Skip to main content

Biodegradation of thermally treated high-density polyethylene (HDPE) by Klebsiella pneumoniae CH001

Abstract

Biodegradation of plastics, which are the potential source of environmental pollution, has received a great deal of attention in the recent years. We aim to screen, identify, and characterize a bacterial strain capable of degrading high-density polyethylene (HDPE). In the present study, we studied HDPE biodegradation using a laboratory isolate, which was identified as Klebsiella pneumoniae CH001 (Accession No MF399051). The HDPE film was characterized by Universal Tensile Machine (UTM), Fourier Transform Infrared Spectroscopy (FTIR), Scanning Electron Microscope (SEM), and Atomic Force Microscope (AFM) before and after microbial incubation. We observed that this strain was capable of adhering strongly on HDPE surface and form a thick biofilm, when incubated in nutrient broth at 30 °C on 120 rpm for 60 days. UTM analysis showed a significant decrease in weight (18.4%) and reduction in tensile strength (60%) of HDPE film. Furthermore, SEM analysis showed the cracks on the HDPE surface, whereas AFM results showed an increase in surface roughness after bacterial incubation. Overall, these results indicate that K. pneumoniae CH001 can be used as potential candidate for HDPE degradation in eco-friendly and sustainable manner in the environment.

This is a preview of subscription content, access via your institution.

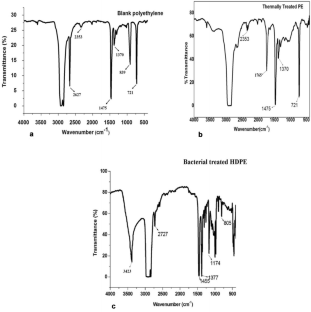
Fig. 1
Fig. 2
Fig. 3
Fig. 4
Fig. 5
Fig. 6
Fig. 7

References

  • Albertsson AC, Barenstedt Karlsson CS, Lindberg T (1995) Degradation product pattern and morphology changes as means to differentiate abiotically and biotically aged degradable polyethylene. Polymer 36(16):3075–3083

    CAS  Article  Google Scholar 

  • Albertsson AC, Erlandsson B, Hakkareinen M, Karlsson S (1998) Molecular weight changes and polymeric matrix changes correlated with the formation of degradation products in biodegraded polyethylene. J Environ Polym Degr 6:187–195

    CAS  Article  Google Scholar 

  • Anbuselvi S, Pandey V (2015) A comparative study of LDPE degradating bacteria from polythene dumped garbage, Int J Pharm Technol, ISSN: 0975-766X

  • Arutchelvi J, Sudhakar M, Arkatkar A, Doble M, Bhaduri S, Uppara VP (2008) Biodegrdation of polyethylene and polypropylene. Ind J Biotechnol 7:9–22

    CAS  Google Scholar 

  • Awasthi S, Srivastava N, Singh T, Tiwary D, Mishra PK (2017) Biodegradation of thermally treated low density polyethylene by fungus Rhizopus oryzae NS 5. 3 Biotech 7:73. doi:10.1007/s13205-017-0699-4

    Article  Google Scholar 

  • Balasubramanian V, Natarajan K, Hemambika B, Ramesh N, Sumathi CS, Kottaimuthu R, Rajesh Kannan V (2010) High-density polyethylene (HDPE)-degrading potential bacteria from marine ecosystem of Gulf of Mannar, India. Lett Appl Microbiol. doi:10.1111/j.1472-765X.2010.02883.x

    Google Scholar 

  • Begum MA, Varalakshmi B, Umamagheswari K (2015) Biodegradation of Polythene Bag using Bacteria Isolated from Soil. Int J Curr Microbiol App Sci 4(11):674–680

    Google Scholar 

  • Bhardwaj H, Gupta R, Tiwari A (2012) Communities of microbial enzymes associated with biodegradation of plastics. J Polym Environ. doi:10.1007/s10924-012-0456-z

    Google Scholar 

  • Bhatia M, Girdhar A, Chandrakar B, Tiwari A (2013) Implicating nanoparticles as potential biodegradation enhancers: a review. J Nanomed Nanotechol 4(175):2

    Google Scholar 

  • Bhatia M, Girdhar A, Tiwari A, Nayarisseri A (2014) Implications of a novel pseudomonas species on low density polyethylene biodegradation: an in vitro to in silico approach. Springer Plus 3:497

