Abstract
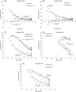
Tidal wetlands play an important role in dissipating hydrodynamic energy. Wave attenuation in vegetation depends on plant characteristics, as well as on hydrodynamic conditions. In the pioneer zone of salt marshes, species co-occur that differ widely in their growth strategies, and it is anticipated that these species act differently on incoming waves. In this field study we investigated, under different hydrodynamic forcing and tidal inundation levels, the wave attenuating capacity of two contrasting pioneer salt marsh species that co-occur in the Yangtze estuary, China. Our study shows that vegetation can reduce wave heights up to 80% over a relatively short distance (<50 m). Our results further indicate that Spartina alterniflora is able to reduce hydrodynamic energy from waves to a larger extent than Scirpus mariqueter, and therefore has a larger ecosystem engineering capacity (2.5× higher on average). A higher standing biomass of S. alterniflora explained its higher wave attenuation at low water depths. Being much taller compared to S. mariqueter, S. alterniflora also attenuated waves more with increasing water depth. We conclude that knowledge about the engineering properties of salt marsh species is important to better understand wave attenuation by tidal wetlands and their possible role in coastal protection.






Similar content being viewed by others
References
Augustin LN, Irish JL, Lynett P (2009) Laboratory and numerical studies of wave damping by emergent and near-emergent vegetation. Coastal Engineering 56:332–340
Barbier EB, Koch EW, Silliman BR, Hacker SD, Wolanski E, Primavera J, Granek EF, Polasky S, Aswani S, Cramer LA, Stoms DM, Kennedy CJ, Bael D, Kappel CV, Perillo GME, Reed DJ (2008) Coastal ecosystem–based management with nonlinear ecological functions and values. Science 319. doi:10.1126/science.1150349
Borsje BW, van Wesenbeeck BK, Dekker F, Paalvast P, Bouma TJ, van Katwijk MM, de Vries MB (2011) How ecological engineering can serve in coastal protection. Ecological Engineering 37:113–122
Bouma TJ, De Vries MB, Low E, Peralta G, Tánczos IC, van de Koppel J, Herman PMJ (2005) Trade-offs related to ecosystem-engineering: a case study on stiffness of emerging macrophytes. Ecology 86:2187–2199
Bouma TJ, Van Duren LA, Temmerman S, Claverie T, Blanco-Garcia A, Ysebaert T, Herman PMJ (2007) Spatial sedimentation patterns within patches of epibenthic structures: combining field, flume and modelling experiments. Continental Shelf Research 27:1020–1045
Bouma T, de Vries M, Herman PMJ (2010) Comparing ecosystem engineering efficiency of two plant species with contrasting growth strategies. Ecology 91:2696–2704
Callaway J, Josselyn M (1992) The introduction and spread of smooth cordgrass (Spartina alterniflora) in South San Francisco Bay. Estuaries and Coasts 15:218–226
Feagin RA, Irish JL, Möller I, Williams AM, Colón-Rivera RJ, Mousavi ME (2011) Short communication: engineering properties of wetland plants with application to wave attenuation. Coastal Engineering 58:251–255
Fonseca MS, Cahalan JA (1992) A preliminary evaluation of wave attenuation by four species of seagrass. Estuarine, Coastal and Shelf Science 35:565–576
Jones CG, Lawton JH, Shachak M (1994) Organisms as ecosystem engineers. Oikos 69:373–386
Jones CG, Lawton JH, Shachak M (1997) Positive and negative effects of organisms as physical ecosystem engineers. Ecology 78:1946–1957
Knutson PL, Brochu RA, Seelig WN, Inskeep M (1982) Wave damping in Spartina alterniflora marshes. Wetlands 2:87–104
Kobayashi N, Raichlen AW, Asano T (1993) Wave attenuation by vegetation. Journal of Waterway, Port, Coastal, and Ocean Engineering 119:30–48
Koch EW, Barbier EB, Silliman BR, Reed DJ, Perillo GM, Hacker SD, Granek EF, Primavera JH, Muthiga N, Polasky S, Halpern BS, Kennedy CJ, Kappel CV, Wolanski E (2009) Non-linearity in ecosystem services: temporal and spatial variability in coastal protection. Frontiers in Ecology and the Environment 7(1):29–37. doi:10.1890/080126
