Skip to main content

Evaluation of unexplored pomegranate cultivars for physicochemical characteristics and antioxidant activity

Abstract

The aim of present study was to evaluate the different pomegranate cultivars for physicochemical properties and to identify the best cultivars suitable for food processing and future breeding. Various attributes of fruit (including length, weight and diameter), rind (thickness and weight), calyx (length), aril (weight, percentage, length and width), seed (length and width) and juice (titratable acidity and soluble solids or TSS) were evaluated. Total and reducing sugar, pH, ascorbic acid, total phenolic contents, antioxidant activity and maturity index were also evaluated. A significant difference in all tested parameters was noted amongst the tested cultivars except calyx length, rind thickness, arils and seed dimensions. The antioxidant activity and total phenolic contents of pomegranate cultivars were ranged from 15.77 to 42% and 1158.9 to 1540.7 mg GAE L−1. The cultivars Tor-390 and Sorkhak-859 were sweet in taste, while the rest of the cultivars have sweet sour taste. The study concluded that the majority of cultivars were rich source of total phenolics, ascorbic acid, total soluble solid and total sugars, which are beneficial to health. Some of the elite cultivars (NKP-561, SRK-296, SZR-385, SRK-878) showed high quality attributes and were suitable for future breeding programs.

This is a preview of subscription content, access via your institution.

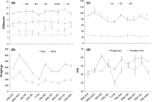
Fig. 1
Fig. 2

References

  • Ainsworth EA, Gillespie KM (2007) Estimation of total phenolic content and other oxidation substrates in plant tissues using Folin–Ciocalteu reagent. Nat Protoc 2:875–877

    CAS  Article  Google Scholar 

  • Al-Maiman SA, Ahmad D (2002) Changes in physical and chemical properties during pomegranate (Punica granatum L.) fruit maturation. Food Chem 76:437–441

    CAS  Article  Google Scholar 

  • Al-Muammar MN, Khan F (2012) Obesity: the preventive role of the pomegranate (Punica granatum). Nutrition 28:595–604

    CAS  Article  Google Scholar 

  • Al-Said F, La Opara, Al-Yahyai R (2009) Physico-chemical and textural quality attributes of pomegranate cultivars (Punica granatum L.) grown in the Sultanate of Oman. J Food Eng 90:129–134

    Article  Google Scholar 

  • AOAC (2005) Official methods of analysis of AOAC International. AOAC International, Gaithersburg

    Google Scholar 

  • Brand-Williams W, Cuvelier M-E, Berset C (1995) Use of a free radical method to evaluate antioxidant activity LWT Food. Sci Technol 28:25–30

    CAS  Google Scholar 

  • Çam M, Hışıl Y, Durmaz G (2009) Classification of eight pomegranate juices based on antioxidant capacity measured by four methods. Food Chem 112:721–726

    Article  Google Scholar 

  • Carbonell-Barrachina A, Calín-Sánchez A, Bagatar B, Hernández F, Legua P, Martínez-Font R, Melgarejo P (2012) Potential of Spanish sour–sweet pomegranates (cultivar C25) for the juice industry. Food Sci Technol Int 18:129–138

    CAS  Article  Google Scholar 

  • Celik A, Ercisli S (2009) Some physical properties of pomegranate cv. Eksinar Int Agrophys 23:295–298

    Google Scholar 

  • Chen B, Tuuli MG, Longtine MS, Shin JS, Lawrence R, Inder T, Nelson DM (2012) Pomegranate juice and punicalagin attenuate oxidative stress and apoptosis in human placenta and in human placental trophoblasts. Am J Physiol Endocrinol Metab 302:E1142–E1152

    CAS  Article  Google Scholar 

  • Doshi P, Adsule P, Banerjee K, Oulkar D (2015) Phenolic compounds, antioxidant activity and insulinotropic effect of extracts prepared from grape (Vitis vinifera L) byproducts. J Food Sci Technol 52:181–190

    CAS  Article  Google Scholar 

  • Fawole OA, Opara UL (2013a) Changes in physical properties, chemical and elemental composition and antioxidant capacity of pomegranate (cv. Ruby) fruit at five maturity stages. Sci Hort 150:37–46

    CAS  Article  Google Scholar 

  • Fawole OA, Opara UL (2013b) Effects of maturity status on biochemical content, polyphenol composition and antioxidant capacity of pomegranate fruit arils (cv. ‘Bhagwa’). S Afr J Bot 85:23–31

