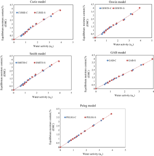
Abstract
Green leafy vegetables are important part of our regular diet that provides us with essential nutrients necessary to support human life and health. Since these are produced in surplus and have limited shelf-life, preservation of vegetables can help to prevent wastage and increase nutrient availability in the diet during off-season. Purslane leaves, rich in micronutrients were dried using tray dryer at 60 ± 2 °C for 7 h. and incorporated at 20% level in khakhra. Organoleptic and physico-chemical properties of the product were evaluated. Further, the sorption properties of khakhra, were studied at 27 ± 2 °C over a range of water activity of 0.10–0.92. Several models were chosen to fit sorption behavior, but the Peleg model showed the best fit. The present study in fact provides a platform to understand the rationalities behind the physico-chemical changes in the product, which, in turn, helps in predicting the best suitable packaging material for storage in addition to the stability of the product.



Similar content being viewed by others
Explore related subjects
Discover the latest articles and news from researchers in related subjects, suggested using machine learning.References
AOAC (1990) Official methods of analysis, 15th edn. Association of Official Analytical Chemists, Washington, pp 429–434
Brennan JG (1989) Dehydration of foodstuffs. In: Hardman TM (ed) Water food quality. Elsevier Applied Science, London
Caurie MJ (1970) A new model equation for predicting safe storage moisture levels for optimum stability of dehydrated foods. Int J Food Technol 5:301–307. https://doi.org/10.1111/j.1365-2621.1970.tb01571.x
Chauhan GS, Bains GS (1988) Effect of some extruder variables on physicochemical properties of extruded rice—legume blends. Food Chem 27:213–224. https://doi.org/10.1016/0308-8146(88)90064-7
Chirife J, Iglesias HA (1978) Equations for fitting water sorption isotherms of foods: part 1—a review. J Food Technol 13:159–174. https://doi.org/10.1111/j.1365-2621.1978.tb00792.x
Debnath S, Bhat KK, Rastogi NK (2003) Effect of pre-drying on kinetics of moisture loss and oil uptake during deep fat frying of chickpea flour-based snack food. Lebenson Wiss Technol 36:91–98. https://doi.org/10.1016/S0023-6438(02)00186-X
El-Saies I, Salah K, El-Samahy, Shatta AA, El-Sayed A, El-Hady A (2011) Studies on the production of some improved baby foods. Am J Clin Nutr 7:S1660–S1664
Jain SK, Verma RC, Sharma GP, Jain HK (2010) Studies on moisture sorption isotherms for osmotically dehydrated papaya cubes and verification of selected models. J Food Sci Technol 47(3):343–346. https://doi.org/10.1007/s13197-010-0056-7
Jena S, Das H (2012) Moisture sorption studies on vacuum dried coconut presscake. J Food Sci Technol 49(5):638–642. https://doi.org/10.1007/s13197-011-0306-3
Kotilainen L, Rajalahti R, Ragasa C, Pehu, E (2006) Health enhancing foods: Opportunities for strengthening the sector in developing countries. Agriculture and Rural Development Discussion Paper 30
Kumar MM, Faiza S, Debnath S (2017) Status of the bioactive phytoceuticals during deep-fat frying of snack food using nutra-coconut oil. J Food Sci Technol 54(11):3689–3698. https://doi.org/10.1007/s13197-017-2833-z
Kumar MM, Prasad K, Chandra TS, Debnath S (2018) Evaluation of physical properties and hydration kinetics of red lentil (Lens culinaris) at different processed levels and soaking temperatures. J Saudi Soc Agric Sci 17(3):330–338. https://doi.org/10.1016/j.jssas.2016.07.004
Kumari S, Grewal RB (2007) Nutritional evaluation and utilization of carrot pomace powder for preparation of high fibre biscuits. J Food Sci Technol 44:56–58
Labuza TP, Kaanane A, Chen JY (1985) Effect of temperature on the moisture sorption isotherms and water activity shift of two dehydrated foods. J Food Sci 50:385–391. https://doi.org/10.1111/j.1365-2621.1985.tb13409.x
Maroulis ZB, Tsami E, Marinos-Kouris D, Saravacos GD (1988) Application of the GAB model to the moisture sorption isotherms for dried fruits. J Food Eng 7(1):63–78. https://doi.org/10.1016/0260-8774(88)90069-6
