Skip to main content

Optimized production and isolation of antibacterial agent from marine Aspergillus flavipes against Vibrio harveyi

Abstract

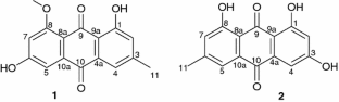
Statistical methodologies, including Plackett–Burman design and Box–Behnken design, were employed to optimize the fermentation conditions for the production of active substances against aquatic pathogen Vibrio harveyi by marine-derived Aspergillus flavipes strain HN4-13. The optimal crucial fermentation values for maximum production of active substances against V. harveyi were obtained as follows: X 1 (peptone) = 0.3%, X 2 (KCl) = 0.25%, and X 3 (inoculum size) = 4.5%. The predicted diameter of inhibitory zone against V. harveyi was 23.39 mm, and the practical value reached 23.71 ± 0.98 mm with a 62.3% increase. Bioassay-guided fractionation resulted in the acquisition of two compounds whose structures were identified as questin (1) and emodin (2). Questin exhibited the same antibacterial activity against V. harveyi as streptomycin (MIC 31.25 µg/mL). This is the first time to report questin as a potential antibacterial agent against aquatic pathogen V. harveyi.

This is a preview of subscription content, access via your institution.

Fig. 1
Fig. 2

References

  • Barakat KM, Gohar YM (2012) Antimicrobial agents produced by marine Aspergillus terreus var. africanus against some virulent fish pathogens. Indian J Microbiol 52:66–372

    Article  Google Scholar 

  • Barrow CJ, Sun HH (1994) Spiroquinazoline, a novel substance P inhibitor with a new carbon skeleton, isolated from Aspergillus flavipes. J Nat Prod 57:471–476

    CAS  Article  Google Scholar 

  • Blunt JW, Copp BR, Keyzers RA, Munro MH, Prinsep MR (2015) Marine natural products. Nat Prod Rep 32:116–211

    CAS  Article  Google Scholar 

  • Cao H, He S, Wei R, Diong M, Lu L (2011) Bacillus amyloliquefaciens G1: a potential antagonistic bacterium against eel-pathogenic Aeromonas hydrophila. Evid Based Complement Altern Med 2011:824104

    Google Scholar 

  • El-Sayed AS (2011) Purification and characterization of a new L-methioninase from solid cultures of Aspergillus flavipes. J Microbiol 49:130–140

    CAS  Article  Google Scholar 

  • Figueroa L, Jiménez C, Rodríguez J, Areche C, Chávez R, Henríquez M, de la Cruz M, Díaz C, Segade Y, Vaca I (2015) 3-Nitroasterric acid derivatives from an Antarctic sponge-derived Pseudogymnoascus sp. fungus. J Nat Prod 78:919–923

    CAS  Article  Google Scholar 

  • Gomes NG, Lefranc F, Kijjoa A, Kiss R (2015) Can some marine-derived fungal metabolites become actual anticancer agents? Mar Drugs 13:3950–3991

    CAS  Article  Google Scholar 

  • Guo L, Zhu WC, Liu WW, Ding GW, Zhang YQ, Zhang SL, Qiu Y, Xie Y (2013) Identification and fermentation optimization of marine fungus HN4-13 with antibacterial activity. Microbiol China 40:951–958

    CAS  Google Scholar 

  • Guo L, Zhu W, Xu F, Liu M, Xie Y, Zhang J (2014) Optimized ultrasonic-assisted extraction of polysaccharides from Cyclina sinensis and evaluation of antioxidant activities in vitro. CyTA J Food 12:32–39

    Article  Google Scholar 

  • Guo L, Guo J, Zhu W, Jiang X (2016a) Optimized synchronous extraction process of tea polyphenols and polysaccharides from Huaguoshan Yunwu tea and their antioxidant activities. Food Bioprod Process 100:303–310

