Abstract
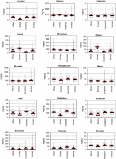
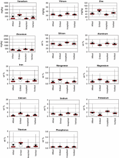
Regional-scale variations in soil geochemistry were investigated with special reference to differences among soil groups and lithology in an area of 9,699 km2 in Medak district, Andhra Pradesh, India. The concentrations of 29 elements (major: Si, Al, Fe, Mn, Mg, Ca, Na, K, Ti, P and trace: As, Ba, Cd, Co, Cr, Cu, F, Mo, Ni, Pb, Rb, Se, Sr, Th, U, V, Y, Zn, Zr) in 878 soil samples collected (557-topsoil, 321-subsoil) at a sampling density of 1 site/17 km2 from 557 sites representative of all the soil types present in studied area were determined, and their elemental composition are discussed. The baseline levels of these elements in soils are determined over different lithological units for the identification of anomalous values relative to these. For the first time, geochemical maps for Medak district are prepared on 1:50,000 scale and the lithogeochemical database generated provides information on the lateral and vertical distribution of elements in soil. The spatial variations in the distribution of elements reflect underlying geologic characteristics. Box-plots reveal that the concentration of most of the elements in soils were not strongly dependent on the soil group but the soil-geochemistry abruptly changes with the change in the soil parent materials indicating that the distribution of elements is mostly influenced by the bedrock lithology and other natural processes acting on them. For instance, the concentrations of Co, Cu, Fe, Mn, Ti, V and Zn are high in soils developed on basaltic terrain while the soils developed on granitic and gneissic terrain exhibit high elemental concentrations of K, Pb, Rb, Si, Th and Y. Alfisols had relatively high contents of elements while entisols had lower concentrations of most of the elements. The database can be used in the chemical characterisation of different geological units as well as applications in various environmental and agricultural fields. The results indicate that regional geology is an important determinant of soil geochemical baselines for soil pollution assessment and further emphasizes the importance of determining background levels locally. The defined baselines can be used to establish background values for future soil surveys.








Similar content being viewed by others
References
Aggett PJ, Mills CE, Plant JA, Simpson PR, Stevenson A, Dingwall-Fordyce I, Halliday CF (1988) A study of environmental geochemistry and health in north east Scotland. In: Thornton I (ed) Geochemistry and health proceedings of the second international symposium. Science Reviews, Northwood, pp 81–91
Appleton JD, Ridgway J (1993) Regional geochemical mapping in developing countries and its application to environmental studies. Appl Geochem 8(Suppl 2):103–110
Arai T (2007) Geochemical characteristics of whole rock and minerals from the late cretaceous granitic rocks of the Rocco Mountains. J Mineral Petrol Sci 102:12–23
Bowen HJM (1979) Environmental chemistry of the elements. Academic Press INC, London LTD 333
British Geological Survey (1990) Regional Geochemical Atlas: Argyll. British Geological Survey
British Geological Survey (1991) Regional Geochemistry of the East Grampian Area. British Geological Survey
Covelli S, Fontolan G (1997) Application of a normalization procedure in determining regional geochemical baselines. Environ Geol 30:34–45
Darnley AG (1990) International geochemical mapping: a new global project. J Geochem Explor 39(1–2):1–13
Darnley A, Björklund A, Bølviken B et al (1995) A global geochemical database for environmental and resource management Recommendations for international geochemical mapping Final report of IGCP-project 259 UNESCO, Paris
