Skip to main content

Prognostic values of ERK1/2 and p-ERK1/2 expressions for poor survival in non-small cell lung cancer

Abstract

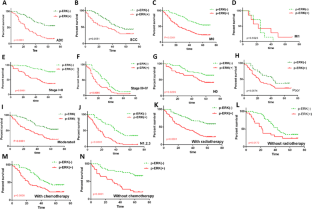
The extracellular-regulated kinase (ERK) 1/2, as a member of the mitogen-activated protein kinase family, plays a crucial role in the development of cancer. However, little is known about the prognostic value of ERK1/2 and phosphorylated ERK1/2 (p-ERK1/2) in non-small cell lung cancer (NSCLC). Thus, we investigated their prognostic values and analyzed the associations between their expressions and clinicopathological features in NSCLC patients. We examined ERK1/2 and p-ERK1/2 expressions via immunohistochemistry in 183 NSCLC samples. The prognostic significances of protein expression were evaluated with univariate and multivariate survival analysis. Of the specimens, 44.8 and 44.3 % revealed positive staining for ERK1/2 and p-ERK1/2, respectively. There were 24.6 % specimens with both ERK1/2 and p-ERK1/2-positive expression. The results showed p-ERK1/2-positive expression was an independent prognostic factor for poor overall survival (OS) in NSCLC patients on both univariate analysis (p < 0.0001) and multivariate analysis (p = 0.0000). Meanwhile, the positive expression of both proteins was also associated with poor OS (p = 0.002). With respect to clinicopathological features, the tumor differentiation was significantly associated with the positivity of ERK1/2, p-ERK1/2, and both proteins, while histological type was only related to ERK1/2. However, there were no significant differences between the expressions and other clinical features, such as gender, age, smoking, tumor–node–metastasis (TNM) stage, lymph node metastasis, and treatments. The p-ERK1/2-positive expression was associated with adverse outcomes, and the positive expression of both ERK1/2 and p-ERK1/2 proteins was also related to poor OS. Therefore, the positivity of p-ERK1/2 expression may serve as a vital biomarker in the development of NSCLC.

This is a preview of subscription content, access via your institution.

Fig. 1
Fig. 2
Fig. 3

References

  1. Travis WD. Pathology of lung cancer. Clin Chest Med. 2011;32:669–92.

    Article  PubMed  Google Scholar 

  2. Siegel R, Naishadham D, Jemal A. Cancer statistics, 2013. CA Cancer J Clin. 2013;63:11–30.

    Article  PubMed  Google Scholar 

  3. Gao W, Liu L, Lu X, et al. Circulating microRNAs: possible prediction biomarkers for personalized therapy of non-small-cell lung carcinoma. Clin Lung Cancer. 2011;12:14–7.

    CAS  Article  PubMed  Google Scholar 

  4. Smith CB, Kelley AS, Meier DE. Evidence for new standard of care in non-small cell lung cancer patients. Semin Thorac Cardiovasc Surg. 2010;22:193–4.

    Article  PubMed  Google Scholar 

  5. Gettinger S, Lynch T. A decade of advances in treatment for advanced non-small cell lung cancer. Clin Chest Med. 2011;32:839–51.

    Article  PubMed  Google Scholar 

  6. Nakajima T, Yasufuku K. Early lung cancer: methods for detection. Clin Chest Med. 2013;34:373–83.

    Article  PubMed  Google Scholar 

  7. O'Byrne KJ, Cox G, Swinson D, et al. Towards a biological staging model for operable non-small cell lung cancer. Lung Cancer. 2001;34 Suppl 2:S83–9.

    Article  PubMed  Google Scholar 

  8. Dy GK, Adjei AA. Novel targets for lung cancer therapy: part I. J Clin Oncol. 2002;20:2881–94.

    CAS  Article  PubMed  Google Scholar 

  9. Wang F, Hansen RK, Radisky D, et al. Phenotypic reversion or death of cancer cells by altering signaling pathways in three-dimensional contexts. J Natl Cancer Inst. 2002;94:1494–503.

    CAS  Article  PubMed  PubMed Central  Google Scholar 

  10. Coate LE, John T, Tsao MS, et al. Molecular predictive and prognostic markers in non-small-cell lung cancer. Lancet Oncol. 2009;10:1001–10.

    CAS  Article  PubMed  Google Scholar 

  11. Niu FY, Wu YL. Novel agents and strategies for overcoming EGFR TKIs resistance. Exp Hematol Oncol. 2014;3:2.

    Article  PubMed  PubMed Central  Google Scholar 

  12. Brunet A, Roux D, Lenormand P, et al. Nuclear translocation of p42/p44 mitogen-activated protein kinase is required for growth factor-induced gene expression and cell cycle entry. Embo J. 1999;18:664–74.

