Skip to main content

Do Fasudil and Y-27632 affect the level of transient receptor potential (TRP) gene expressions in breast cancer cell lines?

Abstract

Breast cancer (BC) is the most frequent cancer type in women, and the mortality rate is high especially in metastatic disease. Ion channels such as the transient receptor potential (TRP) channels correlate with malignant growth and cancer progression. Hence, some authors have suggested that the expression levels of TRP channels may be used as a marker in the diagnosis and predicting the prognosis of BC. Also, in some recent studies, targeting TRP channels are suggested as a novel treatment strategy in BC. The aim of this study was to investigate the effect of two Rho-kinase (ROCK) inhibitors, fasudil and Y-27632, on the expression levels of TRP channel genes in breast cancer cell lines (ZR-75-1, MCF7, and MDA-MB-231) and breast epithelial cell line (hTERT-HME1). The expression levels of TRP genes were determined by quantitative reverse transcription polymerase chain reaction (qRT-PCR). We found that fasudil had reduced the TRPC1, TRPV2 expression levels in the ZR-75-1, MCF7, and MDA-MB-231 cell lines. On the other hand, fasudil and Y-27632 had reduced TRPM6 expression levels in all cell lines. Y-27632 increased the expression levels of TRPC7 in all cell lines. In conclusion, this is the first study demonstrating that the inhibition of ROCK pathway changes the expression levels of some TRP genes. Also, our study has firstly shown that the expression levels of the TRP genes which are suggested as a diagnostic and prognostic biomarker in BC, were changed with the treatment of fasudil and Y-27632.

This is a preview of subscription content, access via your institution.

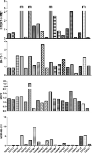
Fig. 1
Fig. 2

References

  1. Redig AJ, McAllister SS. Breast cancer as a systemic disease: a view of metastasis. Eur J Intern Med. 2013;274(2):113–26. doi:10.1111/joim.12084.

    CAS  Google Scholar 

  2. Song J, Su H, Zhou YY, Guo LL. Prognostic value of survivin expression in breast cancer patients: a meta-analysis. Tumour Biol. 2013;34(4):2053–62. doi:10.1007/s13277-013-0848-2.

    CAS  PubMed  Article  Google Scholar 

  3. Sergeev IN. Calcium signaling in cancer and vitamin D. J Steroid Biochem Mol Biol. 2005;97(1–2):145–51. doi:10.1016/j.jsbmb.2005.06.007.

    CAS  PubMed  Article  Google Scholar 

  4. Nilius B, Owsianik G. The transient receptor potential family of ion channels. Genome Biol. 2011;12(3):218. doi:10.1186/gb-2011-12-3-218.

    CAS  PubMed Central  PubMed  Article  Google Scholar 

  5. Ouadid-Ahidouch H, Dhennin-Duthille I, Gautier M, Sevestre H, Ahidouch A. TRP channels: diagnostic markers and therapeutic targets for breast cancer? Trends Mol Med. 2013;19(2):117–24. doi:10.1016/j.molmed.2012.11.004.

    CAS  PubMed  Article  Google Scholar 

  6. Zimmermann H. Neurotransmitter release. FEBS Lett. 1990;268(2):394–9.

    CAS  PubMed  Article  Google Scholar 

  7. Capiod T. The need for calcium channels in cell proliferation. Recent Pat Anticancer Drug Discov. 2013;8(1):4–17.

    CAS  PubMed  Article  Google Scholar 

  8. Naranjo JR, Mellstrom B. Ca2 + −dependent transcriptional control of Ca2+ homeostasis. J Biol Chem. 2012;287(38):31674–80. doi:10.1074/jbc.R112.384982.

    CAS  PubMed Central  PubMed  Article  Google Scholar 

  9. Pinton P, Giorgi C, Siviero R, Zecchini E, Rizzuto R. Calcium and apoptosis: ER-mitochondria Ca2+ transfer in the control of apoptosis. Oncogene. 2008;27(50):6407–18. doi:10.1038/onc.2008.308.

    CAS  PubMed Central  PubMed  Article  Google Scholar 

  10. Ramsey IS, Delling M, Clapham DE. An introduction to TRP channels. Annu Rev Physiol. 2006;68:619–47. doi:10.1146/annurev.physiol.68.040204.100431.

    CAS  PubMed  Article  Google Scholar 

  11. Gkika D, Prevarskaya N. Molecular mechanisms of TRP regulation in tumor growth and metastasis. Biochim Biophys Acta. 2009;1793(6):953–8. doi:10.1016/j.bbamcr.2008.11.010.

    CAS  PubMed  Article  Google Scholar 

  12. Dhennin-Duthille I, Gautier M, Faouzi M, Guilbert A, Brevet M, Vaudry D, et al. High expression of transient receptor potential channels in human breast cancer epithelial cells and tissues: correlation with pathological parameters. Cell Physiol Biochem. 2011;28(5):813–22. doi:10.1159/000335795.

