Abstract
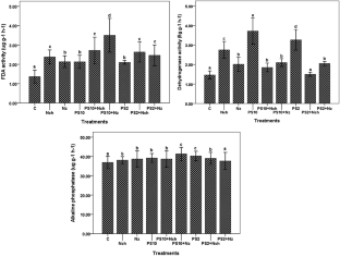
Application of nanocompounds and plant growth promoting rhizobacteria (PGPR) plays an important role in improving plant growth and soil health. In the present study, response of two PGPR (PS2-KX650178 and PS10-KX650179) along with nanozeolite and nanochitosan was studied on Fenugreek (Trigonella foenum-graecum), on the basis of physiological and biochemical parameters of soil and plant in pot experiment for 45 days. A significant increase (1.5–2 folds) in plant height, leaf number, leaf area and fresh weight over control was observed in Fenugreek plants when treated with nanocompounds and PGPR. Combined treatment also showed the highest level of total chlorophyll (3.27 mg g−1), sugar (6.14 μg mg−1 dry wt), soluble leaf protein (295.37 mg g−1 fresh weight) and catalase activity (23.84 U g−1 tissue) in Fenugreek plants. GC–MS analysis of plant metabolites revealed the abundance of phenols which are known to improve biotic/abiotic stresses in plants. Activity of Fluorescein Diacetate hydrolase enzyme was 2.5 times higher in the combined treatment of nanozeolite with PS10 than in control. An increase of 11% in alkaline phosphatase activity was observed in the same treatment with respect to control. The results obtained from the pot experiment clearly indicate that nanocompounds along with PGPR improved the growth of plants and soil health which suggest their benefits in agriculture practices to increase crop production.




Similar content being viewed by others
Explore related subjects
Discover the latest articles and news from researchers in related subjects, suggested using machine learning.Abbreviations
- ZnONPs:
-
Zinc oxide nanoparticles
- CEC:
-
Cation exchange capacity
- FDA:
-
Fluorescein diacetate
- TOC:
-
Total organic carbon
- Nch:
-
Nanochitosan
- Nz:
-
Nanozeolite
- SNPs:
-
Silver nanoparticles
- Fe3O4 :
-
Iron oxide
- SWCNTs:
-
Single-walled carbon nanotubes
References
Aminiyan MM, Hosseini H, Heydariyan A (2018) Microbial communities and their characteristics in a soil amended by nanozeolite and some plant residues: short time in-situ incubation. Eurasian J Soil Sci 7:9–19
Appanna V (2007) Efficacy of phosphate solubilizing bacteria isolated from vertisols on growth and yield parameters of sorghum. Res J Microbiol 2:550559
Arora S, Sharma P, Kumar S, Nayan R, Khanna PK, Zaidi MGH (2012) Gold-nanoparticle induced enhancement in growth and seed yield of Brassica juncea. Plant Growth Reg 66:303–310
Bandick AK, Dick RP (1999) Field management effects on soil enzyme activities. Soil Biol Biochem 31(11):1471–1479
Bradford MM (1976) A rapid and sensitive method for the quantitation of microgram quantities of protein utilizing the principle of protein-dye binding. Anal Biochem 72(1–2):248–254
Burke DJ, Pietrasiak N, Samia ACS (2015) Iron oxide and titanium dioxide nanoparticle effects on plant performance and root associated microbes. Int J Mol Sci 10:23630–23650
Caldwell BA (2005) Enzyme activities as a component of soil biodiversity: a review. Pedobiologia 49(6):637–644
Casida LE Jr, Klein DA, Santoro T (1964) Soil dehydrogenase activity. Soil Sci 98(6):371–376
Chai H, Yao J, Sun J, Zhang C, Liu W, Zhu M, Ceccanti B (2015) The effect of metal oxide nanoparticles on functional bacteria and metabolic profiles in agricultural soil. Bull Environ Contam Toxicol 94(4):490–495
