Abstract
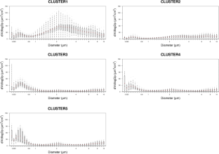
For understanding the aerosol characteristics over the Yellow Sea according to the air flow patterns in East Asia, the aerosol volume concentration distribution by particle size (size distribution) of the shipborne samples collected in the KORUS-AQ campaign is examined in conjunction with air quality (AQ) model simulations and air parcel trajectory analyses. Cluster analyses of the air parcel trajectories show that 42% of the collected air samples originated in Korea and Japan, 30% in inland/east-coast China, 16% in the highlands of Inner Mongolia, and 11% in the East China Sea. The aerosol size distribution varies characteristically according to the upstream path of individual trajectory clusters; particles of diameters <1 μm dominate when the upstream pathways include China, Korea, and/or Japan, that are significant sources of anthropogenic aerosols. Air flows from the East China Sea, a region virtually free of anthropogenic aerosol sources, show aerosol concentrations peaks at larger sizes of 1–5 μm. The flows from the Inner Mongolia are characterized by a bimodal distribution with a peak at 0.7 μm and another peak of a similar magnitude at diameters >2 μm, indicating a mixed industrial-dust aerosol type in which the dust particles from the Inner Mongolia is mixed with fine particles in the industrialized northeast China. Model studies for cases of typical air flow trajectory groups show that the model simulates the spatial distribution of the satellite-observed particulate matter reasonably, but underestimates the observed volume concentration of fine particles <1 μm.








References
Andreas, E.L.: A new sea spray generation function for wind speeds up to 32 m s−1. J. Phys. Oceanogr. 28, 2175–2184 (1998)
Andreas, E.L.: A review of the sea spray generation function for the open ocean. In: Perrie, W (ed) Atmosphere–Ocean Interactions, vol. 1, pp. 1–46. WIT Press (2002)
Arimoto, R., Duce, R.A., Savoie, D.L., Prospero, J.M., Talbot, R., Cullen, J.D., Tomza, U., Lewis, N.F., Ray, B.J.: Relationships among aerosol constituents from Asia and the North Pacific during PEMWest A. J. Geophys. Res. 101, 2011–2023 (1996)
Baron, P.A.: Calibration and use of the aerodynamic particle sizer (APS 3300). Aerosol Sci. Technol. 5, 55–67 (1986)
Byun, D.W., Schere, K.L.: Review of the governing equations, computational algorithms and other components of the Models-3 community multiscale air quality (CMAQ) modeling system. Appl. Mech. Rev. 59(2), 51–77 (2006). https://doi.org/10.1115/1.2128636
Carmichael, G.R., Sakurai, T., Streets, D., Hozumi, Y., Ueda, H., Park, S.U., Fung, C., Han, Z., Kajino, M., Engardt, M., Bennet, C., Hayami, H., Sartelet, K., Holloway, T., Wang, Z., Kannari, A., Fu, J., Matsuda, K., Thongboonchoo, N., Amann, M.: MICS-Asia II: the model intercomparison study for Asia phase II methodology and overview of findings. Atmos. Environ. 42(15), 3468–3490 (2008)
Ding, Y.H., Liu, Y.J.: Analysis of long-term variations of fog and haze in China in recent 50 years and their relations with atmospheric humidity. Sci. China Ser. D. 57, 36–46 (2014)
Gantt, B., Meskhidze, N., Kamykowski, D.: A new physically based quantification of marine isoprene and primary organic aerosol emissions. Atmos. Chem. Phys. 9, 4915–4927 (2009)
Gong, S.L.: A parameterization of sea-salt aerosol source function for sub- and super-micron particles. Glob. Biogeochem. Cycles. 17, 1097 (2003). https://doi.org/10.1029/2003GB002079
Hatakeyama, S., Takami, A., Sakamaki, F., Mukai, H., Sugimoto, N., Shimisu, A.: Aerial measurement of air pollutants and aerosols during 20-22 March 2001 over the East China Sea. J. Geophys. Res. 109, D13304 (2004)
Jaffe, D., Anderson, T., Covert, D., Kotchenruther, R., Trost, B., Danielson, J., Simpson, W., Berntsen, T., Karlsdottir, S., Blake, D., Harris, J., Carmichael, G., Uno, I.: Transport of Asian air pollution to North America. Geophys. Res. Lett. 26(6), 711–714 (1999)
Lee, S., Ho, C.-H., Choi, Y.-S.: High-PM10 concentration episodes in Seoul, Korea: background sources and related meteorological conditions. Atmos. Environ. 45, 7240–7247 (2011)
Lee, G., Oh, H.-R., Ho, C.-H., Kim, J., Song, C.-K., Chang, L.-S., Lee, J.-B., Lee, S.: Airborne measurements of high pollutant concentration events in the free troposphere over the west coast of South Korea between 1997 and 2011. Aerosol Air Qual. Res. 16, 1118–1130 (2016)
Lin, M., Fiore, A.M., Horowitz, L.W., Cooper, O.R., Naik, V., Holloway, J., Ryerson, T.B., Warner, J.X., Wiedinmyer, C., Wilson, J., Wyman, B.: Transport of Asian ozone pollution into surface air over the western United States in spring. J. Geophys. Res. 117, D00v07 (2012). https://doi.org/10.1029/2011jD016961