    CAS  PubMed  Article  Google Scholar 

  13. Meng X, Cai C, Wu J, Cai S, Ye C, Chen H, et al. TRPM7 mediates breast cancer cell migration and invasion through the MAPK pathway. Cancer Lett. 2013;333(1):96–102. doi:10.1016/j.canlet.2013.01.031.

    CAS  PubMed  Article  Google Scholar 

  14. Middelbeek J, Kuipers AJ, Henneman L, Visser D, Eidhof I, van Horssen R, et al. TRPM7 is required for breast tumor cell metastasis. Cancer Res. 2012;72(16):4250–61. doi:10.1158/0008-5472.CAN-11-3863.

    CAS  PubMed  Article  Google Scholar 

  15. Aydar E, Yeo S, Djamgoz M, Palmer C. Abnormal expression, localization and interaction of canonical transient receptor potential ion channels in human breast cancer cell lines and tissues: a potential target for breast cancer diagnosis and therapy. Cancer Cell Int. 2009;9:23. doi:10.1186/1475-2867-9-23.

    PubMed Central  PubMed  Article  Google Scholar 

  16. Bolanz KA, Hediger MA, Landowski CP. The role of TRPV6 in breast carcinogenesis. Mol Cancer Ther. 2008;7(2):271–9. doi:10.1158/1535-7163.MCT-07-0478.

    CAS  PubMed  Article  Google Scholar 

  17. Guilbert A, Gautier M, Dhennin-Duthille I, Haren N, Sevestre H, Ouadid-Ahidouch H. Evidence that TRPM7 is required for breast cancer cell proliferation. Am J Physiol Cell Physiol. 2009;297(3):C493–502. doi:10.1152/ajpcell.00624.2008.

    CAS  PubMed  Article  Google Scholar 

  18. Surma M, Wei L, Shi J. Rho kinase as a therapeutic target in cardiovascular disease. Future Cardiol. 2011;7(5):657–71. doi:10.2217/fca.11.51.

    CAS  PubMed Central  PubMed  Article  Google Scholar 

  19. Narumiya S, Ishizaki T, Uehata M. Use and properties of ROCK-specific inhibitor Y-27632. Methods Enzymol. 2000;325:273–84.

    CAS  PubMed  Article  Google Scholar 

  20. Olson MF. Applications for ROCK kinase inhibition. Curr Opin Cell Biol. 2008;20(2):242–8. doi:10.1016/j.ceb.2008.01.002.

    CAS  PubMed Central  PubMed  Article  Google Scholar 

  21. Merico D, Isserlin R, Stueker O, Emili A, Bader GD. Enrichment map: a network-based method for gene-set enrichment visualization and interpretation. PLoS One. 2010;5(11):e13984. doi:10.1371/journal.pone.0013984.

    PubMed Central  PubMed  Article  Google Scholar 

  22. Morgan-Fisher M, Wewer UM, Yoneda A. Regulation of ROCK activity in cancer. J Histochem Cytochem. 2013;61(3):185–98. doi:10.1369/0022155412470834.

    CAS  PubMed Central  PubMed  Article  Google Scholar 

  23. Fukata Y, Oshiro N, Kinoshita N, Kawano Y, Matsuoka Y, Bennett V, et al. Phosphorylation of adducin by Rho-kinase plays a crucial role in cell motility. J Cell Biol. 1999;145(2):347–61.

    CAS  PubMed Central  PubMed  Article  Google Scholar 

  24. Higashi M, Shimokawa H, Hattori T, Hiroki J, Mukai Y, Morikawa K, et al. Long-term inhibition of Rho-kinase suppresses angiotensin II-induced cardiovascular hypertrophy in rats in vivo: effect on endothelial NAD (P) H oxidase system. Circ Res. 2003;93(8):767–75. doi:10.1161/01.RES.0000096650.91688.28.

    CAS  PubMed  Article  Google Scholar 

  25. Takamura M, Sakamoto M, Genda T, Ichida T, Asakura H, Hirohashi S. Inhibition of intrahepatic metastasis of human hepatocellular carcinoma by Rho-associated protein kinase inhibitor Y-27632. Hepatology. 2001;33(3):577–81. doi:10.1053/jhep.2001.22652.

    CAS  PubMed  Article  Google Scholar 

  26. Ying H, Biroc SL, Li WW, Alicke B, Xuan JA, Pagila R, et al. The Rho kinase inhibitor fasudil inhibits tumor progression in human and rat tumor models. Mol Cancer Ther. 2006;5(9):2158–64. doi:10.1158/1535-7163.MCT-05-0440.