    CAS  Article  Google Scholar 

  • Gadže J, Voća S, Čmelik Z, Mustać I, Ercisli S, Radunić M (2013) Physico-chemical characteristics of main pomegranate (Punica granatum L.) cultivars grown in Dalmatia region of Croatia. J Appl Bot Food Qual 85:202

    Google Scholar 

  • Ghafir SA, Gadalla SO, Murajei BN, El-Nady MF (2009) Physiological and anatomical comparison between four different apple cultivars under cold-storage conditions. Afr J Plant Sci 3:133–138

    Google Scholar 

  • Ghasemnezhad M, Zareh S, Shiri MA, Javdani Z (2015) The arils characterization of five different pomegranate (Punica granatum) genotypes stored after minimal processing technology. J Food Sci Technol 52:2023–2032

    CAS  Article  Google Scholar 

  • Gil MI, Tomás-Barberán FA, Hess-Pierce B, Holcroft DM, Kader AA (2000) Antioxidant activity of pomegranate juice and its relationship with phenolic composition and processing. J Agric Food Chem 48:4581–4589

    CAS  Article  Google Scholar 

  • Kassem H, El-Kobbia AM, Marzouk HA, El-Sebaiey MM (2010) Effect of foliar sprays on fruit retention, quality and yield of Costata persimmon trees. Emir J Food Agr 22:259–274

    Article  Google Scholar 

  • Kulkarni AP, Aradhya SM (2005) Chemical changes and antioxidant activity in pomegranate arils during fruit development. Food Chem 93:319–324

    CAS  Article  Google Scholar 

  • Kumar A, Kumar P, Koundal R, Agnihotri VK (2016) Antioxidant properties and UPLC–MS/MS profiling of phenolics in jacquemont’s hazelnut kernels (Corylus jacquemontii) and its byproducts from western Himalaya. J Food Sci Technol 53:3522–3531

    CAS  Article  Google Scholar 

  • Martinez J, Melgarejo P, Hernández F, Salazar D, Martinez R (2006) Seed characterisation of five new pomegranate (Punica granatum L.) varieties. Sci Hort 110:241–246

    Article  Google Scholar 

  • Mena P, García-Viguera C, Navarro-Rico J, Moreno DA, Bartual J, Saura D, Martí N (2011) Phytochemical characterisation for industrial use of pomegranate (Punica granatum L.) cultivars grown in Spain. J Sci Food Agric 91:1893–1906

    CAS  Article  Google Scholar 

  • Mishra P, Dutta N, Mahanta CL (2015) Partial extraction and identification of phenolics in Amla (Emblica officinalis) seed coat powder. J Food Sci Technol 52:6990–7001

    CAS  Article  Google Scholar 

  • Nuncio-Jáuregui N, Calín-Sánchez A, Carbonell-Barrachina A, Hernández F (2014) Changes in quality parameters, proline, antioxidant activity and color of pomegranate (Punica granatum L.) as affected by fruit position within tree, cultivar and ripening stage. Sci Hort 165:181–189

    Article  Google Scholar 

  • Ozgen M, Durgaç C, Serçe S, Kaya C (2008) Chemical and antioxidant properties of pomegranate cultivars grown in the Mediterranean region of Turkey. Food Chem 111:703–706

    CAS  Article  Google Scholar 

  • Ozkan Y (2005) Investigations on physical and chemical characteristics of some pomegranate genotypes (Punica granatum L.) of Tokat province in Turkey. Asian J Chem 17:939–942

    CAS  Google Scholar 

  • Rana S, Bhushan S (2016) Apple phenolics as nutraceuticals: assessment, analysis and application. J Food Sci Technol 53:1727–1738

    CAS  Article  Google Scholar 

  • Riyahi R, Rafiee S, Dalvand M, Keyhani A (2011) Some physical characteristics of pomegranate, seeds and arios. J Agric Technol 7:1523–1537

    Google Scholar 

  • Ruck JA (1963) Chemical methods for analysis of fruit and vegetable products. Canada Department of Agriculture, Ottawa, p 62

  • Sarkhosh A, Zamani Z, Fatahi R, Ebadi A (2006) RAPD markers reveal polymorphism among some Iranian pomegranate (Punica granatum L.) genotypes. Sci Hort 111:24–29

