Abstract
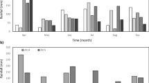
In the southeastern USA, the most widespread and damaging disease of pecan is scab, caused by Venturia effusa. Although scab can be controlled using conventional chemical methods, organic pecans that attract a premium price mandate the use of organic fungicides. Also, organic production is an environmentally sustainable method. However, where susceptible pecan cultivars are grown, there are limited options for organic management of scab. We conducted experiments to compare organic fungicides to control scab on the susceptible cv. Desirable in 2011, 2012, 2014, 2015, and 2016. The alternatives compared included Bordeaux mixture, compost tea, sodium bicarbonate, Bacillus subtilis, sulfur, cuprous oxide, and extract of the Giant Knotweed (Reynoutria sachalinensis). Rainfall and scab severity differed between seasons. There was consistently low severity on foliage, with little or no difference between treatments. Similarly at the time of the first fruit assessment, the severity was low and the differences in severity small and inconsistent between seasons and treatments. However, by the time of the second fruit assessment, severity of scab had increased and consistent differences among treatments existed (except in the drought year of 2011, when scab severities were very low and similar to the control). In all other years, the control treatment had significantly more severe scab compared to some (2012 and 2014) or all other treatments (2015 and 2016). Extract of the Giant Knotweed as a fungicide was included in 2012, 2014, 2015, and 2016, and fruit on those trees had less severe scab in all years compared to that on fruit of the control trees. In three seasons (2012, 2015, and 2016), applications of Bordeaux mixture resulted in a reduction in scab severity. Compost tea, Sodium bicarbonate, B. subtilis, sulfur, and cuprous oxide significantly reduced scab compared to the control in one or two seasons, but were not consistent among seasons, and were never more efficacious compared to the extract of the Giant Knotweed. Extract of the Giant Knotweed and Bordeaux mixture appear to offer the greatest potential as organic approaches for managing scab in pecan. However, wherever possible, planting of scab resistant cultivars should be considered as a first line of defense.

Similar content being viewed by others
Explore related subjects
Discover the latest articles and news from researchers in related subjects, suggested using machine learning.References
Adaskaveg JE, Gubler D, Michailides T (2017) Fungicides, bactericides, and biologicals for deciduous tree fruit, nut, strawberry, and vine crops 2017. UC IPM Pest Management Guidelines 64 p. http://ipm.ucanr.edu/PDF/PMG/fungicideefficacytiming.pdf
Akinsanami OA, Miles AK, Drenth A (2007) Timing of fungicide applications for control of husk spot caused by Pseudocercospora macadaiae in macadamia. Plant Dis 91:1675–1681
Biggs AR (2007) Evaluation of Effective Microorganisms® and other organic biological materials for control of apple diseases, 2005. Plant Dis Manag Rep 1:PF002
Bock CH, Brenneman TB, Wood BW, Stevenson KL (2016) Challenges of managing disease in tall orchard trees – pecan scab, a case study. 2016. CAB Rev 12(008):1–18
Bock CH, Hotchkiss MW, Brenneman TB, Stevenson KL, Goff WD, Smith MW, Wells L, Wood BW (2017) Severity of scab and its effect on fruit weight in mechanically hedge-pruned and topped pecan trees. Plant Dis 101:785–793
Bock CH, Hotchkiss MW, Shapiro-Ilan DI, Wells L, Brock J, Brenneman TB, Mizell R (2018) Efficacy of Bordeaux mixture in reducing pecan scab in the southeastern U.S.A. Organic Agriculture. Latest Articles: https://link.springer.com/article/10.1007/s13165-018-0218-x
Brenneman TB (2009) Efficacy of Bacillus mycoides isolate J on pecan scab. Phytopathology 99:S196
