Skip to main content

Physico-chemical, sensory and microbiological characteristics of plain yoghurt from bambara groundnut (Vigna subterranea) and soybeans (Glycine max)

Abstract

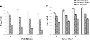
Physico-chemical, sensory and microbiological characteristics of plain yoghurt from bambara groundnut and soybean milks were studied. Milks were prepared from bambara and soybean and then fermented using Lactobacillus delbruieckii subspp. bulgaricus and Streptococcus salivarus subspp. thermophilus to produce yoghurt. The yoghurts were stored at 7 °C and 27 °C for 9 days and their quality monitored. Results showed that pH of soy and bambara yoghurts decreased during the storage period for both storage temperatures. This decrease in pH was accompanied by simultaneous increase in titratable acidity. Total solids and apparent viscosities of soy and bambara yoghurts increased at 7 °C, but decreased at 27 °C during storage period. Bambara yoghurt received higher sensory acceptability than soy yoghurt. Predominant microorganisms in the stored yoghurts were lactic acid bacteria (LAB). The LAB count in the yoghurts stored at 7 °C decreased but increased at 27 °C during the storage period. Similar trends were followed by total aerobic bacteria, yeast and moulds counts. Pathogenic bacteria such as Salmonella, Coliform and E. coli were absent in all the yogurt samples. Yoghurts of acceptable quality and safety were produced from bambara groundnut and soybeans.

This is a preview of subscription content, access via your institution.

Fig. 1
Fig. 2
Fig. 3
Fig. 4

References

  • Ade-Omowaye BIO, Olajide JO, Otunola ET, Omotade VA (2004) Effect of some processing parameters on the quality characteristics of soya bean curd. Sci Focus 7:53–57

    Google Scholar 

  • Akpan UG, Mohammed AD, Aminu I (2007) Effect of preservative on the shelf life of yoghurt produced from soya beans milk. Leonardo Elect J Pract Technol 6:131–142

    Google Scholar 

  • Alozie YE, Mary AI, Olajumoke L (2009) Utilization of Bambara groundnut flour blends in bread production. J of Food Technol 7(4):111–114

    CAS  Google Scholar 

  • Amakoromo ER, Innocent-Adiele HC, Njoku HO (2012) Shelf-life study of a yoghurt-like product from African Yam bean. Nature Sci 10(5):6–9

    Google Scholar 

  • Aminigo ER, Metzger L, Lehtola PS (2009) Biochemical composition and storage of a yoghurt – like product from African yam bean (Sphenostylis stenocarpa). Int J Food Sci Technol 44:560–566

    CAS  Article  Google Scholar 

  • AOAC (1990). Official methods of analysis. Association of official analytica chemists. 15th Edition. Washington D.C.

  • Beal C, Skokanova J, Latrille E, Martin N, Corrieu G (1999) Combined effects of culture conditions and storage time on acidification and viscosity of stirred yogurt. J Dairy Sci 82(4):673–681

    CAS  Article  Google Scholar 

  • Beddows C, Wong J (1987) Optimization of yield and properties of silken tofu from soybeans. Int J Food Sci Technol 22:15–21

    Article  Google Scholar 

  • Booregard DE, Arneborg N (1998) Interaction between Lactococcus lactis subspp. Lacti and Issatchenkia orientalis at milk fermentation. Food Technol Biotechnol 36:75–78

    Google Scholar 

  • Brough SH, Azam-Ali SN, Taylor AJ (1993) The potential of bambara groundnut (Vigna subterranea) in vegetable milk production and basic protein functionality systems. Food Chem 47(3):277–283

    CAS  Article  Google Scholar 

  • Buono MA, Setser C, Erickson LE, Fung DYC (1990) Soymilk yogurt: sensory evaluation and chemical measurement. J Food Sci 55:528–531

    Article  Google Scholar 

  • Cavallini DCU, Rossi EA (2009) Soy yogurt fortified with iron and calcium: stability during the storage. Aliment Nutr Araraquara 20:7–13

    CAS  Google Scholar 

  • Chacko A, Muraleedharan H, Sastry PS (2010) Effect of storage conditions on the microbial quality of fermented foods. World Appl Sci J 9(12):1365–1369

