Abstract
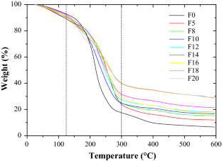
This study considered the effect of the nopal mucilage (NM) fraction on the physical, barrier and mechanical properties of citric pectin-based (CP) films. Pectin aqueous dispersion 75 mL (2.0 g/100 g water) were mixed with 5 mL of glycerol and 20 mL of NM aqueous dispersions at different concentrations; namely, 5, 10, 12, 14 16, 18 and 20 g/100 g water. Films containing the highest NM content (20 g/100 g water) exhibited improved thermal stability. The addition of NM at relatively low concentration (0–10 g/100 g water) led to important modifications of mechanical properties, including elongation to break, tensile strength, and elasticity. Microstructural analysis showed that films containing between 14 and 20 g/100 g water of NM presented rough and fractured surfaces. As mucilage concentration in films was increased, the vapor water permeability decreased as result of better internal cohesiveness of components. The modification of the physical properties in CP films resulted from molecular and physical interaction of its components. In general, the combination of NM and CP for forming edible films led to enhanced thermal stability and higher water vapor permeability, which are prescribed properties for applications as food packaging.




Similar content being viewed by others
Explore related subjects
Discover the latest articles and news from researchers in related subjects, suggested using machine learning.References
Archana G, Sabina K, Babuskin S, Radhakrishnan K, Fayidh MA, Babu PAS, Sivarajanb M, Sukumar M (2013) Preparation and characterization of mucilage polysaccharide for biomedical applications. Carbohydr Polym 98(1):89–94
ASTM E96-00 (1996) Standard test methods for water vapor transmission of materials. In: Annual book of ASTM. Philadelphia
ASTM D638-03 (2008) Standard test method for tensile properties of plastics. In: Annual book of ASTM. Philadelphia
Bakshi MS, Kaur H, Khullar P, Banipal TS, Kaur G, Singh N (2011) Protein films of bovine serum albumen conjugated gold nanoparticles: a synthetic route from bioconjugated nanoparticles to biodegradable protein films. J Phys Chem C 115(7):2982–2992
Castaño J, Rodríguez-Llamazares S, Contreras K, Carrasco C, Pozo C, Bouza R, Franco CML, Giraldo D (2014) Horse chestnut (Aesculus hippocastanum L.) starch: basic physico-chemical characteristics and use as thermoplastic material. Carbohydr Polym 112:677–685
Damodaran S, Agyare KK (2013) Effect of microbial transglutaminase treatment on thermal stability and pH-solubility of heat-shocked whey protein isolate. Food Hydrocolloid 30(1):12–18
Del-Valle V, Hernández-Muñoz P, Guarda A, Galotto MJ (2005) Development of a cactus-mucilage edible coating (Opuntia ficus indica) and its application to extend strawberry (Fragaria ananassa) shelf-life. Food Chem 91(4):751–756
Dominguez-Martinez BM, Martínez-Flores HE, Berrios JDJ, Otoni CG, Wood DF, Velazquez G (2017) Physical characterization of biodegradable films based on chitosan, polyvinyl alcohol and Opuntia mucilage. J Polym Environ 25(3):683–691
Einhorn-Stoll U (2017) Pectin-water interactions in foods–from powder to gel. Food Hydrocolloid 78:109–119
Einhorn-Stoll U, Kastner H, Drusch S (2014) Thermally induced degradation of citrus pectins during storage e alterations in molecular structure, colour and thermal analysis. Food Hydrocolloid 35:565–575
Espino-Díaz M, De Jesús Ornelas-Paz J, Martínez-Téllez MA, Santillán C, Barbosa-Cánovas GV, Zamudio-Flores PB, Olivas GI (2010) Development and characterization of edible films based on mucilage of Opuntia ficus-indica (L.). J Food Sci 75(6):E347–E352
Espitia PJP, Du WX, Avena-Bustillos RJ, Ferreira-Soares NF, McHugh TH (2014) Edible films from pectin: physical-mechanical and antimicrobial properties—a review. Food Hydrocolloid 35:287–296
Fajardo AR, Lopes LC, Pereira AG, Rubira AF, Muniz EC (2012) Polyelectrolyte complexes based on pectin–NH2 and chondroitin sulfate. Carbohydr Polym 87(3):1950–1955
Ghani S, Barzegar H, Noshad M, Hojjati M (2018) The preparation, characterization and in vitro application evaluation of soluble soybean polysaccharide films incorporated with cinnamon essential oil nanoemulsions. Int J Biol Macromol 112:197–202
Gheribi R, Puchot L, Verge P, Jaoued-Grayaa N, Mezni M, Habibi Y, Khwaldia K (2018) Development of plasticized edible films from Opuntia ficus-indica mucilage: a comparative study of various polyol plasticizers. Carbohydr Polym 190:204–211
Han JH (2014) Edible films and coatings: a review. In: Han JH (ed) Innovations in food packaging. Elsevier, San Diego, pp 213–255