Brenneman TB, Bertrand PF, Mullinix B (1999) Spray advisories for pecan scab: recent developments in Georgia. In: McCraw BE, Dean EH, Wood BW (eds) The Pecan Industry: Current Situation and Future Challenges, Third National Pecan Workshop Proceedings, USDA Agricultural Research Service, 1998–04. USDA AgEricultural Research Service, Washington, DC, pp 7–14
Brenneman TB, Mixon JA, Hilton PA (2002) Evaluation of labeled and experimental fungicides for scab control on Wichita pecan, 2001. Fungic Nemat Tests 58:STF028
Brock J, Brenneman TB, Pecan (2015) p14. In: Georgia plant disease loss estimates 2013, Compiled by Martinez-Espinoza A., University of Georgia Extension Annual Publication 102-6. 21 p. http://extension.uga.edu/publications/
Cawoy H, Bettiol W, Fickers P, Ongena M (2011) Bacillus-based biological control of plant diseases. In: Margarita Stoytcheva (Ed.) Pesticides in the modern world - pesticides use and management. IntechOpen, London, p 273–301
Cole JR (1948) A comparison of home-made Bordeaux mixture with other fungicides for control of scab on the Schley and Moore varieties of pecan. Phytopathology 38:106–109
Converse RH (1953) Pecan scab control experiments in 1953. Proc Oklahoma Pecan G Assoc 23:2–8
Cromwell M, Berkett LP, Darby HM, Ashikaga T (2011) Alternative organic fungicides for apple scab management and their non-target effects. HortScience 46:1254–1259
Demaree JB (1924) Pecan scab with special reference to sources of the early spring infections. J Agric Res 28:321–333
Electronic Code of Federal Regulations (2018) USDA Organic National Organic Program. National list of allowed and prohibited substances. http://www.ams.usda.gov/AMSv1.0/ams.fetchTemplateData.do?template=TemplateN&navID=NationalListLinkNOPNationalOrganicProgramHome&rightNav1=NationalListLinkNOPNationalOrganicProgramHome&topNav=&leftNav=&page=NOPNationalList&resultType=&acct=nopgeninfo
Gottwald TR (1985) Influence of temperature, leaf wetness period, leaf age, and spore concentration on infection of pecan leaves by conidia of Cladosporium caryigenum. Phytopathology 75:190–194
Gottwald TR, Bertrand PF (1983) Effect of time of inoculation with Cladosporium caryigenum on pecan scab development and nut quality. Phytopathology 73:714–718
Jacobsen B, Bradley C, Zidack N, Brennemon T, Miller J, Washington J, Melinger C, Larsen B, Neher O (2007) Commercialization of Bacillus mycoides isolate Bmjas a broad spectrum biological plant disease control agent. Phytopathology 97:S96 (Abstract)
Jamar L, Lefrancq B, Lateur M (2007) Control of apple scab (Venturia inaequalis) with bicarbonate salts under controlled environment. J Plant Dis Protect 114:221–227. https://doi.org/10.1007/BF03356221
Kimbrough RD (1976) Toxicity and health effects of selected organotin compounds: a review. Environ Health Perspect 14:51–56
Kunz S, Mögel G, Hinze M, Volk F (2008) Control of apple scab by curative applications of biocontrol agents. Proceedings of the 13th International Conference on Cultivation Technique and Phytopathological Problems in Organic Fruit Growing. 18th Jan to 20th Feb. 2008 at Weinsberg/Germany. P 62–67. http://www.ecofruit.net/2008/062-067.pdf
Lalancette N, Blaus L, Feldman P (2017) Management of apple diseases with conventional and organic fungicides, 2016. Plant Dis Manag Rep 11:PF016
Littrell RH (1976) Resistant pecan scab strains to benlate and pecan fungicide management. Pecan South 3:335–337
Littrell RH, Bertrand PF (1981) Management of pecan fruit and foliar disease with fungicides. Plant Dis 65:769–774
Marine SC, Newark MJ, Korir RC, Everts KL (2016) Evaluation of rotational biopesticide programs for disease management in organic cucurbit production. Plant Dis 100:2226–2233
OMRI (2018) Organic Materials Review Institute: Organic Products List p 113. https://www.omri.org/sites/default/files/opl_pdf/CropByProduct-NOP.pdf