    Article  Google Scholar 

  • Brown BS, Mills J, Hulse JM (1974) Chemical and biological degradation of plastics. Nature 250:161–163

    CAS  Article  Google Scholar 

  • Brynhildsen L, Rosswall T (1989) Effects of cadmium, copper, magnesium, and zinc on the decomposition of citrate by a Klebsiella sp. Appl Environ Microbiol 55(6):1375–1379

    CAS  Google Scholar 

  • Caruso G (2015) Plastic degrading microorganisms as a tool for bioremediation of plastic contamination in aquatic environments. J Pollut Eff Cont 3:112

    Google Scholar 

  • Cornell JH, Kaplan AM, Rogers MR (1984) Biodegradation of photooxidized polyalkylenes. J Appl Polym Sci 29:2581–2597

    CAS  Article  Google Scholar 

  • Das PM, Kumar S (2015) An approach to low-density polyethylene biodegradation by Bacillus amyloliquefaciens. 3 Biotech 5(1):81–86. doi:10.1007/s13205-014-0205-1

    Article  Google Scholar 

  • Dhanve RS, Shedbalkar UU, Jadhav JP (2008) Biodegradation of diazo reactive dye navy blue HE2R (Reactive Blue 172) by an isolated Exiguobacterium sp. RD3. Biotechnol Bioproc E 13:53–60. doi:10.1007/s12257-007-0165-y

    CAS  Article  Google Scholar 

  • Dolezel B (1967) Corrosion of plastic materials and rubbers. Br J Plast Surg 49:105–113

    Google Scholar 

  • Gajendiran A, Krishnamoorthy S, Abraham J (2016) Microbial degradation of low-density polyethylene (LDPE) by Aspergillus clavatus strain JASK1 isolated from landfill soil. 3 Biotech 6:52

    Article  Google Scholar 

  • Gilan I, Hadar Y, Sivan A (2004) Colonization, biofilm formation and biodegradation of polyethylene by a strain of Rhodococcus ruber. Appl Microbiol Biotechnol 65:97–104

    CAS  Google Scholar 

  • Gu J-D (2003) Microbiological deterioration and degradation of synthetic polymeric materials: recent research advances. Int Biodeterior Biodegrad 52(2):69–91. doi:10.1016/S0964-8305(02)00177-4

    CAS  Article  Google Scholar 

  • Gu JD, Ford TE, Mitton DB, Mitchell R (2000) Microbial corrosion of metals. The Uhlig corrosion handbook, 2nd edn. Wiley, New York

    Google Scholar 

  • Hadad D, Geresh S, Sivan A (2005) Biodegradation of polyethylene by the thermophilic bacterium Brevibacillus borstelensis. J Appl Microbiol 98(5):1093–1100

    CAS  Article  Google Scholar 

  • Hanaa A, El-Shafei Nadia H, El-Nasser A, Kansoh AL, Ali AM (1998) Biodegradation of disposable polyethylene by fungi and Streptomyces species. Polym Degrad Stab 62:361–365

    Article  Google Scholar 

  • Iniguez, L Dong Y, and Triplett EW. (2004) Phytopathological society nitrogen fixation in wheat provided by klebsiella pneumoniae 342. Mol Plant-Microb Interact 17(10), 1078–1085. Publication No. M-2004-0726-01R

  • Jakubowicz I, Yarahmadi N, Petersen H (2006) Evaluation of the rate of abiotic degradation of biodegradable polyethylene in various environments. Polym Degrad Stab 91:1556–1562

    CAS  Article  Google Scholar 

  • Karlsson S, Albertsson A (1998) Biodegradable polymers and environmental interaction. Polym Eng Sci 38(8):1251–1253

    CAS  Article  Google Scholar 

  • Khabbaz F, Albertsson AC, Karlsson S (1998) Trapping of volatile low molecular weight photoproducts in inert and enhanced degradable LDPE. Polym Degrad Stab 61(2):329–342

    CAS  Article  Google Scholar 

  • Khabbaz F, Albertsson AC, Karlsson S (1999) Chemical and morphological changes of environmentally degradable polyethylene films exposed to thermo-oxidation. Polym Degrad Stab 63(1):127–138