    Google Scholar 

  • Dardashti AD, Akhndzadeh A, Bokaei S (2001) Study of coliform, yeast and mold contamination of yogurt in Ghaemshahr in Iran. Period Biol 103:183–186

    Google Scholar 

  • Dublin-Green M, Ibe SN (2008) Quality evaluation of yogurts produced commercially in Lagos, Nigeria. Afr J Appl Zool Environ Biol 7(1):78–82

    Google Scholar 

  • Eissa EA, Ahmed IM, Yagoub AEA, Babiker EE (2010) Physicochemical, microbiological and sensory characteristics of yoghurt produced from goat milk. Livest Res Rural Dev 22(8)

  • Farinde EO, Adesetan TO, Obatolu VA, Oladapo MO (2009) Chemical and microbial properties of yogurt processed from cow’s milk and soymilk. J Food Proc Preserv 33(2):245–254

    CAS  Article  Google Scholar 

  • Fery RL (2002) New opportunities in vigna. In Trends in new crops and new uses, Eds J.

  • Gonçalves MM, Freitas R, Nero LA, Carvalho AF (2009) Enumeration of starter cultures during yogurt production using Petri film TM AC plates associated with acidified MRS and M17 broths. J Dairy Res 76:229–233

    Article  Google Scholar 

  • Jayeola CO, Yahaya LE, Igbinadolor RO (2010) Cocoa powder supplementation in yoghurt production. J Food Technol 3:82–85

    Google Scholar 

  • Kaytanli M (1993) Effect of the different heat treatments on rheological and organoleptical properties of yoghurt. J Dairy Foods Home Sci 12:8–16

    Google Scholar 

  • Laye I, Karleskino D, Morr CV (1993) Chemical, microbial and sensory properties of plain non-fat yoghurt. J Food Sci 58:991–995

    CAS  Article  Google Scholar 

  • Lee SY, Morr CV, Seo A (1990) Comparison of milk-based and soymilk-based yogurt. J Food Sci 55(2):532–536

    Article  Google Scholar 

  • Lorentan T, Viljoen BC, Mostert JF, Vogel AM, Jordaan HF, Du P (1998) A preliminary study on the diversity and technological study of indigenous traditional south Africa fermented milk (Note). In: Jakobsen M, Viljoen BC (eds) Yeasts in the dairy industry: positive and negative aspects. proceedings of the symposium organized by group F47(2–3), september 1996. Brussels, Belgium, pp 178–182

    Google Scholar 

  • Muhammad BF, Abubakar MM, Adegbola TA (2009) Effect of period and conditions of storage on properties of yoghurt produced from cow milk and soy milk materials. J Dairy Sci 3(2):18–24

    Google Scholar 

  • Murevanhema YY (2012) Evaluation of bambara groundnuts (Vigna subterrenea (L.) Verdc.) milk fermented with lactic acid bacteria as a probiotic beverage. M. Tech. Dissertation. Cape Peninsula University of Technology, South Africa, p 183

    Google Scholar 

  • Nelson AI, Steinberg MP, Wei LS (1975) Illinois process for preparation of soymilk. J Food Sci 41:57–61

    Article  Google Scholar 

  • Nwokolo E (1996) Peanut (Arachis hypogeal): Legumes and oil seeds in nutrition.(Ed. E. Nwokolo and J. Small). Chapman and Hall Publishers. Pp. 49

  • Obi TE, Henshaw FO, Atanda OO (2010) Quality evaluation of plain-stirred probiotic yoghurt produced from skim and whole milk powder during refrigerated storage. Electron J Environ Agric Food Chem 9(7):1203–1213

    CAS  Google Scholar 

  • Obizoba IC, Egbuna HI (1992) Effect of germination and fermentation on the nutritional quality of bambara nut (Voandzeia subterranea L. Thouars) and its product (milk). Plant Foods Hum Nutr 42:13–23

    CAS  Article  Google Scholar 

  • Oluwole FA, Abdulrahim AT, Olalere RK (2007) Effect of moisture content on crackability of bambara groundnut using a centrifugal cracker. Interl Agrophysics 21:179–184

    Google Scholar 

  • Onuorah CE, Adejare AO, Uhiara NS (2007) Comparative physico-chemical evaluation of soymilk and soya cake produced by three different methods. Nigerian Food J 25(2):32

