Skip to main content

Patterns of chemical diversity in the marine ascidian Phallusia spp.: anti-tumor activity and metabolic pathway inhibiting steroid biosynthesis

Abstract

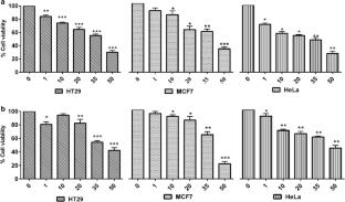
The complex nature of marine biodiversity is partially responsible for the lack of studies in Indian ascidian species, which often target a small number of novel biomolecules. We performed untargeted metabolomics using gas chromatography–mass spectrometry (GC–MS) in two invasive ascidian species to investigate the inter-specific chemical diversity of Phallusia nigra and P. arabica in search of drug-like properties and metabolic pathways. The chemical profiling of individual ascidian species was obtained using GC–MS, and the metabolites were determined by searching in NIST library and literature data. The principal component analysis of GC–MS mass spectral variables showed a clear discrimination of these two ascidian species based on the chemical composition and taxonomy. The metabolites, lipids, macrolides, and steroids contributed strongly to the discrimination of these two species. Results of this study confirmed that GC–MS-based chemical profiling could be utilized as a tool for chemotaxonomic classification of ascidian species. The extract of P. nigra showed promising anti-tumor activity against HT29 colon cancer 35 µM and MCF7-breast cancer (34.76 µM) cells compared to P. arabica. Of the more than 70 metabolites measured, 18 metabolites that mapped various pathways linked to three metabolic pathways being impacted and altered in steroid biosynthesis, primary bile acid biosynthesis, and steroid hormone biosynthesis were observed to have changed significantly (p > 0.004, FDR < 0.01). Also, higher expression of this pathway was associated with more significant cytotoxicity in breast and colon carcinoma cells.

This is a preview of subscription content, access via your institution.

Fig. 1
Fig. 2
Fig. 3
Fig. 4
Fig. 5
Fig. 6

References

  • Ali HAJ, Tamilselvi M (2016) Ascidians in coastal water. Springer International Publishing, Basel, p 145

    Google Scholar 

  • Ananthan G, Selva Prabhu A (2014) New lead molecules from ascidian Phallusia nigra (Savigny, 1816) for type-2 diabetes mellitus targeting aldose reductase: an in silico approach. Univ J App Sci 2:73–76

    CAS  Google Scholar 

  • Bernstein H, Bernstein C, Payne CM, Dvorak K (2009) Bile acids as endogenous etiologic agents in gastrointestinal cancer. World J Gastroenterol 15(27):3329–3340

    Article  CAS  PubMed  PubMed Central  Google Scholar 

  • Choi YH, Sertic S, Kim HK, Wilson EG, Michopoulos F, Lefeber AW, Erkelens C, Prat Kricun SD, Verpoorte R (2005) Classification of Ilex species based on metabolomic fingerprinting using nuclear magnetic resonance and multivariate data analysis. J Agric Food Chem 53(4):1237–1245

    Article  CAS  PubMed  Google Scholar 

  • Davidson BS (1993) Ascidians: producers of amino acid-derived metabolites. Chem Rev 93:1771–1791

    Article  CAS  Google Scholar 

  • Falkenstein E, Tillmann HC, Christ M, Feuring M, Wehling M (2000) Multiple actions of steroid hormones—a focus on rapid, nongenomic effects. Pharma Rev 52(4):513–556

    CAS  Google Scholar 

  • Farag MA, Porzel A, Al-Hammady MA, Hegazy MEF, Meyer A, Mohamed TA (2016) Soft corals biodiversity in the egyptian red sea: a comparative ms and nmr metabolomics approach of wild and aquarium grown species. J Proteome Res 15(4):1274–1287

    Article  CAS  PubMed  Google Scholar 

  • Fernandes D, Loi B, Porte C (2011) Biosynthesis and metabolism of steroids in molluscs. J Steroid Biochem Mol Biol 127(3):189–195

    Article  CAS  PubMed  Google Scholar 

  • Ferraldeschi R, Sharifi N, Auchus RJ, Attard G (2013) Molecular pathways: inhibiting steroid biosynthesis in prostate cancer. Clin Cancer Res 19(13):3353–3359

    Article  CAS  PubMed  PubMed Central  Google Scholar 

  • Hu XQ, Thakur K, Chen GH, Hu F, Zhang JG, Zhang HB, Wei ZJ (2017) Metabolic effect of 1-deoxynojirimycin from mulberry leaves on db/db diabetic mice using LC–MS based metabolomics. J Agric Food Chem 65(23):4658–4667

