Abstract
Recent evidence suggests wild rice (Zizania palustris), an important resource for migrating waterfowl, is declining in parts of central North America, providing motivation to rigorously quantify the relationship between waterfowl and wild rice. A hierarchical mixed-effects model was applied to data on waterfowl abundance for 16 species, wild rice stem density, and two measures of water depth (true water depth at vegetation sampling locations and water surface elevation). Results provide evidence for an effect of true water depth (TWD) on wild rice abundance (posterior mean estimate for TWD coefficient, βTWD = 0.92, 95% confidence interval = 0.11—1.74), but not for an effect of wild rice stem density or water surface elevation on local waterfowl abundance (posterior mean values for relevant parameters overlapped 0). Refined protocols for sampling design and more consistent sampling frequency to increase data quality should be pursued to overcome issues that may have obfuscated relationships evaluated here.


Similar content being viewed by others
Explore related subjects
Discover the latest articles and news from researchers in related subjects, suggested using machine learning.References
Aagaard K, Crimmins SM, Thogmartin WE, Tavernia B, Lyons J (2015) Evaluating predictors of local dabbling duck abundance during migration: managing the spectrum of conditions faced by migrants. Wild 65:100–120
Afton AD, Hier RH, Paulus SL (1991) Lesser scaup diets during migration and winter in the Mississippi flyway. Canadian Journal of Zoology 69:328–333
Bellrose FC (1980) Ducks, geese, and swans of North America. Stackpole Books, Harrisburg, Pennsylvania
Brooks SP, Gelman A (1997) General methods for monitoring convergence of iterative simulations. Journal of Computational and Graphical Statistics 7:434–455
Carpenter B, Gelman A, Hoffman M, Lee D, Goodrich B, Betancourt M, Brubaker MA, Guo J, Li P, Riddell A (2017) Stan: a probabilistic programming language. Journal of Statistical Software 76(1):1–32. https://doi.org/10.18637/jss.v076.i01.
Elphick CS (2010) Why study birds in rice fields? Waterbirds 33:1–7
Elphick CS, Taft O, Lourenço PM (2010) Management of rice fields for birds during the non-growing season. Waterbirds 33:181–192
Fasola M, Brangi A (2010) Consequences of rice agriculture for waterbird population size and dynamics. Waterbirds 33:160–166
Gelman A, Rubin DB (1992) Inference from iterative simulation using multiple sequences. Statistical Science 7:457–511
Gonsoski J, Burk TE, Bolstad PV, Balogh M (2005) Rice Lake National Wildlife Refuge historic wild rice mapping (1983–2004). University of Minnesota Staff Paper Series No. 181
Greer DM, Dugger BD, Reinecke KJ, Petrie MJ (2009) Depletion of rice as a food of waterfowl wintering in the Mississippi Alluvial Valley. Journal of Wildlife Management 73:1125–1133
Honaker J, King G, Blackwell M (2011) Amelia II: a program for missing data. Journal of Statistical Software 45:1–47 http: //www.jstatsoft.org/v45/i07/
Ibáñez C, Curcó A, Riera X, Ripoll I, Sánchez C (2010) Influence on birds of rice field management practices during the growing season: a review and an experiment. Waterbirds 33:167–180
Jenks AE (1900) The wild rice gatherers of the Upper Lakes: a study in American primitive economics. Pages 1013–1137 in nineteenth annual report of the Bureau of American Ethnology. Government Printing Office, Washington, D.C., pp 1897–1898
Longoni V (2010) Rice fields and waterbirds in the Mediterranean region and the Middle East. Waterbirds 33:83–96
Marco-Méndez C, Prado P, Ferrero-Vicente LM, Ibáñez C, Sánchez-Lizaso JL (2015) Rice fields used as feeding habitats for waterfowl throughout the growing season. Waterbirds 38:238–251
Martin AC, Zim HS, Nelson AL (1951) American wildlife and plants: a guide to wildlife food habits. Dover, New York
Millar RB, McKechnie S, Jordan CE (2012) Simple estimators of salmonid escapement and its variance using a new area-under-the-curve method. Canadian Journal of Fish and Aquatic Science 69:1002–1015
Moyle JB (1944) Wild rice in Minnesota. Journal of Fish and Wildlife Management 8:177–184
Pernollet CA, Cavallo F, Simpson D, Gauthier-Clerc M, Guillemain M (2016) Seed density and waterfowl use of rice fields in Camargue, France. Journal of Wildlife Management 81:96–111. https://doi.org/10.1002/jwmg.21167
Pillsbury RW, McGuire MA (2009) Factors affecting the distribution of wild rice (Zizania palustris) and the associated macrophyte community. Wetlands 29:724–734
R Core Team (2016) R: a language and environment for statistical computing. R Foundation for Statistical Computing, Vienna. URL https: //www.R-project.org/
Roy CL, Herwig CM, Zicus M, Rave DP, Brininger WL, McDowell MKD (2014) Refuge use by hatching-year ring-necked ducks: an individual-based telemetry approach. Journal of Wildlife Management 78:1310–1317
Stafford JD, Kaminski RM, Reinecke KJ, Manley SW (2006) Waste rice for waterfowl in the Mississippi Alluvial Valley. Journal of Wildlife Management 70:61–69
Stan Development Team (2015) Stan: a C++ library for probability and sampling, version 2.10.0. URL: http: //mc-stan.org/
US Fish and Wildlife Service (USFWS) (2005) Rice Lake National Wildlife Refuge. Available: http: //wwwfwsgov/refuge/rice_lake/ (August 2015)
Vennum T (1988) Wild rice and the Ojibway people. Minnesota Historical Society Press, St. Paul
Webster CG (1964) Fall foods of soras from two habitats in Connecticut. Journal of Wildlife Management 28:163–165
Acknowledgements
We thank M. Mitchell, M. Balogh, and Rice Lake National Wildlife Refuge Staff for valuable efforts with data collection and protocol interpretation. We thank several anonymous reviewers for useful comments on various drafts of this manuscript. Any use of trade, product, or firm names are for descriptive purposes only and do not imply endorsement by the U.S. Government. The findings and conclusions in this article are those of the authors and do not necessarily represent the views of the U.S. Fish and Wildlife Service.
Author information
Authors and Affiliations
Corresponding author
Electronic supplementary material
ESM 1
(TXT 35 kb)
Appendices
Appendix 1. Details of methods used to impute missing data, and corresponding results.
Data were imputed to account for missing observations between sampling periods in the water level and rice data. The Amelia package was used to impute data, in R version 3.3.1 (R Core Team 2016). This package performs multiple imputation using an ‘expectation-maximization with bootstrapping’ algorithm, creating multiple complete datasets using a series of imputations to compile distributions with which to supply mean and variance estimates for each missing data point (Honaker et al. 2011). In each complete dataset, the observed data are not imputed. The average of 10 imputation chains was used in subsequent modeling efforts.
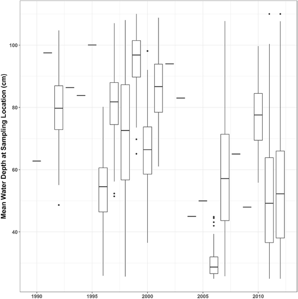
There were 52.2%, and 39.1% of values missing from the TWD and rice density records, respectively. Large proportions of missing data in TWD and rice density led to wide ranges for imputed data in both records (Appendix Figs. 3 and 4). Nevertheless, the median values of the posterior estimates from the Amelia method for imputing missing data were reasonable, given the available observed data.
Appendix 2. Stan code and the associated data used to develop hierarchical water-rice-waterfowl model.