    CAS  Article  Google Scholar 

  • Konduri MKR, Anupam KS, Vivek JS, Kumar RDB, Narasu ML (2010) Synergistic effect of chemical and photo treatment on the rate of biodegradation of high density polyethylene by indigenous fungal isolates. Int J Biotechnol Biochem 6:157–174

    Google Scholar 

  • Kounty M, Lemaire J, Delort AM (2006) Biodegradation of polyethylene films with pro-oxidant additives. Chemosphere 64:1243–1252

    Article  Google Scholar 

  • Lee B, Pometto AL, Fratzke A, Bailey TB (1991) Biodegradation of degradable plastic polyethylene by phanerochaete and streptomyces species. Appl Environ Microbiol 57:678–685

    CAS  Google Scholar 

  • Liu F, Fang B (2006) Optimization of bio-hydrogen production from biodiesel waste. Biotechnol J. doi:10.1002/biot.200600102

    Google Scholar 

  • Maal KB, Delfan AS, Salmanizadeh S (2014) Isolation identification of Klebsiella pneumonia and Klebsiella oxytoca bacteriophages and their applications in waste water treatment and coliform’s phage therapy. Res J Environ Sci 8(3):123–133. doi:10.3923/rjes.2014.123.133. ISSN 1819-3412/

  • Mahalakshmi V, Siddiq AS, Andrew N (2012) Analysis of polyethylene degrading potentials of microorganisms isolated from compost soil. Int J Pharm Biol Arch 3(5):1190–1196

    Google Scholar 

  • Muller RJ, Kleeberg I, Deckwer WD (2001) Biodegradation of polyesters containing aromatic constituents. J Biotechnol 86:87–95

    CAS  Article  Google Scholar 

  • Nowak B, Pajak J, Drozd-Bratkowicz M, Rymarz G (2011) Microorganisms participating in the biodegradation of modified polyethylene films in different soils under laboratory conditions. Int Biodeterior Biodegrad 65(6):757–767

    CAS  Article  Google Scholar 

  • Orhan Y, Büyükgüngör H (2000) Enhancement of biodegradability of disposable polyethylene in controlled biological soil. Int Biodeterior Biodegrad 45:49–55

    CAS  Article  Google Scholar 

  • Otake Y, Kobayashi T, Ashabe H, Murakami N, Ono K (1995) Biodegradation of low-density polyethylene, polystyrene, polyvinyl chloride, and urea formaldehyde resin buried under soil for over 32 years. J Appl Polym Sci. doi:10.1002/app.1995.070561309

    Google Scholar 

  • Peil GHS, Kuss AV, Rave AFG, Villarreal JPV, Hernandes YML, Nascente PS (2016) Bioprospecting of lipolytic microorganisms obtained from industrial effluents. Ann Braz Acad Sci ISSN 1678-2690. doi: 10.1590/0001-3765201620150550

  • Pramila R, Ramesh KV (2015) Potential biodegradation of low density polyethylene (LDPE) by Acinetobacter baumannii. Afr J Bacteriol Res 7(3):24–28

    CAS  Google Scholar 

  • Priyanka N, Archana T (2011) Biodegradation of polythene and plastic by the help of microorganisms: a way for brighter future. J Environ Anal Toxicol 1:111. doi:10.4172/2161-0525.1000111

    Article  Google Scholar 

  • Reich L, Stivala SS (1971) Elements of polymer degradation. McGraw Hill, New York, p 71

    Google Scholar 

  • Restrepo-Florez JM, Bassi A, Thompson MR (2014) Microbial degradation and deterioration of polyethylene—a review. Int Biodeterior Biodegrad 80:83–90. doi:10.1016/j.ibiod.2013.12.014

    Article  Google Scholar 

  • Rivard C, Moens L, Roberts K, Brigham J, Kelley S (1995) Starch esters as biodegradable plastics: effect of ester group chain length and degree of substitution on anaerobic biodegradation. Enzym Microb Technol 17:848–852

    CAS  Article  Google Scholar 

  • Roy PK, Surekha P, Tulsi E, Deshmukh C, Rajagopal C (2008) Degradation of abiotically aged LDPE films containing pro-oxidant by bacterial consortium. Polym Degrad Stab 93:1917–1922

    CAS  Article  Google Scholar 

  • Sangale MK, Shahnawaz M, Ade AB (2012) A Review on biodegradation of polythene: the microbial approach. J Bioremed Biodeg 3:164. doi:10.4172/2155-6199.1000164