    Article  CAS  PubMed  Google Scholar 

  • Ivanchina NV, Kicha AA, Stonik VA (2011) Steroid glycosides from marine organisms. Steroids 76(5):425–454

    Article  CAS  PubMed  Google Scholar 

  • Jimenez PC, Fortier SC, Lotufo TM, Pessoa C, Moraes MEA, de Moraes MO, Costa-Lotufo LV (2003) Biological activity in extracts of ascidians (Tunicata, Ascidiacea) from the northeastern Brazilian coast. J Exp Mar Biol Ecol 287(1):93–101

    Article  Google Scholar 

  • Jimenez PC, Wilke DV, Takeara R, Lotufo TM, Pessoa C, de Moraes MO (2008) Cytotoxic activity of a dichloromethane extract and fractions obtained from Eudistoma vannamei (Tunicata: Ascidiacea). Comp Biochem Phys Part A Mol Integr Phys 151(3):391–398

    Article  Google Scholar 

  • Kanazawa A (2001) Sterols in marine invertebrates. Fish Sci 67(6):997–1007

    Article  Google Scholar 

  • Kanehisa M, Goto S, Sato Y, Kawashima M, Furumichi M, Tanabe M (2013) Data, information, knowledge and principle: back to metabolism in KEGG. Nucleic Acids Res 42(D1):D199–D205

    Article  CAS  PubMed  PubMed Central  Google Scholar 

  • Koplovitz G, McClintock JB (2011) An evaluation of chemical and physical defences against fish predation in a suite of seagrass-associated ascidians. J Exp Mar Biol Ecol 407(1):48–53

    Article  CAS  Google Scholar 

  • Meenakshi VK, Paripooranaselvi M, Sankaravadivoo S, Gomathy S, Chamundeeswari KP (2013) Immunomodulatory activity of Phallusia nigra (Savigny, 1816) against S-180. Int J Curr Microbiol Appl Sci 2(8):286–295

    Google Scholar 

  • Molinski TF, Dalisay DS, Lievens SL, Saludes JP (2009) Drug development from marine natural products. Nat Rev Drug Discov 8(1):69–85

    Article  CAS  PubMed  Google Scholar 

  • Odate JR, Pawlik JR (2007) The role of vanadium in the chemical defence of the solitary tunicate, Phallusia nigra. J Chem Ecol 2007:33(3):643–654

    Article  CAS  PubMed  Google Scholar 

  • Palanisamy SK, Rajendran NM, Marino A (2017a) Natural products diversity of marine ascidians (Tunicates; Ascidiacea) and successful drugs in clinical development. Nat Prod Bioprospect 7(1):1–111

    Article  CAS  PubMed  PubMed Central  Google Scholar 

  • Palanisamy SK, Trisciuoglio D, Zwergel C, Del Bufalo D, Mai A (2017b) Metabolite profiling of ascidian Styela plicata using LC–MS with multivariate statistical analysis and their antitumor activity. J Enzyme Inhib Med Chem 32(1):614–623

    Article  CAS  PubMed  PubMed Central  Google Scholar 

  • Párraga I, López-Torres J, Andrés F, Navarro B, del Campo JM, García-Reyes M et al (2017) Effect of plant sterols on the lipid profile of patients with hypercholesterolaemia. Randomised, experimental study. BMC Complement Altern Med 11(1):73

    Article  CAS  Google Scholar 

  • Pohnert G (2005) Diatom/copepod interactions in plankton: the indirect chemical defence of unicellular algae. Chem Biochem 6:946–959

    CAS  Google Scholar 

  • Rajesh RP, Santhana Ramasamy M, Murugan A (2010) Anticancer activity of the ascidian Polyclinum indicum against cervical cancer cells (HeLa) mediated through apoptosis induction. Med Chem 6(6):396–405

    Article  CAS  PubMed  Google Scholar 

  • Ravinder K, Vijender Reddy A, Krishnaiah P, Ramesh P, Ramakrishna S, Laatsch H (2005) Isolation and synthesis of a novel β-carboline guanidine derivative tiruchanduramine from the Indian ascidian Synoicum macroglossum. Tetra Lett 46(33):5475–5478

    Article  CAS  Google Scholar 

  • Reddy MVR, Faulkner DJ, Venkateswarlu Y, Rao MR (1997) New lamellarin alkaloids from an unidentified ascidian from the Arabian Sea. Tetrahedron 53(10):3457–3466