Appendix 3. Simulated data to evaluate the ability of the model to accurately approximate data from a known generating function.
We simulated data starting with 100 values to approximate true water depth at sampling locations (TWD), pulled from a normal distribution with a mean of 75 + (30 × sin(2 × pi × 0.01 × yi)), with yi = year i and a standard deviation of 2; the 75 represents typical water depths for optimal wild rice growth, 70 to 77 cm (Pillsbury and McGuire 2009); this generates cyclical patterns in the data with noise. We then generated 100 values meant to represent wild rice density as a function of the mean stem density in a given area (~60 stems per m2), water depth, and random noise (mean stem density - [βTWD × TWD] + Norm[mean = 0, sd = 5]). Finally, we generated 100 values to represent waterfowl abundance as a function of wild rice density and random noise: ([βRD × wild rice density] + Norm[mean = 0, sd = 100]).
Appendix 4. Comparison of Rice Lake NWR waterfowl abundance with waterfowl breeding population surveys (BPOP). We only show the 11 species that occurred in both the Rice Lake NWR and BPOP records for the period of time for this study (1990–2012). Species are listed using AOU codes; see Table 1 for common and scientific names.

Appendix 5
Rice density input data (black dots, with 95% confidence intervals for the imputed data) and posterior time series (gray lines, with 95% credible intervals in gray shaded region) for each species. The models are largely identical for each species (as expected, with consistent input data), with a negligible degree of variation present as a result of the random sampling of initial conditions for each application of the model. Species are listed using AOU codes; see Table 1 for common and scientific names
Rights and permissions
About this article
Cite this article
Aagaard, K., Eash, J., Ford, W. et al. Modeling the Relationship between Water Level, Wild Rice Abundance, and Waterfowl Abundance at a Central North American Wetland. Wetlands 39, 149–160 (2019). https://doi.org/10.1007/s13157-018-1025-6
Received:
Accepted:
Published:
Issue Date:
DOI: https://doi.org/10.1007/s13157-018-1025-6