Reynolds KL, Brenneman TB, Bertrand PF (1997) Sensitivity of Cladosporium caryigenum to propiconazole and fenbuconazole. Plant Dis 81:163–166
Rur M, Rämert B, Hökeberg M, Vetukuri RR, Grenville-Briggs L, Liljeroth E (2018) Screening of alternative products for integrated pest management of cucurbit powdery mildew in Sweden. Eur J Plant Pathol 150:127–138 https://doi.org/10.1007/s10658-017-1258-x
Schaeffer CH, Miura T, Dupras EF Jr, Wilder WH (1981) Environmental impact of the fungicide triphenyltin hydroxide after application to rice fields. J Econ Entomol 74:597–600
Scheuerell S, Mahaffee W (2002) Compost tea: principles and prospects for plant disease control. Compost Sci Util 10:313–338. https://doi.org/10.1080/1065657X.2002.10702095
Schnabel G, Layne D, Holb I (2007) Micronised and non-micronised sulphur applications control peach scab equally well with negligible differences in fruit quality. Ann Appl Biol 150:131–139
Sparks D, Yates IE, Bertrand PF, Brenneman TB (2009) The relative importance of elevation and rainy days on the incidence of scab damage of pecan nuts in the southeastern USA. J Hortic Sci Biotechnol 84:137–142
St. Martin CCG (2014) Potential of compost tea for suppressing plant diseases. CAB Rev 9(032):1–38
Stevenson KL, Bertrand PF (2001) Within-season dynamics of yield loss due to pecan scab fruit infections. Phytopathology 91:S85
Tamm L, Amsler T, Scharer H, Refardt M (2006) Efficacy of Armicarb (potassium bicarbonate) against scab and sooty blotch on apples. Proceedings of the 12th International Conference on Cultivation Technique and Phytopathological Problems in Organic Fruit-Growing, Jan (31–2 Feb. 2006) (Intl. Federation of Organic Agr, Movements)
Turechek WW, Stevenson KL (1998) Effects of host resistance, temperature, leaf wetness, and leaf age on infection and lesion development of pecan scab. Phytopathology 88:1294–1301
Vicent A, Armengol J, García-Jiménez J (2007) Rain fastness and persistence of fungicides for control of alternaria brown spot of citrus. Plant Dis 91:393–399
Waite MB (1911) Pecan scab. Science 33:77–78
Wells L (2017) Commercial pecan spray guide. University of Georgia Extension. UGA Extension Bulletin 841, Athens
Xianliang Yi A, Leung KMY, Lam MHW, Lee J-S, Giesy JP (2012) Review of measured concentrations of triphenyltin compounds in marine ecosystems and meta-analysis of their risks to humans and the environment. Chemosphere 89:1015–1025
Yadav NVS, de Vos SM, Bock CH, Wood BW (2013) Development and validation of standard area diagrams to aid assessment of pecan scab symptoms on fruit. Plant Pathol 62:325–335
Yohalem DS, Nordheim EV, Andrews JH (1996) The effect of water extracts of spent mushroom compost on apple scab in the field. Phytopathology 86:914–922
Acknowledgements
We appreciate the excellent technical support of Wanda Evans, Shirley Anderson, and temporary hire Susan Burrell, and assistance from summer student hires Jason Shipp, Kaylee Carlson, Andrew Hudgens, Frank Wilson, and Sarah Morrill.
Funding
CHB and MWW are supported by the USDA-ARS National Programs through CRIS project 6042-21220-012-00 and DS by CRIS project 6042-22000-023-00-D. USDA-National Institute of Food and Agriculture award #2013-51106-21234 (Organic Transitions Program) was received in support of this research. The authors would also like to thank the Georgia Agricultural Commodity Commission for funding a portion of the research.
Author information
Authors and Affiliations
Corresponding author
Rights and permissions
About this article
Cite this article
Bock, C.H., Hotchkiss, M.W., Shapiro-Ilan, D.I. et al. A comparison of organic fungicides: alternatives for reducing scab on pecan. Org. Agr. 9, 305–314 (2019). https://doi.org/10.1007/s13165-018-0229-7
Received:
Accepted:
Published:
Issue Date:
DOI: https://doi.org/10.1007/s13165-018-0229-7