    Article  CAS  Google Scholar 

  • Reddy MVR, Rao MR, Rhodes D, Hansen M, Rubins K, Bushman F (1999) Lamellarin alpha-20 sulfate, an inhibitor of HIV-1 integrase active against HIV-1 virus in vivo. J Med Chem 42:1901–1907

    Article  CAS  PubMed  Google Scholar 

  • Russo GL, Ciarcia G, Presidente E, Siciliano RA, Tosti E (2008) Cytotoxic and apoptogenic activity of a methanolic extract from the marine invertebrate Ciona intestinalis on malignant cell lines. Med Chem 4:106–109

    Article  CAS  PubMed  Google Scholar 

  • Satheeshkumar P (2012) Mangrove vegetation and community structure of brachyuran crabs as ecological indicators of Pondicherry coast, South east coast of India. Iran J Fish Sci 11(1):184–203

    Google Scholar 

  • Takeara R, Jimenez PC, Wilke DV, de Moraes MO, Pessoa C, Lopes NP (2008) Antileukemic effects of Didemnum psammatodes (Tunicata: Ascidiacea) constituents. Comp Biochem Phys Part A Mol Integr Phys 151(3):363–369

    Article  Google Scholar 

  • Tamilselvi M, Akram AS, Arshan MK, Sivakumarn V (2015) Comparative study on bioremediation of heavy metals by solitary ascidian, Phallusia nigra, between Thoothukudi and Vizhinjam ports of India. Ecotoxicol Environ Saf 121:93–99

    Article  CAS  PubMed  Google Scholar 

  • Thériault C, Labrie F (1991) Multiple steroid metabolic pathways in ZR-75-1 human breast cancer cells. J Steroid Biochem Mol Biol 38(2):155–164

    Article  PubMed  Google Scholar 

  • Tianero MDB, Kwan JC, Wyche TP, Presson AP, Koch M, Barrows LR, Bugni TS, Schmidt EW (2015) Species specificity of symbiosis and secondary metabolism in ascidians. ISME J 9(3):615–628

    Article  PubMed  Google Scholar 

  • Vetter WA (2011) A GC/ECNI-MS method for the identification of lipophilic anthropogenic and natural brominated compounds in marine samples. Anal Chem 73(20):4951–4957

    Article  CAS  Google Scholar 

  • Xia J, Wishart DS (2011) Web-based inference of biological patterns, functions and pathways from metabolomic data using MetaboAnalyst. Nature Protoc 6(6):743–760

    Article  CAS  Google Scholar 

  • Xia J, Wishart DS (2016) Using MetaboAnalyst 3.0 for comprehensive metabolomics data analysis. Curr Protoc Bioinform 14:10

    Google Scholar 

Download references

Acknowledgements

Author Satheesh gratefully thanks the course Coordinator Prof. Emilio De Domenico and Prof. Salvatore Giacobbe, UNIME, for all the support and encouragement and approval for this submission. Authors thank Dr. Donatella Del Bufalo, Istituto Nationale Tumori Regina Elena, Roma, Italy, for tumor cell lines and guidance in MTT bioassay methods. Authors thank Mr. Subhash for his help in specimen collection.

Funding

Author Satheesh thanks the University of Messina for the award of Non-EU doctoral research fellowship during 2013–2015. Author Umamaheswari thanks Department of Science and Technology-SERB DST-SERB (SB/YS/LS-374/2013) for the award of Young Scientist award.

Author information

Affiliations

Authors

Contributions

SKP and UM conceived and designed the research experiments; SKP and VA collected samples, extraction, data analysis and performed bioassays; MP performed GC–MS analysis and data analysis; SKP, UM, MP analyzed the data and wrote the paper.

Corresponding author

Correspondence to Satheesh Kumar Palanisamy.

Ethics declarations

Conflict of interest

The authors declare no conflict of interest.

Electronic supplementary material

Below is the link to the electronic supplementary material.

Supplementary material 1 (DOCX 1529 KB)

Rights and permissions

Reprints and Permissions

About this article

Verify currency and authenticity via CrossMark

Cite this article

Palanisamy, S., Arumugam, V., Peter, M.D. et al. Patterns of chemical diversity in the marine ascidian Phallusia spp.: anti-tumor activity and metabolic pathway inhibiting steroid biosynthesis. 3 Biotech 8, 251 (2018). https://doi.org/10.1007/s13205-018-1273-4

Download citation

  • Received:

  • Accepted:

  • Published:

  • DOI: https://doi.org/10.1007/s13205-018-1273-4

Keywords

  • Ascidian
  • Biomolecules
  • Cancer
  • Cytotoxicity
  • GC–MS
  • Multivariate statistical analysis