    CAS  Article  PubMed  PubMed Central  Google Scholar 

  13. Chang L, Karin M. Mammalian MAP kinase signalling cascades. Nature. 2001;410:37–40.

    CAS  Article  PubMed  Google Scholar 

  14. Hoshino R, Chatani Y, Yamori T, et al. Constitutive activation of the 41-/43-kDa mitogen-activated protein kinase signaling pathway in human tumors. Oncogene. 1999;18:813–22.

    CAS  Article  PubMed  Google Scholar 

  15. Akintunde A, Muhammad F, Nikhil M, et al. MEK and the inhibitors: from bench to bedside. J Hematol Oncol. 2013;6:27.15.

    Google Scholar 

  16. Marshall CJ. Specificity of receptor tyrosine kinase signaling: transient versus sustained extracellular signal-regulated kinase activation. Cell. 1995;80:179–85.

    CAS  Article  PubMed  Google Scholar 

  17. Schaeffer HJ, Weber MJ. Mitogen-activated protein kinases: specific messages from ubiquitous messengers. Mol Cell Biol. 1999;19:2435–44.

    CAS  Article  PubMed  PubMed Central  Google Scholar 

  18. Pearson G, Robinson F, Beers Gibson T, et al. Mitogen-activated protein (MAP) kinase pathways: regulation and physiological functions. Endocr Rev. 2001;22:153–83.

    CAS  PubMed  Google Scholar 

  19. Jeong EK, Lee SY, Jeon HM, et al. Role of extracellular signal-regulated kinase (ERK)1/2 in multicellular resistance to docetaxel in MCF-7 cells. Int J Oncol. 2010;37:655–61.

    CAS  PubMed  Google Scholar 

  20. Jerjees DA, Alabdullah M, Alkaabi M, et al. ERK1/2 is related to oestrogen receptor and predicts outcome in hormone-treated breast cancer. Breast Cancer Res Treat. 2014;147:25–37.

    CAS  Article  PubMed  Google Scholar 

  21. Lee HJ, Kim DI, Kang GH, et al. Phosphorylation of ERK1/2 and prognosis of clear cell renal cell carcinoma. Urology. 2009;73:394–9.

    Article  PubMed  Google Scholar 

  22. Karlou M, Saetta AA, Korkolopoulou P, et al. Activation of extracellular regulated kinases (ERK1/2) predicts poor prognosis in urothelial bladder carcinoma and is not associated with B-Raf gene mutations. Pathology. 2009;41:327–34.

    CAS  Article  PubMed  Google Scholar 

  23. Yuan X, Wu H, Han N, et al. Notch signaling and EMT in non-small cell lung cancer: biological significance and therapeutic application. J Hematol Oncol. 2014;7:87.

    Article  PubMed  PubMed Central  Google Scholar 

  24. Schmitz KJ, Wohlschlaeger J, Alakus H, et al. Activation of extracellular regulated kinases (ERK1/2) but not AKT predicts poor prognosis in colorectal carcinoma and is associated with k-ras mutations. Virchows Arch. 2007;450:151–9.

    CAS  Article  PubMed  Google Scholar 

  25. Albanell J, Codony-Servat J, Rojo F, et al. Activated extracellular signal-regulated kinases: association with epidermal growth factor receptor/transforming growth factor alpha expression in head and neck squamous carcinoma and inhibition by anti-epidermal growth factor receptor treatments. Cancer Res. 2001;61:6500–10.

    CAS  PubMed  Google Scholar 

  26. Blackhall FH, Pintilie M, Michael M, et al. Expression and prognostic significance of kit, protein kinase B, and mitogen-activated protein kinase in patients with small cell lung cancer. Clin Cancer Res. 2003;9:2241–7.

    CAS  PubMed  Google Scholar 

  27. Vicent S, Lopez-Picazo JM, Toledo G, et al. ERK1/2 is activated in non-small-cell lung cancer and associated with advanced tumours. Br J Cancer. 2004;90:1047–52.

    CAS  Article  PubMed  PubMed Central  Google Scholar 

  28. The Royal College of Radiologists Clinical Oncology Information Network. Guidelines on the non-surgical management of lung cancer. Clin Oncol (R Coll Radiol). 1999;11:S1–53.

    Article  Google Scholar 

  29. Edge SB, Compton CC. The American Joint Committee on Cancer: the 7th edition of the AJCC cancer staging manual and the future of TNM. Ann Surg Oncol. 2010;17:1471–4.