Leonard LA, Reed DJ (2002) Hydrodynamics and sediment transport through tidal marsh canopies. Journal of Coastal Research, Special Issue 36:459–469
Li B, Liao C, Zhang X, Chen H, Wang Q, Chen Z, Gan X, Wu J, Zhao B, Ma Z, Cheng X, Jiang L, Chen J (2009) Spartina alterniflora invasions in the Yangtze River estuary, China: An overview of current status and ecosystems effects. Ecological Engineering 35:511–520
Mendez FJ, Losada IJ (2004) An empirical model to estimate the propagation of random breaking and non-breaking waves over vegetation fields. Coastal Engineering 51:103–118
Möller I (2006) Quantifying saltmarsh vegetation and its effect on wave height dissipation: results form a UK East coast saltmarsh. Estuarine, Coastal and Shelf Science 69:337–351
Möller I, Spencer TR (2002) Wave dissipation over macro-tidal saltmarshes: effects of marsh edge typology and vegetation change. Journal of Coastal Research, Special Issue 36:506–521
Möller I, Spencer T, French JR (1996) Wind wave attenuation over saltmarsh surfaces: preliminary results from Norfolk, England. Journal of Coastal Research 12:1009–1016
Möller I, Spencer TR, French JR, Leggett DJ, Dixon M (1999) Wave transformation over salt marshes: a field and numerical modeling study from North Norfolk, England. Estuarine, Coastal and Shelf Science 49:411–426
Morris JT, Sundareshwar PV, Nietch CT, Kjerfve B, Cahoon DR (2002) Responses of coastal wetlands to rising sea level. Ecology 83:2869–2877
Neumeier U, Amos CL (2006) The influence of vegetation on turbulence and flow velocities in European salt-marshes. Sedimentology 53:259–277
Schwarz C, Ysebaert T, Zhu Z, Zhang L, Bouma TJ, Herman PMJ (2011) Abiotic factors governing the establishment and expansion of two contrasting salt marsh species in the Yangtze estuary, China. Wetlands. doi:10.1007/s13157-011-0212-5
Wayne CJ (1976) The effects of sea and marsh grass on wave energy. Coastal Research Notes 14:6–8
Xiao D, Zhang L, Zhu Z (2010) The range expansion patterns of Spartina alterniflora on salt marshes in the Yangtze Estuary, China. Estuarine, Coastal and Shelf Science 88:99–104
Yang SL, Ding PX, Chen SL (2001) Changes in progradation rate of the tidal flats at the mouth of the Changjiang River, China. Geomorphology 38:167–180
Yang SL, Zhao QY, Belkin IM (2002) Temporal variation in the sediment load of the Yangtze River and the influences of the human activities. Journal of Hydrology 263:56–71
Yang SL, Zhang J, Zhu J, Smith JP, Dai SB, Gao A (2005) Impact of Dams on Yangtze River sediment supply to the sea and delta wetland response. Journal of Geophysical Research 110:F03006. doi:10.1029/2004JF000271
Yang SL, Li H, Ysebaert T, Bouma TJ, Zhang WX, Wang YY, Li P, Li M, Ding PX (2008) Spatial and temporal variations in sediment grain size in tidal wetlands, Yangtze Delta: on the role of physical and biotic controls. Estuarine, Coastal and Shelf Science 77:657–671
Yang SL, Milliman JD, Li P, Xu K (2011) 50,000 dams later: erosion of the Yangtze River and its delta. Global and Planetary Change 75:14–20
Acknowledgments
We thank the Programme Strategic Alliances between the People’s Republic of China and the Netherlands for funding this research (PSA 04–PSA–E–01; 2008DFB90240). We also want to thank especially our Chinese cooperation partners of the SKLEC research institute at the East China Normal University in Shanghai for their support during the field work. We acknowledge the EU-project THESEUS for supporting SKLEC and NIOO for research on the application of salt marshes for coastal defense. This is Netherlands Institute of Ecology (NIOO-KNAW) publication number 5078.
Author information
Authors and Affiliations
Corresponding author
Rights and permissions
About this article
Cite this article
Ysebaert, T., Yang, SL., Zhang, L. et al. Wave Attenuation by Two Contrasting Ecosystem Engineering Salt Marsh Macrophytes in the Intertidal Pioneer Zone. Wetlands 31, 1043–1054 (2011). https://doi.org/10.1007/s13157-011-0240-1
Received:
Accepted:
Published:
Issue Date:
DOI: https://doi.org/10.1007/s13157-011-0240-1


