Abstract
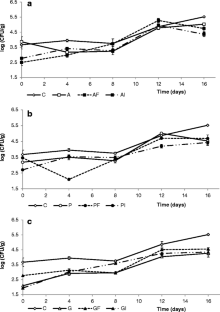
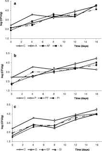
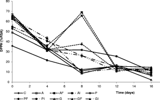
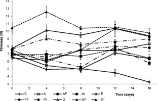
Little information is available regarding the incorporation of dietary fiber into edible films and coatings. In this work, apple fiber and inulin were incorporated into polysaccharide-based (alginate, pectine and gellan gum) edible coating formulations and their effects on the quality attributes of fresh-cut apples were evaluated. Antioxidant properties, color, firmness, sensory quality and microbial growth of fresh-cut apple were studied during 16 days of storage at 4 °C. Results show that dietary fiber extracts incorporated to gellan gum, pectin and alginate-based coatings together with calcium chloride and ascorbic acid successfully maintained the firmness and color of coated fresh-cut apples in comparison with uncoated control samples, which presented severe texture softening and browning. The firmness of apple pieces coated with polysaccharide-based coating formulations incorporating apple fiber doubled, and sometimes tripled, that of uncoated samples. Any of the assayed coatings exhibited a positive effect on the sensory properties of fresh-cut apples. The incorporation of apple fiber, together with the use of ascorbic acid, contributed to keep the antioxidant potential of the fruit at least during the first week of storage. Furthermore, gellan gum coatings had a marked effect in reducing mesophilic and psychrophilic counts on fresh-cut apples throughout storage regardless the addition of dietary fibers. The results achieved demonstrate the feasibility of the addition of dietary fiber to edible coating formulations for increasing the nutritional value of fresh-cut apples without compromising their fresh-like quality attributes.






References
Alvarez MV, Ponce A, Moreira MR (2013) Antimicrobial efficiency of chitosan coating enriched with bioactive compounds to improve the safety of fresh cut broccoli. LWT Food Sci Technol 50:78–87
Anderson JW, Baird P, Davis RH et al (2009) Health benefits of dietary fiber. Nutr Rev 67:188–205
Chien P, Sheu F, Yang F (2007) Effects of edible chitosan coating on quality and shelf life of sliced mango fruit. J Food Eng 78(1):225–229
Figuerola F, Hurtado M, Estévez A, Chiffelle I, Asenjo F (2005) Fiber concentrates from apple pomace and citrus peel as potential fiber sources for food enrichment. Food Chem 91:395–401
Gorny J (2003) New opportunities for fresh-cut apples. Fresh Cut 11:14–15
Grigelmo-Miguel N, Martin-Belloso O (1999) Characterization of dietary fiber from orange juice extraction. Food Res Internat 31:355–361
Grigelmo-Miguel N, Martín-Belloso O (1999) Comparison of dietary fiber from by-products of processing fruits and greens and from cereals. LWT-Food Sci Technol 32:503–508
Hernández-Muñoz P, Almenar E, Ocio M, Gavara R (2006) Effect of calcium dips and chitosan coatings on postharvest life of strawberries (Fragaria x ananassa). Postharvest Biol Technol 39(3):247–253
Lee J, Park H, Lee C, Choi W (2003) Extending shelf-life of minimally processed apples with edible coatings and antibrowning agents. LWT Food Sci Technol 36:323–329
Marín F, Soler-Rivas C, Benavente-García O, Castillo J, Pérez-Alvarez J (2007) By-products from different citrus processes as a source of customized functional fibres. Food Chem 100:736–74
Moraes Crizel T, Jablonski A, Oliveira–Rios A, Rech R (2013) Dietary fiber from orange byproducts as a potential fat replacer. LWT-Food Sci Technol 53:9–14
Moreira M, Roura S, Ponce A (2011) Effectiveness of Chitosan edible coatings to improve microbiological and sensory quality of fresh cut broccoli. LWT Food Sci Technol 44(10):2335–2341
