Article  PubMed  PubMed Central  Google Scholar 

  18. Kawahara K, Nakayama H, Nagata M, et al. A low Dicer expression is associated with resistance to 5-FU-based chemoradiotherapy and a shorter overall survival in patients with oral squamous cell carcinoma. J Oral Pathol Med. 2014;43(5):350–6.

    CAS  Article  PubMed  Google Scholar 

  19. Ma X, Fan Y, Gao Y, et al. Dicer is down-regulated in clear cell renal cell carcinoma and in vitro Dicer knockdown enhances malignant phenotype transformation. Urol Onco. 2014;32(1):46–e9-17.

    Google Scholar 

  20. Merritt WM, Lin YG, Han LY, et al. Dicer, Drosha, and outcomes in patients with ovarian cancer. N Engl J Med. 2008;359(25):2641–50.

    CAS  Article  PubMed  PubMed Central  Google Scholar 

  21. Zhang B, Chen H, Zhang L, et al. A dosage-dependent pleiotropic role of Dicer in prostate cancer growth and metastasis. Oncogene. 2014;33(24):3099–108.

    CAS  Article  PubMed  Google Scholar 

  22. Faber C, Horst D, Hlubek F, Kirchner T. Overexpression of Dicer predicts poor survival in colorectal cancer. Eur J Cancer. 2011;47(9):1414–9.

    CAS  Article  PubMed  Google Scholar 

  23. Yuan L, Chu H, Wang M, et al. Genetic variation in DROSHA 3′UTR regulated by hsa-miR-27b is associated with bladder cancer risk. PLoS One. 2013;8(11):e81524.

    Article  PubMed  PubMed Central  Google Scholar 

  24. Han Y, Liu Y, Gui Y, Cai Z. Inducing cell proliferation inhibition and apoptosis via silencing Dicer, Drosha, and Exportin 5 in urothelial carcinoma of the bladder. J Surg Oncol. 2013;107(2):201–5.

    CAS  Article  PubMed  Google Scholar 

  25. Yang FQ, Huang JH, Liu M, et al. Argonaute 2 is up-regulated in tissues of urothelial carcinoma of bladder. Int J Clin Exp Pathol. 2013;7(1):340–7.

    PubMed  PubMed Central  Google Scholar 

  26. Eble JN, Sauter G, Epstein JI. Pathology and genetics. Tumors of the urinary system and male genital organs. World Health Organization Classification of Tumors. Lyon: IARC Press; 2004.

    Google Scholar 

  27. Greene FL, Page DL, Fleming ID. AJCC cancer staging manual. 6th ed. New York: Springer; 2002.

    Book  Google Scholar 

  28. Zhang Z, Zhang G, Kong C. High expression of polo-like kinase 1 is associated with the metastasis and recurrence in urothelial carcinoma of bladder. Urol Oncol Semin Orig Investig. 2011;31(7):1222–30.

    Article  Google Scholar 

  29. Kandeel M, Al-Taher A, Nakashima R, et al. Bioenergetics and gene silencing approaches for unraveling nucleotide recognition by the human EIF2C2/Ago2 PAZ domain. PLoS One. 2014;9(5):e94538.

    Article  PubMed  PubMed Central  Google Scholar 

  30. Wu S, Yu W, Qu X, et al. Argonaute 2 promotes myeloma angiogenesis via microRNA dysregulation. J Hematol Oncol. 2014;7(1):40.

    Article  PubMed  PubMed Central  Google Scholar 

  31. Parker JS, Barford D. Argonaute: a scaffold for the function of short regulatory RNAs. Trends Biochem Sci. 2006;31:622–30.

    CAS  Article  PubMed  Google Scholar 

  32. Siddiqi S, Matushansky I. Piwis and piwi-interacting RNAs in the epigenetics of cancer. J Cell Biochem. 2012;113:373–80.

    CAS  Article  PubMed  Google Scholar 

  33. Vaksman O, Hetland TE, Trope’ CG, Reich R, Davidson B. Argonaute, Dicer, and Drosha are up-regulated along tumor progression in serous ovarian carcinoma. Hum Pathol. 2012;43(11):2062–9.

