Skip to main content

Microstructural, thermal and IR spectroscopy characterisation of wheat gluten and its sub fractions

Abstract

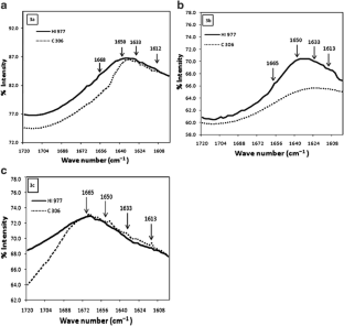
The gluten and its sub-fractions of good and poor bread quality wheat varieties were studied using scanning electron microscopy, differential scanning calorimetry (DSC) and IR spectroscopy techniques. The gluten of good bread quality wheat variety showed organized foam like matrix, whereas that of poor demonstrated an open gluten matrix. The glutenin of good bread quality wheat (HI 977) exhibited a more striated, organised texture in contrast to a dense, unorganised structure visible in C306. Gliadins of poor bread quality wheat were self-assembled to form a sheet like structure, whereas the gliadin proteins of good bread quality wheat variety showed more open microstructure. DSC thermal profiles of gluten and glutenin proteins of poor bread quality wheat showed exothermic peaks at around 200 °C. A distinct endothermic peak was detected in the glutenin fraction of good bread quality wheat, suggesting greater thermostability. Amide I peak at ~1668 cm−1 for gluten of good bread quality wheat variety showed higher relative intensities of β-turn as compared to observed for gluten of poor bread quality.

This is a preview of subscription content, access via your institution.

Fig. 1
Fig. 2
Fig. 3

References

  • AACC (2000) Approved methods of the American association of cereal chemists, 10th ed. St. Paul, MN, USA

  • Axford DW, McDermott EE, Redman DG (1979) Note on the sodium dodecyl sulphate test of bread making quality: comparison with Pelshenke and Zeleny tests. Cereal Chem 56:582–584

    CAS  Google Scholar 

  • Bengoechea C, Arrachid A, Guerrero A, Hill AS, Mitchell JR (2007) Relationship between the glass transition temperature and the melt flow behavior for gluten, casein and soya. J Cereal Sci 45:275–284

    CAS  Article  Google Scholar 

  • Castellia F, Gilbertb SM, Carusoa S, Maccarronea DE, Fisichella S (2000) Thermoanalytical characterization of high molecular weight glutenin subunits. Water effect on their glass transition. Thermochim Acta 346:153–160

    Article  Google Scholar 

  • Dhaka V, Khatkar BS (2015a) Effects of gliadin/glutenin and HMW-GS/LMW-GS ratio on dough rheological properties and bread making potential of wheat varieties. J Food Qual 38:71–82

    CAS  Article  Google Scholar 

  • Dhaka V, Khatkar BS (2015b) Influence of gluten addition on rheological, pasting, thermal, textural properties and bread making quality of wheat varieties. Qual Assur Saf Crop 7(3):239–249

    CAS  Article  Google Scholar 

  • Dong K, Hao CY, Wang AL, Cai MH, Yan YM (2009) Characterization of HMW glutenin subunits in bread and tetraploid wheats by reversed-phase high-performance liquid chromatography. Cereal Res Commun 37(1):65–73

    CAS  Article  Google Scholar 

  • Dua S, Lukow OM, Humphreys G, Adams K (2009) Effect of extraction methods and wheat cultivars on gluten functionality. Open Food Sci J 3:84–92

    CAS  Article  Google Scholar 

  • Greenaway WT, Hurst NS, Neustadt MH, Zeleny L (1966) Micro sedimentation test for wheat. Cereal Sci Today 11:197–199

    Google Scholar 

  • Khatkar BS (2006) Effects of high Mr glutenin subunits on dynamic rheological properties and bread making qualities of wheat gluten. J Food Sci Technol 43(4):382–387

    CAS  Google Scholar 

  • Khatkar BS, Schofield JD (1997) Molecular and physicochemical basis of bread making properties of wheat gluten proteins. J Food Sci Technol 34(2):85–102

    CAS  Google Scholar 

  • Khatkar BS, Fido RJ, Tatham AS, Schofield JD (2002) Functional properties of wheat gliadins. II. Effects on dynamic rheological properties of wheat gluten. J Cereal Sci 35:307–313

    CAS  Article  Google Scholar 

  • Kong J, Yu S (2007) Fourier transform infrared spectroscopic analysis of protein secondary structures. Acta Biochim Biophys Sin 39(8):549–559

    CAS  Article  Google Scholar 

  • Kontogiorgos V (2011) Microstructure of hydrated gluten network. Food Res Int 44:2582–2586