Olaimat A, Holley R (2012) Factors influencing the microbial safety of fresh-produce: a review. Food Microbiol 32:1–19
Olivas G, Mattinson D, Barbosa-Cánovas G (2007) Alginate coatings for preservation of minimally processed apple. Postharvest Biol Technol 45(1):89–96
Oms-Oliu G, Soliva-Fortuny R, Martín Belloso O (2008) Edible coatings with antibrowning agents to maintain sensory quality and antioxidant properties of fresh-cut pears. Postharvest Biol Technol 50:87–94
Oms-Oliu G, Rojas-Graü A, González L, Varela P, Soliva-Fortuny R, Hernando M, Pérez Munuera I, Fiszman S, Martín-Belloso O (2010) Recent approaches using chemical treatments to preserve quality of fresh-cut fruit: a review. Postharvest Biol Technol 57:139–148
Ponce A, Roura S, Moreira MR (2008) Antimicrobial and antioxidant activities of edible coatings enriched with natural plant extracts: in vitro and in vivo studies. Postharvest Biol Technol 49:294–300
Ramos B, Miller F, Brandao T, Teixeira P, Silva C (2013) Fresh fruits and vegetables- an overview on applied methodologies to improve its quality and safety. Innovative Food Sci Emerg Technol 20:1–15
Rinaldoni A, Campderrós M, Padilla A (2012) Physico-chemical and sensory properties of yogurt from ultrafiltered soy milk concentrate added with inulin. LWT-Food Sci Technol 45:142–147
Robles-Sánchez R, Rojas-Graü A, Odriozola-Serrano I, González-Aguilar G, Martín-Belloso O (2013) Influence of alginate-based edible coating as carrier of antibrowning agents on bioactive compounds and antioxidant activity in fresh-cut Kent mangoes. LWT-Food Sci Technol 50:240–246
Rojas-Graü A, Raybaudi-Massilia R, Soliva-Fortuny R, Avena-Bustillos T, Martín-Belloso O (2007) Apple puree-alginate coating as carrier of antimicrobial agents to prolong shelf-life of fresh-cut apples. Postharvest Biol Technol 45:254–264
Rojas-Graü MA, Tapia MS, Martin-Belloso O (2008) Using polysaccharide-based edible coatings to maintain quality of fresh-cut Fuji apples. LWT-Food Sci Technol 41:139–147
Rojas-Graü A, Soliva-Fortuny R, Martín Belloso O (2009) Edible coatings to incorporate active ingredients to fresh-cut fruits: a review. Trends in Food Sci Technol 38:438–447
Tapia MS, Rojas-Graü MA, Carmona J, Rodríguez S, Soliva-Fortuny R, Martin-Belloso O (2008) Use of Alginate- and gellan-based coatings for improving barrier, texture and nutritional properties of fresh-cut papaya. Food Hydrocoll 22:1493–1503
Acknowledgments
This work was supported by Agencia Nacional de Promoción Científica y Tecnológica (ANPCyT, Argentina) and by Spanish Ministry of Economy and Competitiveness, through the project AGL2010-21572. An ICREA Academia Award is also acknowledged.
Author information
Authors and Affiliations
Corresponding author
Additional information
Research highlights
• Edible coatings with dietary fiber addition maintain quality attributes of fresh-cut apples
• Dietary fiber incorporated into edible coatings maintained firmness and color
• Edible coatings incorporating fiber had a positive effect on apples sensory attributes
• Edible coatings with dietary fiber addition kept the antioxidant activity of the fruit
• Gellan coatings had marked inhibitory effect on microbial growth during fruit storage
Rights and permissions
About this article
Cite this article
Moreira, M.R., Cassani, L., Martín-Belloso, O. et al. Effects of polysaccharide-based edible coatings enriched with dietary fiber on quality attributes of fresh-cut apples. J Food Sci Technol 52, 7795–7805 (2015). https://doi.org/10.1007/s13197-015-1907-z
Revised:
Accepted:
Published:
Issue Date:
DOI: https://doi.org/10.1007/s13197-015-1907-z