    CAS  Article  PubMed  Google Scholar 

  34. Cheng N, Li Y, Han ZG. Argonaute2 promotes tumor metastasis by way of up-regulating focal adhesion kinase expression in hepatocellular carcinoma. Hepatology. 2013;57(5):1906–18.

    CAS  Article  PubMed  Google Scholar 

  35. Wang YX, Zhang XY, Zhang BF, Yang CQ, Gao HJ. Study on the clinical significance of Argonaute2 expression in colonic carcinoma by tissue microarray. Int J Clin Exp Pathol. 2013;6(3):476–84.

    PubMed  PubMed Central  Google Scholar 

  36. Zhang J, Fan XS, Wang CX, Liu B, Li Q, Zhou XJ. Up-regulation of Ago2 expression in gastric carcinoma. Med Oncol. 2013;30(3).

  37. Fan M, Krutilina R, Sun J, et al. Comprehensive analysis of microRNA (miRNA) targets in breast cancer cells. J Biol Chem. 2013;288(38):27480–93.

    CAS  Article  PubMed  PubMed Central  Google Scholar 

  38. Li W, Liu M, Feng Y, et al. Evaluation of Argonaute protein as a predictive marker for human clear cell renal cell carcinoma. Int J Clin Exp Pathol. 2013;6(6):1086–94.

    CAS  PubMed  PubMed Central  Google Scholar 

  39. Zhang X, Graves P, Zeng Y. Overexpression of human Argonaute2 inhibits cell and tumor growth. Biochim Biophys Acta. 2013;1830(3):2553–61.

    CAS  Article  PubMed  Google Scholar 

  40. Avery-Kiejda KA, Braye SG, Forbes JF, Scott RJ. The expression of Dicer and Drosha in matched normal tissues, tumours and lymph node metastases in triple negative breast cancer. BMC Cancer. 2014;14:253.

    Article  PubMed  PubMed Central  Google Scholar 

  41. Caffrey E, Ingoldsby H, Wall D, et al. Prognostic significance of deregulated dicer expression in breast cancer. PLoS One. 2013;8(12):e83724.

    Article  PubMed  PubMed Central  Google Scholar 

  42. Zeng S, Yang J, Zhao J, et al. Silencing Dicer expression enhances cellular proliferative and invasive capacities in human tongue squamous cell carcinoma. Oncol Rep. 2014;31(2):867–73.

    CAS  PubMed  Google Scholar 

  43. Banno K, Yanokura M, Iida M, et al. Application of microRNA in diagnosis and treatment of ovarian cancer. Biomed Res Int. 2014;2014:232817.

    Article  PubMed  PubMed Central  Google Scholar 

  44. Puppin C, Durante C, Sponziello M, et al. Overexpression of genes involved in miRNA biogenesis in medullary thyroid carcinomas with RET mutation. Endocrine. 2014;47(2):528–36.

    CAS  Article  PubMed  Google Scholar 

  45. Gordillo GM, Biswas A, Khanna S, et al. Dicer knockdown inhibits endothelial cell tumor growth via microRNA 21a-3p targeting of Nox-4. J Biol Chem. 2014;289(13):9027–38.

    CAS  Article  PubMed  PubMed Central  Google Scholar 

Download references

Acknowledgments

This work was supported by the National Natural Science Foundation of China (Grant No. 81202000), Liaoning Provincial Natural Science Foundation (Grant No. 2013021066), and Shenyang City Project of Key Laboratory (Grant No. F13-293-1-00).

Conflicts of interest

None

Author information

Affiliations

Authors

Corresponding author

Correspondence to Zhe Zhang.

Rights and permissions

Reprints and Permissions

About this article

Verify currency and authenticity via CrossMark

Cite this article

Zhang, Z., Zhang, G., Kong, C. et al. EIF2C, Dicer, and Drosha are up-regulated along tumor progression and associated with poor prognosis in bladder carcinoma. Tumor Biol. 36, 5071–5079 (2015). https://doi.org/10.1007/s13277-015-3158-z

Download citation

  • Received:

  • Accepted:

  • Published:

  • Issue Date:

  • DOI: https://doi.org/10.1007/s13277-015-3158-z

Keywords

  • EIF2C1
  • EIF2C2
  • Dicer
  • Drosha
  • Bladder cancer
  • Clinicopathologic feature
  • Prognosis