Chandra S, Chakraborty N, Dasgupta A, Sarkar J, Panda K, Krishnendu AK (2015) Chitosan nanoparticles: a positive modulator of innate immune responses in plants. Sci Rep 5:15195
Chandra NS, Keelara VHP, Niranjan RS, Venkataramana M, Vijai KG, Naveen KK, Xiao FD, Jie YC, Andrei M, Bhim PS, Rakesh KS (2018) Chitosan nanoparticles having higher degree of acetylation induce resistance against pearl millet downy mildew through nitric oxide generation. Sci Rep 8:2485
Chaudhary P, Sharma A (2019) Response of nanogypsum on the performance of plant growth promotory bacteria recovered from nanocompound infested agriculture field. Environ Ecol 37(1B):363–372
Choudhary CR, Kumaraswamy VR, Kumari S, Sharma SS, Pal A, Raliya R, Biswas P, Saharan V (2017) Cu-chitosan nanoparticle boost defense responses and plant growth in maize (Zea mays L.). Sci Rep 7:9754
Cullen LG, Tilston EL, Mitchell GR, Collins CD, Shaw LJ (2011) Assessing the impact of nano-and micro-scale zerovalent iron particles on soil microbial activities: particle reactivity interferes with assay conditions and interpretation of genuine microbial effects. Chemosphere 82(11):1675–1682
DeLuca TH, DeLuca DK (1997) Composting for feedlot manure management and soil quality. J Prod Agri 10(2):235–241
DuBois M, Gilles KA, Hamilton JK, Rebers PA, Smith F (1956) Calorimetric method for determination of sugars and related substances. Anal Chem 28(3):350–356
Durairaj B, Santhoshkumar M, Xavier T (2015) Effect of Fungal generated n-TiO2 on Fenugreek (Trigonella foenumgraecum) seed germination and seedling growth. J Global Biosci 4(5):2319–2325
Elliott ET, Cambardella CA, Cole CV (1993) Modification of ecosystem processes by management and the mediation of soil organic matter dynamics. Plant Soil 22:129–138
Elsheery NB, Helaly MN, El-Hoseiny HM, Alam-Eldein SM (2020a) Zinc oxide and silicone nanoparticles to improve the resistance mechanism and annual productivity of salt-stressed mango trees. Agronomy 10:558
Elsheery NI, Sunoj VSJ, Wen Y, Zhu JJ, Muralidharan G, Cao KF (2020b) Foliar application of nanoparticles mitigates the chilling effect onphotosynthesis and photoprotection in sugarcane. Plant Physiol Biochem 149:50–60
Fang G, Si Y, Tian C (2012) Degradation of 2, 4-D in soils by Fe3O4 nanoparticles combined with stimulating indigenous microbes. Env Sci Pollut Res 19(3):784–793
Gao FQ, Hong FH, Liu C, Zheng L, Su MY, Wu X, Yang F, Wu C, Yang P (2006) Mechanism of nanoanatase TiO2 on promoting photosynthetic carbon reaction of spinach-inducing complex of rubisco-rubisco activase. Biol Trace Elem Res 111:239–253
Glick BR (2012) Plant growth-promoting bacteria: mechanisms and applications. Hindawi Publishing Corporation, Scientifica, London
Gopinath K, Gowri S, Karthika V, Arumugam A (2014) Green synthesis of gold nanoparticles from fruit extract of Terminalia arjuna, for the enhanced seed germination activity Gloriosa superba. J Nanostr Chem 4:1–11
Goto M, Ehara H, Karita S, Takabe K, Ogawa N, Yamada Y, Ogawa S, Yahaya MS, Morita O (2003) Protective effect of silicon on phenolic biosynthesis and ultraviolet spectral stress in rice crop. Plant Sci 164:349–356
He F, Wang H, Chen Q, Yang B, Gao Y, Wang L (2015) Short-term response of soil enzyme activity and soil respiration to repeated carbon nanotubes exposure. Soil Sediment Contam 24(3):250–261