    CAS  Article  Google Scholar 

  • Guo L, Wang C, Zhu W, Xu F (2016b) Bioassay-guided fractionation and identification of active substances from the fungus Aspergillus tubingensis against Vibrio anguillarum. Biotechnol Biotec Equip 30:602–606

    CAS  Article  Google Scholar 

  • Harikrishnan R, Balasundaram C, Heo MS (2010) Effect of probiotics enriched diet on Paralichthys olivaceus infected with lymphocystis disease virus (LCDV). Fish Shellfish Immunol 29:868–874

    Article  Google Scholar 

  • Jiang T, Li T, Li J, Fu HZ, Pei YH, Lin WH (2004) Cerebroside analogues from marine-derived fungus Aspergillus flavipes. J Asian Nat Prod Res 6:249–257

    CAS  Article  Google Scholar 

  • Kwon YJ, Sohn MJ, Kim CJ, Koshino H, Kim WG (2012) Flavimycins A and B, dimeric 1,3-dihydroisobenzofurans with peptide deformylase inhibitory activity from Aspergillus flavipes. J Nat Prod 75:271–274

    CAS  Article  Google Scholar 

  • Li X, Xu T, Ma X, Guo K, Kai L, Zhao Y, Jia X, Ma Y (2008) Optimization of culture conditions for production of cis-epoxysuccinic acid hydrolase using response surface methodology. Bioresour Technol 99:5391–5396

    CAS  Article  Google Scholar 

  • Li DL, Li XM, Wang BG (2009) Natural anthraquinone derivatives from a marine mangrove plant-derived endophytic fungus Eurotium rubrum: structural elucidation and DPPH radical scavenging activity. J Microbiol Biotechnol 19:675–680

    CAS  Google Scholar 

  • Lin T, Lu C, Shen Y (2009) Secondary metabolites of Aspergillus sp. F1, a commensal fungal strain of Trewia nudiflora. Nat Prod Res 23:77–85

    CAS  Article  Google Scholar 

  • Liu R, Zhu W, Zhang Y, Zhu T, Liu H, Fang Y, Gu Q (2006) A new diphenyl ether from marine-derived fungus Aspergillus sp. B-F-2. J Antibiot 59:362–365

    CAS  Article  Google Scholar 

  • Lv Z, Zhang Q, Chen R, Yu D (2011) Alkaloids and anthraquinones from branches and leaves of Uvaria kurzii. China J Chin Mat Med 36:1190–1192

    Google Scholar 

  • Martínez-Trujillo A, Arreguín-Rangel L, García-Rivero M, Aguilar-Osorio G (2011) Use of fruit residues for pectinase production by Aspergillus flavipes FP-500 and Aspergillus terreus FP-370. Lett Appl Microbiol 53:202–209

    Article  Google Scholar 

  • Morya VK, Choi W, Kim EK (2014) Isolation and characterization of Pseudoalteromonas sp. from fermented Korean food, as an antagonist to Vibrio harveyi. Appl Microbiol Biotechnol 198:1389–1395

    Article  Google Scholar 

  • Nagia MM, El-Metwally MM, Shaaban M (2012) Four butyrolactones and diverse bioactive secondary metabolites from terrestrial Aspergillus flavipes MM2: isolation and structure determination. Org Med Chem Lett 2:9–16

    Article  Google Scholar 

  • Ozsoy N, Berkkan H (2003) Production and characterization of alpha-galactosidase from Aspergillus flavipes. Cell Biochem Funct 21:387–389

    CAS  Article  Google Scholar 

  • Park YB, Kim SB (2011) Isolation and identification of antitumor promoters from the seeds of Cassia tora. J Microbiol Biotechnol 21:1043–1048

    CAS  Article  Google Scholar 

  • Rochfort S, Ford J, Ovenden S, Wan SS, George S, Wildman H, Tait RM, Meurer-Grimes B, Cox S, Coates J, Rhodes D (2005) A novel aspochalasin with HIV-1 integrase inhibitory activity from Aspergillus flavipes. J Antibiot 58:279–283