Long, M.S., Keene, W.C., Kieber, D.J., Erickson, D.J., Maring, H.: A sea-state based source function for size- and composition-resolved marine aerosol production. Atmos. Chem. Phys. 11, 1203–1216 (2011)
Meskhidze, N., Xu, J., Gantt, B., Zhang, Y., Nenes, A., Ghan, S.J., Liu, X., Easter, R., Zaveri, R.: Global distribution and climate forcing of marine organic aerosol: 1. Model improvements and evaluation. Atmos. Chem. Phys. 11, 11689–11705 (2011)
Monahan, E.C., Spiel, D.E., Davidson, K.L.: A model of marine aerosol generation via whitecaps and wave disruption. In: Monahan, E., Niocaill, G.M. (eds.) Oceanic Whitecaps, pp. 167–174. Springer, New York (1986)
Myriokefalitakis, S., Vignati, E., Tsigaridis, K., Papadimas, C., Sciare, J., Mihalopoulos, N., Facchini, M.C., Rinaldi, M., Dentener, F.J., Ceburnis, D., Hatzianastasiou, N., O’Dowd, C.D., van Weele, M., Kanakidou, M.: Global modeling of the oceanic source of organic aerosols. Adv. Meteorol. 2010, 939171 (2010)
O’Dowd, C.D., Facchini, M.C., Cavalli, F., Ceburnis, D., Mircea, M., Decesari, S., Fuzzi, S., Yoon, Y.J., Putaud, J.-P.: Biogenically driven organic contribution to marine aerosol. Nature. 431, 676–680 (2004)
Oh, H.-R., Ho, C.-H., Kim, J., Chen, D., Lee, S., Choi, Y.-S., Chang, L.-S., Song, C.-K.: Long-range transport of pollutants originating in China: a possible major cause of multi-day high PM10 episodes during cold season in Seoul, Korea. Atmos. Environ. 109, 23–30 (2015)
Park, S.-K., Marmur, A.M., Kim, S., Tian, D., Hu, Y., McMurry, P., Russel, A.: Evaluation of fine particle number concentrations in CMAQ. Aerosol Sci Technol. 40, 985–996 (2007)
Park, S.-U., Cho, J.H., Park, M.-S.: A simulation of aerosols in Asia with the use of ADAM2 and CMAQ. Advances in Fluid Mechanics and Heat & Mass Transfer. 258–263 (2012)
Park, M.E., Cho, J.H., Kim, S., Lee, S.-S., Kim, J.E., Lee, H.C., Cha, J.W., Ryoo, S.B.: Case study of the heavy Asian dust observed in late February 2015. Atmosphere. 26, 257–275 (2016)
Park, S., Kim, D.-J., Lee, S.-W., Lee, K.-W., Kim, J., Song, E.-J., Seo, K.-H.: Comparison of extended medium-range forecast skill between KMA ensemble, ocean coupled ensemble, and GloSea5. Asia-Pac. J. Atmos. Sci. 53, 393–401 (2017)
Paul, A. B.: Calibration and use of the aerodynamic particle sizer (APS 3300). Aerosol Sci Technol. 5, 55–67 (1985)
Shin, S.E., Jung, C.H., Kim, Y.P.: Estimation of the optimal heated inlet air temperature for the beta-ray absorption method: analysis of the PM10 concentration difference by different methods in coastal areas. Adv. Environ. Res. 1, 69–82 (2012)
Spracklen, D.V., Arnold, S.R., Sciare, J., Carslaw, K.S., Pio, C.: Globally significant oceanic source of organic carbon aerosol. Geophys. Res. Lett. 35, L12811 (2008)
Stein, A.F., Draxler, R.R., Rolph, G.D., Stunder, B.J.B., Cohen, M.D., Ngan, F.: NOAA’s HYSPLIT atmospheric transport and dispersion modeling system. Bull. Am. Meteorol. Soc. 96, 2059–2077 (2015). https://doi.org/10.1175/BAMS-D-14-00110.1
Vignati, E., Facchini, M.C., Rinaldi, M., Scannell, C., Ceburnis, D., Sciare, J., Kanakidou, M., Myriokefalitakis, S., Dentener, F., O’Dowd, C.D.: Global scale emission and distribution of sea-spray aerosol: sea-salt organic enrichment. Atmos. Environ. 44, 670–677 (2010)
Wang, H.-J., Chen, H.-P.: Understanding the recent trend of haze pollution in eastern China: roles of climate change. Atmos. Chem. Phys. 16, 4205–4211 (2016)
Whitby, E.R., McMurry, P.H.: Modal aerosol dynamics modeling. Aerosol Sci. Technol. 27, 673–688 (1997)
Zhang, J., Yu, Z.G., Raabe, T., Liu, S.M., Starke, A., Zou, L., Gao, H.W., Brockmann, U.: Dynamics of inorganic nutrient species in the Bohai seawaters. J. Mar. Syst. 44, 189–212 (2004)
Acknowledgments
This work was funded by the Korea Meteorological Administration Research and Development Program “Research and Development for KMA Weather, Climate, and Earth system Services–Support to Development of Asian Dust and Haze Monitoring and Prediction Technology” under Grant (KMA2018-00521) and by the National Institute of Meteorological Sciences-Korean Meteorological Administration (NIMS-2016-3100).
Author information
Authors and Affiliations
Corresponding author
Additional information
Responsible Editor: Lei Bi.
Publisher’s Note
Springer Nature remains neutral with regard to jurisdictional claims in published maps and institutional affiliations.
Rights and permissions
About this article
Cite this article
Lim, YK., Kim, J., Lee, H.C. et al. Aerosol Physical Characteristics over the Yellow Sea During the KORUS-AQ Field Campaign: Observations and Air Quality Model Simulations. Asia-Pacific J Atmos Sci 55, 629–640 (2019). https://doi.org/10.1007/s13143-018-00100-x
Received:
Revised:
Accepted:
Published:
Issue Date:
DOI: https://doi.org/10.1007/s13143-018-00100-x