Skip to main content

Voltage- and temperature-controllable quantum-data processing across three-terminal superconducting nanodevices

Abstract

Quantum entanglement is among the main fundamental resources for quantum information processing tasks like quantum communication, quantum computation, etc. The states with such kind of a nonlocal correlation can easily be obtained from a single-mode wave packet using a passive linear beam splitter. Taking into account scalable arguments and thus the need to implement quantum technologies in a solid-state platform, we study transmission of quantum data encoded in quasiparticles charges across a nanoscale three-arm beam splitter made by different BCS superconducting wires with a node size less than the smallest coherence length. It is calculated as to how a quasiparticle wave packet injected into one of the device leads is divided between two others. We show that an appropriate choice of the incoming wave packet permits to control the ratio of the two outgoing charges by comparatively small voltages of the order of the superconducting energy gap. The response of the device is analyzed as a function of the applied voltage biases and an asymmetry parameter, the ratio of the energy gaps in the two outward leads. We discuss two possible ways of the coherent wave-packet injection, specific pulses of voltages at ultra-low temperatures and those of current biases at temperatures comparable with the critical temperature of a superconducting emitter. Finally, we argue that voltages applied to outward leads as well as the temperature of an inward lead can serve as a control parameter for the charges delivered within a quantum network.

This is a preview of subscription content, access via your institution.

Fig. 1
Fig. 2
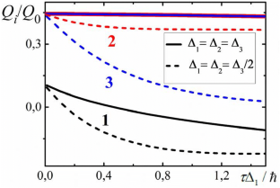
Fig. 3
Fig. 4
Fig. 5

References

  • Averin D, Bardas A (1995) ac Josephson effect in a single quantum channel. Phys Rev Lett 75:1831–1834

    CAS  Article  Google Scholar 

  • Bauerle C, Glattli DC, Meunier T, Portier F, Roche P, Roulleau P, Takada S, Waintal X (2018) Coherent control of single electrons: a review of current progress. Rep Prog Phys 81:056503-1–056503-33

    Article  Google Scholar 

  • Beenakker CWJ (2000) Why does a metal-superconductor junction have a resistance? In: Kulik IO, Ellialtiogammalu R (eds) Quantum mesoscopic phenomena and mesoscopic devices in microelectronics. Springer, Dordrecht, pp 51–60

    Chapter  Google Scholar 

  • Belogolovskii M (2003) Phase-breaking effects in superconducting heterostructures. Phys Rev B 67:100503-1–100503-4

    Article  Google Scholar 

  • Belogolovskii M (2015) Proximity effect. In: Seidel P (ed) Applied superconductivity. Handbook on devices and applications, vol 1. Wiley, Weinheim, pp 49–65

    Google Scholar 

  • Belogolovskii M, Grajcar M, Kúš P, Plecenik A, Beňačka Š, Seidel P (1999) Phase-coherent charge transport in superconducting heterocontacts. Phys Rev B 59:9617–9626

    CAS  Article  Google Scholar 

  • Blonder GE, Tinkham M, Klapwijk TM (1982) Transition from metallic to tunneling regimes in superconducting microconstrictions: Excess current, charge imbalance, and supercurrent conversion. Phys Rev B 25:4515–4532

    CAS  Article  Google Scholar 

  • Büttiker M (1992) Scattering theory of current and intensity noise correlations in conductors and wave guides. Phys Rev B 46:12485–12507

    Article  Google Scholar 

  • Büttiker M, Imry Y, Azbel MYa (1984) Quantum oscillations in one-dimensional normal-metal rings. Phys Rev A 30:1982–1989

    Article  Google Scholar 

  • Chen W, Shen R, Sheng L, Wang BG, Xing DY (2012) Electron entanglement detected by quantum spin Hall systems. Phys Rev Lett 109:036802-1–036802-5

    Google Scholar 

  • Cohen Y, Ronen Y, Kang J-H, Heiblum M, Feinberg D, Mélin R, Shtrikman H (2018) Nonlocal supercurrent of quartets in a three-terminal Josephson junction. PNAS 115:6991–6994

    CAS  Article  Google Scholar 

  • Courtois H, Gandit P, Pannetier B (1999) Long-range coherence and mesoscopic transport in N-S metallic structures. Superlattices Microstruct 25:721–732

    CAS  Article  Google Scholar 

  • Datseris G, Geisel T, Fleischmann R (2019) Robustness of ballistic transport in antidot superlattices. New J Phys 21:043051-1–043051-9

    Article  Google Scholar 

  • Dehmamy N, Milanlouei S, Barabás A-L (2018) A structural transition in physical networks. Nature 563:676–680

    CAS  Article  Google Scholar 

  • Dubois J, Jullien T, Portier F, Roche P, Cavanna A, Jin Y, Wegscheider W, Roulleau P, Glattli DC (2013) Minimal-excitation states for electron quantum optics using levitons. Nature 502:659–663