    CAS  Article  Google Scholar 

  • Korableva NV, Kasymova TD (2010) Rheological properties of Uzbekistan wheat gluten as a function of disulphide and H-bond contents during conditioning. Chem Nat Compd 46(3):426

    CAS  Article  Google Scholar 

  • Krull LH, Wall JS, Zobel H, Dimler RJ (1965) Synthetic polypeptides containing side chain amide groups: water insoluble polymers. Biochem 4:626–633

    CAS  Article  Google Scholar 

  • Ktenioudaki A, Butler F, Gallagher E (2010) Rheological properties and baking quality of wheat varieties from various geographical regions. J Cereal Sci 51:402–408

    Article  Google Scholar 

  • Levine H, Slade L (1990) Influences of the glassy and rubbery states on the thermal, mechanical, and structural properties of doughs and baked products. In: Faridi H, Faubion JM (eds) Dough rheology and baked product texture. Van Nostrand Reinhold, New York

    Google Scholar 

  • Margarida Falcao-Rodrigues M, Moldao-Martins M, Luisa Beirao-da-Costa M (2005) Thermal properties of gluten proteins of two soft wheat varieties. Food Chem 93:459–465

    Article  Google Scholar 

  • Moonen JHE, Scheepstra A, Graveland A (1982) Use of the SDS-sedimentation tests and SDS- polyacrylamide gel electrophoresis for screening breeder’s samples of wheat for bread-making quality. Euphytica 31:677–690

    Article  Google Scholar 

  • Parchment O, Shewry PR, Tatham AS, Osguthorpe DJ (2001) Molecular modeling of unusual spiral structure in elastomeric wheat seed protein. Cereal Chem 78:658–662

    CAS  Article  Google Scholar 

  • Peighambardoust SH, van der Goot AJ, Hamer JR, Boom RM (2005) Effect of simple shear on the physical properties of glutenin macro polymer (GMP). J Cereal Sci 42:59–68

    CAS  Article  Google Scholar 

  • Peighambardoust SH, Ghamari M, Naghavi S (2011) Application of gel-protein analysis compared to conventional quality tests in characterisation of Iranian wheat cultivars. Cereal Res Commun 39(3):394–404

    Article  Google Scholar 

  • Schofield JD, Bottomley RC, Timms MF, Booth MR (1983) The effect of heat on wheat gluten and the involvement of sulphydryl-disulphide interchange reactions. J Cereal Sci 1:241–253

    CAS  Article  Google Scholar 

  • Singh M, Khatkar BS (2005) Structural and functional properties of wheat storage proteins: a review. J Food Sci Technol 42:455–471

    CAS  Google Scholar 

  • Singh S, Singh N, MacRitchie F (2011) Relationship of polymeric proteins with pasting, gel dynamic- and dough empirical-rheology in different Indian wheat varieties. Food Hydrocolloid 25(1):19–24

    CAS  Article  Google Scholar 

  • Sivam AS, Sun-Waterhouse D, Quek SY, Perera CO (2010) Properties of bread dough with added fiber polysaccharides and phenolic antioxidants: a review. J Food Sci 75(8):163–174

    Article  Google Scholar 

  • Song Y, Zheng Q (2008) Influence of gliadin removal on strain hardening of hydrated wheat gluten during equibiaxial extensional deformation. J Cereal Sci 48:58–67

    CAS  Article  Google Scholar 

  • Wellner N, Mills ENC, Brownsey G, Wilson RH, Brown N, Freeman J, Halford NG, Shewry PR, Belton PS (2005) Changes in protein secondary structure during gluten deformation studied by dynamic Fourier transform infrared spectroscopy. Biomacromolecules 6:255–261

    CAS  Article  Google Scholar 

  • Wieser H (2007) Chemistry of gluten proteins. Food Microbiol 24(2):115–119

    CAS  Article  Google Scholar 

Download references

Author information

Affiliations

Authors

Corresponding author

Correspondence to B. S. Khatkar.

Rights and permissions

Reprints and Permissions

About this article

Verify currency and authenticity via CrossMark

Cite this article

Dhaka, V., Khatkar, B.S. Microstructural, thermal and IR spectroscopy characterisation of wheat gluten and its sub fractions. J Food Sci Technol 53, 3356–3363 (2016). https://doi.org/10.1007/s13197-016-2314-9

Download citation

  • Revised:

  • Accepted:

  • Published:

  • Issue Date:

  • DOI: https://doi.org/10.1007/s13197-016-2314-9

Keywords

  • Gluten
  • Glutenin
  • Gliadin
  • Microstructural analysis
  • Thermal analysis
  • IR Spectroscopy