Karbowiak T, Hervet H, Léger L, Champion D, Debeaufort F, Voilley A (2006) Effect of plasticizers (water and glycerol) on the diffusion of a small molecule in iota-carrageenan biopolymer films for edible coating application. Biomacromolecules 7(6):2011–2019
Kaur H, Banipal TS, Thakur S, Bakshi MS, Kaur G, Singh N (2013) Novel biodegradable films with extraordinary tensile strength and flexibility provided by nanoparticles. ACS Sustain Chem Eng 1(1):127–136
Lin SY, Chen KS, Run-Chu L (2000) Organic esters of plasticizers affecting the water absorption, adhesive property, glass transition temperature and plasticizer permanence of Eudragit acrylic films. J Control Release 68(3):343–350
Liu X, Wang Y, Yu L, Tong Z, Chen L, Liu H, Li X (2013) Thermal degradation and stability of starch under different processing conditions. Starch-Stärke 65(1–2):48–60
López-García F, Jiménez-Martínez C, Guzmán-Lucero D, Maciel-Cerda A, Delgado-Macuil R, Cabrero-Palomino D, Terrés-Rojas E, Arzate-Vázquez I (2017) Physical and chemical characterization of a biopolymer film made with corn starch and nopal xoconostle (Opuntia joconsotle) mucilage. Rev Mex Ing Quim 16(1):147–158
McGarvie D, Parolis H (1979) The mucilage of Opuntia ficus-indica. Carbohydr Res 69(1):171–179
Medina-Torres L, García-Cruz EE, Calderas F, González Laredo RF, Sánchez-Olivares G, Gallegos-Infante JA, Rocha-Guzmán NE, Rodríguez-Ramírez J (2013) Microencapsulation by spray drying of gallic acid with nopal mucilage (Opuntia ficus indica). LWT-Food Sci Technol 50(2):642–650
Nharingo T, Moyo M (2016) Application of Opuntia ficus-indica in bioremediation of waste waters: a critical review. J Environ Manag 166:55–72
Nisar T, Wang ZC, Yang X, Tian Y, Iqbal M, Guo Y (2018) Characterization of citrus pectin films integrated with clove bud essential oil: physical, thermal, barrier, antioxidant and antibacterial properties. Int J Biol Macromol 106:670–680
Otoni CG, Avena-Bustillos RJ, Azeredo H, Lorevice MV, Moura MR, Mattoso LH, McHugh TH (2017) Recent advances on edible films based on fruits and vegetables—a review. Compr Rev Food Sci Food Saf 16(5):1151–1169
Rivera-Corona JL, Rodríguez-González F, Rendón-Villalobos R, García-Hernández E, Solorza-Feria J (2014) Thermal, structural and rheological properties of sorghum starch with cactus mucilage addition. LWT Food Sci Technol 59(2):806–812
Rodríguez M, Oses J, Ziani K, Mate JI (2006) Combined effect of plasticizers and surfactants on the physical properties of starch based edible films. Food Res Int 39(8):840–846
Saberi B, Chockchaisawasdee S, Golding JB, Scarlett CJ, Stathopoulos CE (2017) Physical and mechanical properties of a new edible film made of pea starch and guar gum as affected by glycols, sugars and polyols. Int J Biol Macromol 104:345–359
Sáenz C, Sepúlveda E, Matsuhiro B (2004) Opuntia spp mucilage’s: a functional component with industrial perspectives. J Arid Environ 57(3):275–290
Sato MF, Rigoni DC, Canteri MHG, Petkowicz CLO, Nogueira A, Wosiacki G (2011) Chemical and instrumental characterization of pectin from dried pomace of eleven apple cultivars. Acta Sci Agron 33(3):383–389
Sepúlveda E, Sáenz C, Aliaga E, Aceituno C (2007) Extraction and characterization of mucilage in Opuntia spp. J Arid Environ 68(4):534–545
Sriamornsak P (2003) Chemistry of pectin and its pharmaceutical uses: a review. Silpakorn Univer Int J 3(1–2):206–228
Torres-Acosta AA (2007) Opuntia-Ficus-Indica (Nopal) mucilage as a steel corrosion inhibitor in alkaline media. J Appl Electrochem 37(7):835–841
Turhan KN, Şahbaz F (2004) Water vapor permeability, tensile properties and solubility of methylcellulose-based edible films. J Food Eng 61(3):459–466
Zhang Y, Han JH (2006) Plasticization of pea starch films with monosaccharides and polyols. J Food Sci 71(6):E253–E261
Zhou J, Ren L, Tong J, Xie L, Liu Z (2009) Surface esterification of corn starch films: reaction with dodecenyl succinic anhydride. Carbohydr Polym 78:888–893
Acknowledgements
The authors wish to thank the technical support provided by Biomaterials Laboratory, UDT-University of Concepcion-Chile to carry out FTIR, thermal and mechanical analysis.
Author information
Authors and Affiliations
Corresponding author
Ethics declarations
Conflict of interest
The authors declare no conflict of interest.
Electronic supplementary material
Below is the link to the electronic supplementary material.
Rights and permissions
About this article
Cite this article
Guadarrama-Lezama, A.Y., Castaño, J., Velázquez, G. et al. Effect of nopal mucilage addition on physical, barrier and mechanical properties of citric pectin-based films. J Food Sci Technol 55, 3739–3748 (2018). https://doi.org/10.1007/s13197-018-3304-x
Revised:
Accepted:
Published:
Issue Date:
DOI: https://doi.org/10.1007/s13197-018-3304-x