    Article  Google Scholar 

  • Satlewal A, Soni R, Zaidi M, Shouche Y, Goel R (2008) Comparative biodegradation of HDPE and LDPE using an indigenously developed microbial consortium. J Microbiol Biotechnol 18(3):477–482

    CAS  Google Scholar 

  • Sekhar VC, Nampoothiri KM, Mohan AJ, Nair NR, Bhaskar T, Pandey A (2016) Microbial degradation of high impact polystyrene (HIPS), an e-plastic with decabromodiphenyl oxide and antimony trioxide. J Hazard Mater 318:347–354

    CAS  Article  Google Scholar 

  • Skariyachan S, Megha M, Kini MN, Mukund KM, Rizvi A, Vasist K (2015) Selection and screening of microbial consortia for efficient and ecofriendly degradation of plastic garbage collected from urban and rural areas of Bangalore. India Environ Monit Assess 187(1):1–14

    Google Scholar 

  • Skariyachan S, Setlur AS, Naik SY, Naik AA, Usharani M, Vasist KS (2017) Enhanced biodegradation of low and high-density polyethylene by novel bacterial consortia formulated from plastic-contaminated cow dung under thermophilic conditions. Environ Sci Pollut Res Int 24(9):8443–8457. doi:10.1007/s11356-017-8537-0

    CAS  Article  Google Scholar 

  • Starnecker A, Menner M (1996) Assessment of biodegradability of plastics under stimulated composting conditions in a laboratory test system. Int Biodeterior Biodegrad 37:85–92

    Article  Google Scholar 

  • Sudhakar M, Doble M, Sriyutha Murthy P, Venkatesan R (2008) Marine microbe-mediated biodegradation of low- and high-density polyethylene. Int Biodeterior Biodegrad 61:203–213

    CAS  Article  Google Scholar 

  • Suresh B et al (2011) Influence of thermal oxidation on surface and thermo-mechanical properties of polyethylene. J Polym Res 18(6):2175–2184

    CAS  Article  Google Scholar 

  • Tribedi P, Sil AK (2013) Low-density polyethylene degradation by pseudomonas sp. AKS2 biofilm. Environ Sci Pollut Res Int 20(6):4146–4153. doi:10.1007/s11356-012-1378-y

    CAS  Article  Google Scholar 

  • Usha R, Sangeetha T, Palaniswamy M (2011) Screening of polyethylene degrading microorganisms from garbage soil. Libyan Agric Res Cen J Int 2(4):200–204

    Google Scholar 

  • Weiland M, Daro A, David C (1995) Biodegradation of thermally oxidized polyethylene. Polym Degrad Stab 48:275–289

    CAS  Article  Google Scholar 

  • Witt U, Einig T, Yamamoto M, Kleeberg I, Deckwer WD, Müller RJ (2001) Biodegradation of aliphatic-aromatic copolyesters: evaluation of the final biodegradability and ecotoxicological impact of degradation intermediates. Chemosphere 44:289–299

    CAS  Article  Google Scholar 

Download references

Acknowledgements

Shraddha Awasthi gratefully acknowledges the Ministry of Human Resource Development (MHRD) through Department of Chemistry, Indian Institute of Technology (Banaras Hindu University), Varanasi, India for financial support.

Funding

The funding agency has been duly acknowledged.

Author information

Affiliations

Authors

Corresponding author

Correspondence to Shraddha Awasthi.

Ethics declarations

Conflict of interest

There are no conflicts of interest between authors.

Ethical approval

There is no environment of human cell or animal cell in this work.

Rights and permissions

Reprints and Permissions

About this article

Verify currency and authenticity via CrossMark

Cite this article

Awasthi, S., Srivastava, P., Singh, P. et al. Biodegradation of thermally treated high-density polyethylene (HDPE) by Klebsiella pneumoniae CH001. 3 Biotech 7, 332 (2017). https://doi.org/10.1007/s13205-017-0959-3

Download citation

  • Received:

  • Accepted:

  • Published:

  • DOI: https://doi.org/10.1007/s13205-017-0959-3

Keywords

  • Plastic
  • High-density polyethylene
  • Eco-friendly
  • Sustainable
  • Biodegradation
  • Klebsiella Pneumoniae