    Google Scholar 

  • Onweluzo JC, Nwakalor C (2009) Development and evaluation of vegetable milk from Treculia Africana (decne) seeds. Pak J Nutr 8:233–238

    CAS  Article  Google Scholar 

  • Osman MM, Razig KA (2010) Quality attributes of soy yoghurt during storage period. Pak J Nutr 9(11):1088–1093

    CAS  Article  Google Scholar 

  • Osundahunsi OF, Amosu D, Ifesan BOT (2007) Quality evaluation and acceptability of soy-yoghurt with different colours and fruit flavours. Am J Food Technol 2(4):273–280

    CAS  Article  Google Scholar 

  • Peterson M S, Johnson AH (1978) Encyclopedia of food technology and food science series. Vol. 3. Encyclopedia of food science, AVI Publishing Company, Inc

  • Rasdhari M, Parekh T, Dave N, Patel V, Subhash R (2008) Evaluation of various physico-chemical properties of Hibiscus sabdariffa and L. casein incorporated probiotic yoghurt. Pak J Biol Sci 11:2101–2108

    CAS  Article  Google Scholar 

  • Ren H, Liu H, Endo H, Takag Y, Hayashi T (2006) Anti-mutagenic and anti-oxidatives activities found in Chinese traditional soybean fermented products furu. Food Chem 95:71–76

    CAS  Article  Google Scholar 

  • Rivkin RB, Anderson MR, Lajzerowicz C (1996) Microbial processes in cold oceans. I. Relationship between temperature and bacterial growth rate. Aquat Microb Ecol 10(3):243–254

    Article  Google Scholar 

  • Salvador A, Fiszman SM (2004) Textural and sensory characteristics of whole and skimmed flavored Set-type yoghurt during long storage. J Dairy Sci 87:4033–4041

    CAS  Article  Google Scholar 

  • Sengupta S, Bhowal J, Bhattacharyya DK (2013) Development of new kinds of soy yogurt containing functional lipids as superior quality food. Annals Biol Res 4(4):144–151

    CAS  Google Scholar 

  • Shirai K, Gutierrez-Durán M, Marshall VME, Revah-Moiseev S, García-Garibay M (1992) Production of a yogurt-like product from plant foodstuffs and whey. sensory evaluation and physical attributes. J Sci Food Agric 59(2):205–210

    CAS  Article  Google Scholar 

  • Stijepić M, Glušac J, Đurđević-Milošević D, Pešić-Mikulec D (2013) Physicochemical characteristics of soy probiotic yoghurt with inulin addition during the refrigerated storage. Rom Biotechnol Lett 18(2):8077–8085

    Google Scholar 

  • Tamime AY, Deeth HC (1980) Yoghurt technology and biochemistry. J Food Prot 43(12):939–977

    CAS  Google Scholar 

  • Yusuf A, Ayedun H, Sanni L (2008) Chemical composition and functional properties of raw and roasted Nigerian benniseed (Sesamum indicum) and bambara groundnut (Vigna subterranean). Food Chem 111:277–282

    CAS  Article  Google Scholar 

  • Zare F, Champagne CP, Simpson BK, Orsat V, Boye JI (2012) Effect of the addition of ingredients to milk on acid production by probiotic and yoghurt starter culture. LWT – Food Sci Technol 45:155–160

    CAS  Article  Google Scholar 

Download references

Author information

Affiliations

Authors

Corresponding author

Correspondence to Kolawole. O. Falade.

Rights and permissions

Reprints and Permissions

About this article

Verify currency and authenticity via CrossMark

Cite this article

Falade, K.O., Ogundele, O.M., Ogunshe, A.O. et al. Physico-chemical, sensory and microbiological characteristics of plain yoghurt from bambara groundnut (Vigna subterranea) and soybeans (Glycine max). J Food Sci Technol 52, 5858–5865 (2015). https://doi.org/10.1007/s13197-014-1657-3

Download citation

  • Revised:

  • Accepted:

  • Published:

  • Issue Date:

  • DOI: https://doi.org/10.1007/s13197-014-1657-3

Keywords

  • Bambara groundnut
  • Soybeans
  • Fermentation
  • Yoghurt
  • Quality