Helaly MN, El-Metwally MA, El-Hoseiny H, Omar SA, El-Sheery NI (2014) Effect of nanoparticles on biological contamination of in vitro cultures and organogenic regeneration of banana. Aust J Crop Sci 8:612–624
Helaly MN, El-Hoseinyb H, El-Sheeryc NI, Rastogi A, Kalajif HM (2017) Regulation and physiological role of silicon in alleviating drought stress of mango. Plant Physio Biochem 118:31
Hiscox JT, Israelstam GF (1979) A method for the extraction of chlorophyll from leaf tissue without maceration. Can J Bot 57(12):1332–1334
Imtiaz M, Rizwan MS, Mushtaq MA, Ashraf M, Shahzad SM, Yousaf B, Saeed DA, Rizwan M, Nawaz MA, Mehmood S, Tu S (2016) Silicon occurrence, uptake, transport and mechanisms of heavy metals, minerals and salinity enhanced tolerance in plants with future prospects: a review. J Environ Manage 183:521–529
Jhanzab HM, Razzaq A, Jilani G, Rehman A, Hafeez A, Yasmeen F (2015) Silver nano-particles enhance the growth, yield and nutrient use efficiency of wheat. Int J Agron Agri Res 7(1):15–22
Ju W, Liu L, Jin X, Duan C, Cui Y, Wang J, Ma D, Zhao W, Wang Y, Fang L (2020) Co-inoculation effect of plant-growth-promoting rhizobacteria and rhizobium on EDDS assisted phytoremediation of Cu contaminated soils. Chemosphere 254:126724
Khalifa MMA, Fetian NAH, Abdel Magid MS, El-Sheery NI (2017) Effectiveness of potassium silicate in suppression white rot disease andenhancement physiological resistance of onion plants, and its role on the soil microbial community. Middle East J Agric Res 6:2
Khati P, Chaudhary P, Gangola S, Bhatt P, Sharma A (2017) Nanochitosan supports growth of Zea mays and also maintains soil health following growth. 3 Biotech 7:81
Khati P, Chaudhary P, Bhatt P, Nisha KR, Sharma A (2018) Effect of nanozeolite and plant growth promoting rhizobacteria on maize. 3 Biotech 8:141
Khati P, Chaudhary P, Gangola S, Sharma A (2019a) Influence of nanozeolite on plant growth promotory bacterial isolates recovered from nanocompound infested agriculture field. Environ Ecol 37(2):521–527
Khati P, Sharma A, Chaudhary P, Singh AK, Gangola S, Kumar R (2019b) High-throughput sequencing approach to access the impact of nanozeolite treatment on species richness and evens of soil metagenome. Biocatal Agri Biotech 20:101249
Khodakovskaya MV, de Silva K, Biris AS, Dervishi E, Villagarcia H (2012) Carbon nanotubes induce growth enhancement of tobacco cells. ACS Nano 6(3):2128–2135
Kirk JOT, Allen RL (1965) Dependence of chloroplast pigment synthesis on protein synthesis: effect of actidione. Biochem Biophys Res Commun 21(6):523–530
Kukreti B, Sharma A, Chaudhary P, Agri U, Maithani D (2020) Influence of nanosilicon dioxide along with bioinoculants on Zea mays and its rhizospheric soil. 3 Biotech 10:345
Kwak J, Yoon S, An Y (2017) Long-term effects of ZnO nanoparticles on exoenzyme activities in planted soils. Envi Eng Res 22(2):224–229
Loomis WE, Shull CA (1937) Methods in plant physiology, 1st edn. McGraw-Hill Co., New York
Luck H (1963) Catalase. In: Begmeyer HU (ed) Methods of enzymatic analysis. Academic press, New York, pp 895–897
Lugtenberg BJ, Dekkers L, Bloemberg GV (2001) Molecular determinants of rhizosphere colonization by Pseudomonas. Ann Rev Phytopath 39(1):461–490
Ma LJ, Li YY, Yu CM, Wang Y, Li XM, Li N (2014) Germination and physiological response of wheat (Triticum aestivum) to pre-soaking with oligochitosan. Int J Agric Bio 16:766–770