McDonald DD, Nicholson NR (2006) Dietary supplement information and intention to continue and recommend supplements. Int J Nurs Stud 43:51–57. https://doi.org/10.1016/j.ijnurstu.2005.01.008
McMinn WAM, McKee DJ, Magee TRA (2007) Moisture adsorption behaviour of oatmeal biscuit and oat flakes. J Food Eng 79:481–493. https://doi.org/10.1016/j.jfoodeng.2006.02.009
Meligarrd M, Civille GV, Carr BT (1999) Sensory evaluation techniques, 3rd edn. CRC Press LLC, Boca Raton
Menrad K (2003) Market and marketing of functional food in Europe. J Food Eng 56:181–188. https://doi.org/10.1016/S0260-8774(02)00247-9
Mollet B, Rowland I (2002) Functional foods: at the frontier between food and pharma. Curr Opin Biotechnol 13(5):483–485. https://doi.org/10.1016/s0958-1669(02)00375-0
Oxford University Press (2016) Department of the University of Oxford, Ministry of Agriculture & Farmers Welfare, Government of India. ISBN-13: 978-0-19-946672-6
Palaniswamy UR, McAvoy RJ, Bible BB (2001) Stage of harvest and polyunsaturated essential fatty acid concentrations in purslane (Portulaca oleraceae) leaves. J Agric Food Chem 49(7):3490–3493. https://doi.org/10.1021/jf0102113
Pathania S, Kaur A, Sachdev PA (2017) Chickpea flour supplemented high protein composite formulation for flatbreads: effect of packaging materials and storage temperature on the ready mix. Food Packag Shelf Life 11:125–132. https://doi.org/10.1016/j.fpsl.2017.01.006
Rakshit M, Moktan B, Hossain SA (2014) Moisture sorption characteristics of wadi, a legume-based traditional condiment. J Food Eng 51(2):301–307. https://doi.org/10.1007/s13197-011-0491-0
Ranganna S (1997) Handbook of Analysis and Quality Control of Fruit and Vegetable Products, 2nd Ed., Tata McGraw Hill Publications. Co, New Delhi, India
Roberfroid MB (2000a) Concepts and strategy of functional food science: the European perspective. Am J Clin Nutr 71:S1660–S1664. https://doi.org/10.1093/ajcn/71.6.1660S
Roberfroid MB (2000b) An European consensus of scientific concepts of functional foods. Nutrition 16:689–691
Roberfroid MB (2002) Global view on functional foods: European perspectives. Br J Nutr 88:S133–S138. https://doi.org/10.1079/bjn2002677
Shanker N, Debnath S (2015) Impact of dehydration of purslane on retention of bioactive molecules and antioxidant activity. J Food Sci Technol 52(10):6631–6638. https://doi.org/10.1007/s13197-015-1741-3
Sharma P, Singh RRB, Singh AK, Patel AA, Patil GR (2009) Sorption isotherms and thermodynamics of water sorption of ready-to-use Basundi mix. LWT Food Sci Technol 42:441–445. https://doi.org/10.1016/j.lwt.2008.04.010
USDA (2010) Agricultural Research Service, Dietary Guidelines Advisory Committee Report of the Dietary Guidelines Advisory Committee on the Dietary Guidelines for Americans, to the Secretary of Agriculture and the Secretary of Health and Human Services Washington, DC
Young Y (2000) Functional foods and the European consumer. In: Buttriss J, Saltmarsh M (eds) Functional foods. II. Claims and evidence. The Royal Society of Chemistry, London
Acknowledgements
The authors thank the Director, CSIR-CFTRI, Mysore, for providing the infrastructure, constant support and encouragement. The authors also show gratitude to the Head, Department of Technology-Scale-up, CSIR-CFTRI, Mysore, for his help and support. The first author acknowledges the U.G.C. (RF-0472) for providing the financial assistance to carry out the present investigation.
Author information
Authors and Affiliations
Corresponding author
Additional information
Publisher's Note
Springer Nature remains neutral with regard to jurisdictional claims in published maps and institutional affiliations.
Rights and permissions
About this article
Cite this article
Shanker, N., Maneesh Kumar, M., Juvvi, P. et al. Moisture sorption characteristics of ready-to-eat snack food enriched with purslane leaves. J Food Sci Technol 56, 1918–1926 (2019). https://doi.org/10.1007/s13197-019-03657-1
Revised:
Accepted:
Published:
Issue Date:
DOI: https://doi.org/10.1007/s13197-019-03657-1