    CAS  Article  Google Scholar 

  • Schueffler A, Anke T (2014) Fungal natural products in research and development. Nat Prod Rep 31:1425–1448

    CAS  Article  Google Scholar 

  • Song F, Ren B, Chen C, Yu K, Liu X, Zhang Y, Yang N, He H, Liu X, Dai H, Zhang L (2014) Three new sterigmatocystin analogues from marine-derived fungus Aspergillus versicolor MF359. Appl Microbiol Biotechnol 98:3753–3758

    CAS  Article  Google Scholar 

  • Sun K, Li Y, Guo L, Wang Y, Liu P, Zhu W (2014) Indole diterpenoids and isocoumarin from the fungus, Aspergillus flavus, isolated from the prawn, Penaeusvannamei. Mar Drugs 12:3970–3981

    CAS  Article  Google Scholar 

  • Thompson J, Gregory S, Plummer S, Shields RJ, Rowley AF (2010) An in vitro and in vivo assessment of the potential of Vibrio spp. as probiotics for the Pacific white shrimp Litopenaeusvannamei. J Appl Microbiol 109:1177–1187

    CAS  Article  Google Scholar 

  • Xu HM, Rong YJ, Zhao MX, Song B, Chi ZM (2014) Antibacterial activity of the lipopetides produced by Bacillus amyloliquefaciens M1 against multidrug-resistant Vibrio spp. isolated from diseased marine animals. Appl Microbiol Biotechnol 98:127–136

    CAS  Article  Google Scholar 

  • Zhang H, Sang Q (2012) Statistical optimization of cellulases production by Penicillium chrysogenum QML-2 under solid-state fermentation and primary application to chitosan hydrolysis. World J Microbiol Biotechnol 28:1163–1174

    Article  Google Scholar 

  • Zhao C, Zhu T, Zhu W (2013) New marine natural products of microbial origin from 2010 to 2013. Chin J Org Chem 33:1195–1234

    CAS  Article  Google Scholar 

  • Zhao C, Guo L, Wang L, Zhu G, Zhu W (2016) Improving the yield of (+)-terrein from the salt-tolerant Aspergillus terreus PT06-2. World J Microbiol Biotechnol 32:77

    Article  Google Scholar 

  • Zheng J, WangY Wang J, Liu P, Li J, Zhu W (2013) Antimicrobial ergosteroids and pyrrole derivatives from halotolerant Aspergillus flocculosus PT05-1 cultured in a hypersaline medium. Extremophiles 17:963–971

    CAS  Article  Google Scholar 

Download references

Acknowledgments

This study was funded by Natural Science Foundation of Jiangsu Province (No. BK20151283), Natural Science Foundation of Lianyungang (No. CG1612), 521 Talented Project of Lianyungang, Priority Academic Program Development of Jiangsu Higher Education Institutions (No. 5511201401X) and Open-end Funds of Jiangsu Key Laboratory of Marine Pharmaceutical Compound Screening (No. 2015HYB10).

Author information

Affiliations

Authors

Corresponding author

Correspondence to Lei Guo.

Ethics declarations

Conflict of interest

The authors declare that they have no conflict of interest.

Electronic supplementary material

Below is the link to the electronic supplementary material.

Supplementary material 1 (DOC 670 kb)

Rights and permissions

Reprints and Permissions

About this article

Verify currency and authenticity via CrossMark

Cite this article

Guo, L., Wang, C. Optimized production and isolation of antibacterial agent from marine Aspergillus flavipes against Vibrio harveyi . 3 Biotech 7, 383 (2017). https://doi.org/10.1007/s13205-017-1015-z

Download citation

  • Received:

  • Accepted:

  • Published:

  • DOI: https://doi.org/10.1007/s13205-017-1015-z

Keywords

  • Aspergillus flavipes
  • Vibrio harveyi
  • Fermentation optimization
  • Response surface methodology
  • Bioassay-guided fractionation
  • Questin