Mahmoodzadeh H, Nabavi M, Kashefi H (2013) Effect of nanoscale titanium dioxide particles on the germination and growth of canola (Brassica napus). J Ornam Hortic Plants 3(1):25–32
McGee, CF, Storey S, Clipson N, Doyle E (2017) Soil microbial community responses to contamination with silver, aluminium oxide and silicon dioxide nanoparticles. Ecotoxicology 26:449–458
Mintova S, Grand J, Valtchev V (2016) Nanosized zeolites: Quo Vadis? C R Chim 19(1):183–191
Mukhopadhyay SS (2014) Nanotechnology in agriculture prospects and constraints. Nanotechnol Sci Appl 7:63–71
Najafi S, Jamei R (2014) Effect of silver nanoparticles and Pb(NO3)2 on the yield and chemical composition of mung bean (Vigna radiata). J Stress Physio Biochem 10(1):316–325
Naser HM, Hanan E, Elsheery NI (2016) Effect of biofertilizers and putrescine amine on the physiological features and productivity of date palm (Phoenix dactylifera, L.) grown on reclaimed-salinized soil. Trees 30:1149–1161
Nelson N (1944) A photometric adaptation of the Somogyi method for the determination of glucose. J Biol Chem 153(2):375–380
Ok CH, Anderson SH, Ervin EH (2003) Amendments and construction systems for improving the performance of sand-based putting greens. Agro J 95(6):1583–1590
Olanrewaju OS, Babalola OO (2019) Bacterial consortium for improved maize (Zea mays) production. Microorganisms 7:519
India Country Overview (2008) World Bank Report.https://www.worldbank.org/en/country/india/overview
Parul (2019)Application of conventional and metagenomic approaches to analyse the effect of nanocompounds and indigenous bioinoculants on the health of soil and Zea mays. Ph.D. Thesis G.B.P.U.A&T Pantnagar
Phillips N, Edwards J (2006) Cereal seed quality after drought. State of New South Wales trough NSW, Department of Primary Industries
Polat E, Karaca M, Demir H, Onus AN (2004) Use of natural zeolite (clinoptilolite) in agriculture. J Fruit Ornam Plant Res 12(1):183–189
Pullagurala VLR, Adisa IO, Rawat S, Kalagara S, Hernandez-Viezcas JA, Peralta-Videa JR, Gardea-Torresdey J (2018) ZnO nanoparticles increase photosynthetic pigments and decrease lipid peroxidation in soil grown cilantro (Coriandrum sativum). Plant Physiol Biochem 132:120–127
Raliya R, Tarafdar JC (2013) ZnO nanoparticle biosynthesis and its effect on phosphorous-mobilizing enzyme secretion and gum contents in cluster bean (Cyamopsis tetragonoloba L.). Agri Res 2:48–57
Raskar SV, Laware SL (2014) Effect of zinc oxide nanoparticles on cytology and seed germination in onion. Int J Curr Microbiol App Sci 3(2):467–473
Rastogi A, Tripathi DK, Yadav S, Chauhan DK, Živčak M, Ghorbanpour M, El-Sheery NI, Brestic M (2019) Application of silicon nanoparticles in agriculture. 3 Biotech 9:90
Sadasivam S, Manikam A (1992) Total carbohydrate by anthrone method biochemical methods for agricultural science. Wiley Eastern Limited, New Delhi
Salama HMH (2012) Effects of silver nanoparticles in some crop plants, Common bean (Phaseolus vulgaris L.) and corn (Zea mays L.). Int Res J Biotech 3:190–197
Schnurer J, Rosswall T (1982) Fluorescein diacetate hydrolysis as a measure of total microbial activity in soil and litter. Appl Environ Microbiol 43(6):1256–1261
Sharma P, Bhatt D, Zaidi MGH, Saradhi PP, Khanna PK, Arora S (2012) Silver nanoparticle-mediated enhancement in growth and antioxidant status of Brassica juncea. Appl Biochem Biotechnol 167(8):2225–2233