    CAS  Article  Google Scholar 

  • Fève G, Mahé A, Berroir J-M, Kontos T, Plaçais B, Glatti DC, Cavanna A, Etienne B, Jin Y (2007) An on-demand coherent single-electron source. Science 316:1169–1172

    Article  Google Scholar 

  • Fornieri A, Giazotto F (2017) Towards phase-coherent caloritronics in superconducting circuits. Nat Nanotech 12:944–952

    CAS  Article  Google Scholar 

  • Glaser SJ, Boscain U, Calarco T, Koch CP, Köckenberger W, Kosloff R, Kuprov I, Luy B, Schirmer S, Schulte-Herbrüggen T, Sugny D, Wilhelm FK (2015) Training Schrödinger’s cat: quantum optimal control. Eur Phys J D 69:279-1–279-24

    Article  Google Scholar 

  • Holevo AS, Giovannetti V (2012) Quantum channels and their entropic characteristics. Rep Prog Phys 75:046001-1–046001-30

    Article  Google Scholar 

  • Ionicioiu R, Amaratunga G, Udrea F (2001) Quantum computation with ballistic electrons. Int J Mod Phys B 15:125–133

    Google Scholar 

  • Itoh T (1995) Scattering matrix of a three-terminal junction in one dimension. Phys Rev B 52:1508–1511

    CAS  Article  Google Scholar 

  • Jullien T, Roulleau P, Roche B, Cavanna A, Jin Y, Glattli DC (2014) Quantum tomography of an electron. Nature 514:603–607

    CAS  Article  Google Scholar 

  • Keeling J, Klich I, Levitov LS (2006) Minimal excitation states of electrons in one-dimensional wires. Phys Rev Lett 97:116403-1–116403-4

    Article  Google Scholar 

  • Landauer R (1961) Irreversibility and heat generation in the computational process. IBM J Res Dev 5:261–269

    Article  Google Scholar 

  • Moors K, Schüffelgen P, Rosenbach D, Schmitt T, Schäpers T, Schmidt TL (2018) Magnetotransport signatures of three-dimensional topological insulator nanostructures. Phys Rev B 97:245429-1–245429-10

    Article  Google Scholar 

  • Nowak MP, Wimmer M, Akhmerov AR (2019) Supercurrent carried by nonequlibrium quasiparticles in a multiterminal Josephson junction. Phys Rev B 99:075416-1–075416-9

    Article  Google Scholar 

  • Paolucci F, Marchegiani G, Strambini E, Giazotto F (2018) Phase-tunable thermal logic: computation with heat. Phys Rev Appl 10:024003-1–024003-10

    Article  Google Scholar 

  • Pfeffer AH, Duvauchelle JE, Courtois H, Mélin R, Feinberg D, Lefloch F (2014) Subgap structure in the conductance of a three-terminal Josephson junction. Phys Rev B 90:075401-1–075401-8

    Article  Google Scholar 

  • Wengerowsky S, Koduru Joshi SK, Steinlechner F, Hübel H, Ursin R (2018) An entanglement-based wavelength-multiplexed quantum communication network. Nature 564:225–228

    CAS  Article  Google Scholar 

  • Xia J-B (1992) Quantum waveguide theory for mesoscopic structures. Phys Rev B 45:3593–3599

    CAS  Article  Google Scholar 

  • Zhitlukhina E, Belogolovskii M, De Leo N, Fretto M, Sosso A, Seidel P (2017) Quantum coherent transport in a three-arm beam splitter and a Braess paradox. Int J Quantum Inf 15:1740011-1–1740011-10

    Article  Google Scholar 

  • Zhitlukhina E, Belogolovskii M, Seidel P (2018) Engineering and tunable propagation of wave packets in superconducting quantum networks. IEEE Trans Appl Supercond 28:1700205-1–1700205-5

    Article  Google Scholar 

Download references

Acknowledgements

M. Belogolovskii is deeply grateful to the German Academic Exchange Service (DAAD) for the support of his stay at the Friedrich-Schiller University Jena. The work has been partly supported by the joint German-Ukrainian project “Controllable quantum-information transfer in superconducting networks” (DFG Project Number SE 664/21) and by the Fundamental Research Programme funded by the MES of Ukraine (Project No. 0117U002360).

Author information

Affiliations

Authors

Corresponding author

Correspondence to Mikhail Belogolovskii.

Additional information

Publisher's Note

Springer Nature remains neutral with regard to jurisdictional claims in published maps and institutional affiliations.

Rights and permissions

Reprints and Permissions

About this article

Verify currency and authenticity via CrossMark

Cite this article

Belogolovskii, M., Zhitlukhina, E. & Seidel, P. Voltage- and temperature-controllable quantum-data processing across three-terminal superconducting nanodevices. Appl Nanosci 10, 2781–2789 (2020). https://doi.org/10.1007/s13204-019-01117-y

Download citation

  • Received:

  • Accepted:

  • Published:

  • Issue Date:

  • DOI: https://doi.org/10.1007/s13204-019-01117-y

Keywords

  • Superconducting nanoscale beam-splitter
  • Quantum charge transport
  • Wave packets
  • Voltage and temperature control