    CAS  PubMed  Article  Google Scholar 

  27. Itoh K, Yoshioka K, Akedo H, Uehata M, Ishizaki T, Narumiya S. An essential part for Rho-associated kinase in the transcellular invasion of tumor cells. Nat Med. 1999;5(2):221–5. doi:10.1038/5587.

    CAS  PubMed  Article  Google Scholar 

  28. Lawler K, Foran E, O’Sullivan G, Long A, Kenny D. Mobility and invasiveness of metastatic esophageal cancer are potentiated by shear stress in a ROCK- and Ras-dependent manner. Am J Physiol Cell Physiol. 2006;291(4):C668–77. doi:10.1152/ajpcell.00626.2005.

    CAS  PubMed  Article  Google Scholar 

  29. Nishimura Y, Itoh K, Yoshioka K, Tokuda K, Himeno M. Overexpression of ROCK in human breast cancer cells: evidence that ROCK activity mediates intracellular membrane traffic of lysosomes. Pathol Oncol Res. 2003;9(2):83–95.

    CAS  PubMed  Article  Google Scholar 

  30. Bourguignon LY, Singleton PA, Zhu H, Diedrich F. Hyaluronan-mediated CD44 interaction with RhoGEF and Rho kinase promotes Grb2-associated binder-1 phosphorylation and phosphatidylinositol 3-kinase signaling leading to cytokine (macrophage-colony stimulating factor) production and breast tumor progression. J Biol Chem. 2003;278(32):29420–34. doi:10.1074/jbc.M301885200.

    CAS  PubMed  Article  Google Scholar 

  31. Bourguignon LY, Singleton PA, Diedrich F, Stern R, Gilad E. CD44 interaction with Na + −H + exchanger (NHE1) creates acidic microenvironments leading to hyaluronidase-2 and cathepsin B activation and breast tumor cell invasion. J Biol Chem. 2004;279(26):26991–7007. doi:10.1074/jbc.M311838200.

    CAS  PubMed  Article  Google Scholar 

  32. Fleig A, Penner R. The TRPM ion channel subfamily: molecular, biophysical and functional features. Trends Pharmacol Sci. 2004;25(12):633–9. doi:10.1016/j.tips.2004.10.004.

    CAS  PubMed  Article  Google Scholar 

  33. Wolf FI, Cittadini AR, Maier JA. Magnesium and tumors: ally or foe? Cancer Treat Rev. 2009;35(4):378–82. doi:10.1016/j.ctrv.2009.01.003.

    CAS  PubMed  Article  Google Scholar 

  34. Kurt AH, Tiftik RN, Un I, Ulker S, Buyukafsar K. G protein-coupled estrogen receptor1 (GPER1) may mediate Rho-kinase (ROCK-2) up-regulation in coronary endothelial cells. Endocr Regul. 2013;47(2):75–84.

    CAS  PubMed  Article  Google Scholar 

  35. Kao J, Salari K, Bocanegra M, Choi YL, Girard L, Gandhi J, et al. Molecular profiling of breast cancer cell lines defines relevant tumor models and provides a resource for cancer gene discovery. PLoS One. 2009;4(7):e6146. doi:10.1371/journal.pone.0006146.

    PubMed Central  PubMed  Article  Google Scholar 

  36. Wong YF, Loong EP, Mao KR, Tam PP, Panesar NS, Neale E, et al. Salivary oestradiol and progesterone after in vitro fertilization and embryo transfer using different luteal support regimens. Reprod Fertil Dev. 1990;2(4):351–8.

    CAS  PubMed  Article  Google Scholar 

  37. Guilbert A, Gautier M, Dhennin-Duthille I, Rybarczyk P, Sahni J, Sevestre H, et al. Transient receptor potential melastatin 7 is involved in oestrogen receptor-negative metastatic breast cancer cells migration through its kinase domain. Eur J Cancer. 2013;49(17):3694–707. doi:10.1016/j.ejca.2013.07.008.

    CAS  PubMed  Article  Google Scholar 

Download references

Conflicts of interest

The authors declare that they have no conflict of interest

Author information

Affiliations

Authors

Corresponding author

Correspondence to Bulent Gogebakan.

Rights and permissions

Reprints and Permissions

About this article

Verify currency and authenticity via CrossMark

Cite this article

Gogebakan, B., Bayraktar, R., Suner, A. et al. Do Fasudil and Y-27632 affect the level of transient receptor potential (TRP) gene expressions in breast cancer cell lines?. Tumor Biol. 35, 8033–8041 (2014). https://doi.org/10.1007/s13277-014-1752-0

Download citation

  • Received:

  • Accepted:

  • Published:

  • Issue Date:

  • DOI: https://doi.org/10.1007/s13277-014-1752-0

Keywords

  • Breast cancer
  • Fasudil
  • TRP genes
  • Y-27632