Shin YJ, Kwak JI, An YJ (2012) Evidence for the inhibitory effects of silver nanoparticles on the activities of soil exoenzymes. Chemosphere 88(4):524–529
Siddaiah NC, Keelara VHP, Niranjan RS, Venkataramana M, Vijai KG, Naveen KK, Xiao FD, Jie YC, Andrei M, Bhim PS, Rakesh KS (2018) Chitosan nanoparticles having higher degree of acetylation induce resistance against pearl millet downy mildew through nitric oxide generation. Sci Rep 8:2485
Siddiqui MH, Al-Whaibi MH (2014) Role of nano-SiO2 in germination of tomato (Lycopersicum esculentum seeds Mill.). Saudi J Biological Sci 21(1):13–17
Siva GV (2016) Iron oxide nanoparticles promotes agronomic traits of ginger (Zingiber officinale Rosc.). Int J Adv Res Biol Sci 3(3):230–237
Stepanova AN, Yun J, Likhacheva AV, Alonso JM (2007) Multilevel interactions between ethylene and auxin in Arabidopsis roots. Plant Cell 19:2169–2185
Suriyaprabha R, Karunakaran G, Kavitha K, Yuvakkumar R, Rajendran V, Kannan N (2013) Application of silica nanoparticles in maize to enhance fungal resistance. IET Nanobiotech 8:133–137
Szostak R (1992) Handbook of molecular sieves. Van Nostrand Reinhold, New York, p 524
Tabatabai MA, Bremner JM (1969) Use of p-nitrophenyl phosphate for assay of soil phosphatise activity. Soil Biol Biochem 1(4):301–307
Timmusk S, Seisenbaeva G, Behers L (2018) Titania (TiO2) nanoparticles enhance the performance of growth-promoting rhizobacteria. Sci Rep 8:617
Wu M, Ruo-chao H, Xiao-hai T, Xiao-ling W, Guo-hui M, Hai-tao T (2010) Effect of adding Nano-carbon in slow release fertilizer on grain yield and nitrogen use efficiency of super hybrid rice. Hybrid Rice 4:1–5
Xu C, Zhang Y, Zhu L, Huang Y, Lu J (2011) Influence of growing season on phenolic compounds and antioxidant properties of grape berries from vines grown in subtropical climate. J Agric Food Chem 59:1078–1086
Yang K, Xu NS, Su WW (2010) Co-immobilized enzymes in magnetic chitosan beads for improved hydrolysis of macromolecular substrates under a time-varying magnetic field. J Biotechnol 148(2):119–127
Yien L, Zin NM, Sarwar A, Katas H (2012) Antifungal activity of chitosan nanoparticles and correlation with their physical properties. Inter J Biomater 9:632698
Yoshida S, Forno DA, Cock JH (1972) Laboratory manual for physiological studies of rice, 2nd edn. International Rice Research Institute, Los Baños
Acknowledgements
The authors gratefully acknowledge facilities provided by Department of Microbiology of G.B.Pant University of Agriculture and Technology, Pantnagar.
Author information
Authors and Affiliations
Contributions
SK: research work, participated in all the experiments. AS: provided the laboratory facilities and critical checking of the manuscript. PC: wrote the manuscript and helped in data analysis. PK: isolated and characterized the bacterial culture used in the experiment.
Corresponding author
Ethics declarations
Conflict of interest
Authors declare that they have no conflict of interests.
Electronic supplementary material
Below is the link to the electronic supplementary material.
Rights and permissions
About this article
Cite this article
Kumari, S., Sharma, A., Chaudhary, P. et al. Management of plant vigor and soil health using two agriusable nanocompounds and plant growth promotory rhizobacteria in Fenugreek. 3 Biotech 10, 461 (2020). https://doi.org/10.1007/s13205-020-02448-2
Received:
Accepted:
Published:
DOI: https://doi.org/10.1007/s13205-020-02448-2