    CAS  Article  Google Scholar 

  • Sarkhosh A, Zamani Z, Fatahi R, Ranjbar H (2009) Evaluation of genetic diversity among Iranian soft-seed pomegranate accessions by fruit characteristics and RAPD markers. Sci Hort 121:313–319

    CAS  Article  Google Scholar 

  • Seeram NP, Aronson WJ, Zhang Y, Henning SM, Moro A, Lee R-P, Sartippour M, Harris DM, Rettig M, Suchard MA (2007) Pomegranate ellagitannin-derived metabolites inhibit prostate cancer growth and localize to the mouse prostate gland. J Agric Food Chem 55:7732–7737

    CAS  Article  Google Scholar 

  • Shanmugam S, Baby JP, Chandran R, Thankarajan S, Thangaraj P (2016) Maesa indica: a nutritional wild berry rich in polyphenols with special attention to radical scavenging and inhibition of key enzymes, α-amylase and α-glucosidase. J Food Sci Technol 53:2957–2965

    CAS  Article  Google Scholar 

  • Tamuly C, Hazarika M, Bora J, Bordoloi M, Boruah MP, Gajurel P (2015) In vitro study on antioxidant activity and phenolic content of three Piper species from North East India. J Food Sci Technol 52:117–128

    CAS  Article  Google Scholar 

  • Tehranifar A, Zarei M, Nemati Z, Esfandiyari B, Vazifeshenas MR (2010) Investigation of physico-chemical properties and antioxidant activity of twenty Iranian pomegranate (Punica granatum L.) cultivars. Sci Hort 126:180–185

    CAS  Article  Google Scholar 

  • Tezcan F, Gültekin-Özgüven M, Diken T, Özçelik B, Erim FB (2009) Antioxidant activity and total phenolic, organic acid and sugar content in commercial pomegranate juices. Food Chem 115:873–877

    CAS  Article  Google Scholar 

  • Valero C, Ruiz-Altisent M (2000) Design guidelines for a quality assessment system of fresh fruits in fruit centers and hypermarkets. Agric Eng Int CIGR J Sci Res Dev II

  • Workneh TS, Osthoff G, Steyn M (2012) Effects of preharvest treatment, disinfections, packaging and storage environment on quality of tomato. J Food Sci Technol 49:685–694

    CAS  Article  Google Scholar 

  • Zanotti I, Dall’Asta M, Mena P, Mele L, Bruni R, Ray S, Del Rio D (2015) Atheroprotective effects of (poly) phenols: a focus on cell cholesterol metabolism. Food Funct 6:13–31

    CAS  Article  Google Scholar 

  • Zarei M, Azizi M, Bashir-Sadr Z (2011) Evaluation of physicochemical characteristics of pomegranate (Punica granatum L.) fruit during ripening. Fruits 66:121–129

    CAS  Article  Google Scholar 

  • Zarfeshany A, Asgary S, Javanmard SH (2014) Potent health effects of pomegranate. Adv Biomed Res 3:100

    Article  Google Scholar 

  • Zielinski AAF, Granato D, Alberti A, Nogueira A, Demiate IM, Haminiuk CWI (2015) Modelling the extraction of phenolic compounds and in vitro antioxidant activity of mixtures of green, white and black teas (Camellia sinensis L. Kuntze). J Food Sci Technol 52:6966–6977

    CAS  Article  Google Scholar 

Download references

Acknowledgements

The authors are really grateful to the employees of the National Collection Centre, Kandahar–Perennial Horticultural Development for providing us with the material for this study.

Author information

Affiliations

Authors

Corresponding author

Correspondence to Amjad Iqbal.

Rights and permissions

Reprints and Permissions

About this article

Verify currency and authenticity via CrossMark

Cite this article

Viyar, A.H., Qadri, R., Iqbal, A. et al. Evaluation of unexplored pomegranate cultivars for physicochemical characteristics and antioxidant activity. J Food Sci Technol 54, 2973–2979 (2017). https://doi.org/10.1007/s13197-017-2736-z

Download citation

  • Revised:

  • Accepted:

  • Published:

  • Issue Date:

  • DOI: https://doi.org/10.1007/s13197-017-2736-z

Keywords

  • Pomegranate cultivars
  • Physico-chemical properties
  • Antioxidant activity and total phenolics