    Article  PubMed  Google Scholar 

  30. Travis WD, Brambilla E, Riely GJ. New pathologic classification of lung cancer: relevance for clinical practice and clinical trials. J Clin Oncol. 2013;31:992–1001.

    CAS  Article  PubMed  Google Scholar 

  31. Li Q, Yang Z. Expression of phospho-ERK1/2 and PI3-K in benign and malignant gallbladder lesions and its clinical and pathological correlations. J Exp Clin Cancer Res. 2009;28:65.

    Article  PubMed  PubMed Central  Google Scholar 

  32. Qiu ZX, Wang L, Han J, et al. Prognostic impact of Raf-1 and p-Raf-1 expressions for poor survival rate in non-small cell lung cancer. Cancer Sci. 2012;103:1774–9.

    CAS  Article  PubMed  Google Scholar 

  33. Brognard J, Dennis PA. Variable apoptotic response of NSCLC cells to inhibition of the MEK/ERK pathway by small molecules or dominant negative mutants. Cell Death Differ. 2002;9:893–904.

    CAS  Article  PubMed  Google Scholar 

  34. Brinkman JA, El-Ashry D. ER re-expression and re-sensitization to endocrine therapies in ER-negative breast cancers. J Mammary Gland Biol Neoplasia. 2009;14:67–78.

    Article  PubMed  Google Scholar 

  35. Yang D, Fan X, Yin P, et al. Significance of decoy receptor 3 (Dcr3) and external-signal regulated kinase 1/2 (Erk1/2) in gastric cancer. BMC Immunol. 2012;13:28.

    CAS  Article  PubMed  PubMed Central  Google Scholar 

  36. Ito Y, Sasaki Y, Horimoto M, et al. Activation of mitogen-activated protein kinases/extracellular signal-regulated kinases in human hepatocellular carcinoma. Hepatology. 1998;27:951–8.

    CAS  Article  PubMed  Google Scholar 

  37. Milde-Langosch K, Bamberger AM, Rieck G, et al. Expression and prognostic relevance of activated extracellular-regulated kinases (ERK1/2) in breast cancer. Br J Cancer. 2005;92:2206–15.

    CAS  Article  PubMed  PubMed Central  Google Scholar 

  38. D'Amico TA, Massey M, Herndon 2nd JE, et al. A biologic risk model for stage I lung cancer: immunohistochemical analysis of 408 patients with the use of ten molecular markers. J Thorac Cardiovasc Surg. 1999;117:736–43.

    Article  PubMed  Google Scholar 

  39. Chang H, Shi Y, Tuokan T, et al. Expression of aquaporin 8 and phosphorylation of Erk1/2 in cervical epithelial carcinogenesis: correlation with clinicopathological parameters. Int J Clin Exp Pathol. 2014;7:3928–37.

    CAS  PubMed  PubMed Central  Google Scholar 

  40. Dublin E, Hanby A, Patel NK, et al. Immunohistochemical expression of uPA, uPAR, and PAI-1 in breast carcinoma. Fibroblastic expression has strong associations with tumor pathology. Am J Pathol. 2000;157:1219–27.

    CAS  Article  PubMed  PubMed Central  Google Scholar 

  41. Kupferman ME, Fini ME, Muller WJ, et al. Matrix metalloproteinase 9 promoter activity is induced coincident with invasion during tumor progression. Am J Pathol. 2000;157:1777–83.

    CAS  Article  PubMed  PubMed Central  Google Scholar 

Download references

Acknowledgments

Many thanks to Li Li and Fei Chen in the Key Laboratory of Transplant Engineering and Immunology, Ministry of Health, West China Hospital, for their help in the laboratory work. This work was supported by grants from the Nature Science Foundation of China (812410-68, 81372504).

Conflicts of interest

None

Author information

Affiliations

Authors

Corresponding author

Correspondence to Wei-min Li.

Rights and permissions

Reprints and Permissions

About this article

Verify currency and authenticity via CrossMark

Cite this article

Zhao, S., Qiu, Zx., Zhang, L. et al. Prognostic values of ERK1/2 and p-ERK1/2 expressions for poor survival in non-small cell lung cancer. Tumor Biol. 36, 4143–4150 (2015). https://doi.org/10.1007/s13277-015-3048-4

Download citation

  • Received:

  • Accepted:

  • Published:

  • Issue Date:

  • DOI: https://doi.org/10.1007/s13277-015-3048-4

Keywords

  • The extracellular-regulated kinase (ERK) 1/2
  • Prognosis
  • Non-small cell lung cancer (NSCLC)