Dantu S (2009) Heavy metals concentration in soils of southeastern part of Ranga Reddy district Andhra Pradesh, India. Environ Monit Assess 149:213–222. doi:10.1007/s10661-008-0195-8
Devaraj de Condappa, Galle Sylvie, Dewandel Benoit, Haverkamp Randel (2008) Bimodal zone of the soil textural triangle: common in tropical and subtropical regions. Soil Sci Soc Am J 72:33–40
De Vivo B, Lima A, Bove MA, Albanese S, Cicchella D, Sabatini G, De Lella LA, Protano G, Riccobono F, Frizzo P, Raccagni L (2008) Environmental geochemical maps of Italy from the FOREGS database. Geochem Explor Environ Anal 8:267–277
De Vos, Tarvainen W, Salminen T, Reeder R, De Vivo S, Demetriades B, Pirc A, Batista S, Marsina MJ, Ottesen K, O’Connor RT, Bidovec PJ, Lima M, Siewers A, Smith U, Taylor B, Shaw H, Salpeteur R, Gregorauskiene I, Halamic V, Slaninka J, Lax I, Gravesen K, Birken P, Breward M, Ander N, Jordan EL, Duris G, Klein M, Locutura P, Bel-lan J, Pasieczna A, Lis J, Mazreku A, Gilucis A, Heitzmann P, Klaver G, Petersell V (2006) Geochemical Atlas of Europe Part 2 interpretation of geochemical maps, maps, and related publications, additional tables, figures. Geological Survey of Finland, Espoo, p 690 (ISBN 951-690-956-6)
Dissanayake CB, Rohana C (2009) Introduction to medical geology. Springer Berlin Heidelberg, Berlin, p 257
Dudka S, Ponce-Hernandez R, Hutchinson TC (1995) Current levels of total element concentrations in the surface layer of Sudbury’s soils. Sci Total Environ 162:161–172
Facchinelli A, Sacchi E, Mallen L (2001) Multivariate statistical and GIS-based approach to identify heavy metal sources in soils. Environ Pollut 114:313–324
Ferreira A, Inacio M, Morgado P, Bhatista MJ, Ferreira L, Pereira V, Pinto MS (2001) Low-density geochemical mapping in Portugal. Appl Geochem 16:1323–1331
Garrett RG, Reimann C, Smith DB, Xie X (2008) From geochemical prospecting to international geochemical mapping: a historical overview Geochemistry: Exploration. Environ Anal 8:205–217
Gee GW, Bauder JW (1986) Particle-size analysis. In: Klute A (ed) Methods of soil analysis, Part 1 physical and mineralogical methods. ASA, Madison, WI, pp 377–382
Geological Survey of India (Geology compiled from the maps of 1926, 27, 45, 46, 47, 63, 64, 65, 66, 67, 77, 78, 81, 82, 83, 84, 85, 86, 88, 89, 2001 & 2002), unpublished geology maps
Goldschmidt VM (1954) Geochemistry. Oxford University Press, London
Govil PK (1985) X-ray fluorescence analysis of major, minor and selected trace elements in new IWG reference rock samples. J Geol Soc India 26:38–42
Govil PK (1993) Reference rock standards: preparation and evaluation NGRI-D Applications of analytical instruments. Allied Publishers, Chennai, pp 140–145
Govil PK, Narayana BL (1999) New reference material of dunite rock: nGRI-UMR: Preparation and evaluation Geostandards Newsletter. J Geostand Geoanal 23:77–85
Govindaraju K (1994) Compilation of working values and sample description for 272 Geostandards, Geostandards Newsletter, 18 (special issue), p 158
Jenkins DA, Jones RGW (1979) Trace elements in rocks, soils, plants and animals: introduction. In: Davids BE (ed) Applied soil trace elements. Wiley, New York
Kato K, Obara H, Nakai M, Higashi T (2000) Elemental composition of recent alluvial soils in Japan-regional differences and relation to classification of cultivated soils in Japan. Jpn J Soil Sci Plant Nutr 71:143–153 (in Japanese, with English Abstr)
Krauskopf KB, Bird DK (1995) Introduction to Geochemistry, 3rd edn. McGraw-Hill, New York
Lantzy RJ, Mackenzie FT (1979) Geochim Cosmochim Acta 43:511–525
Lombard M, Szczesniak HL, Wilhelm HJ (1995) Regional geochemical mapping: a tool for exploration and environmental studies. Geol Soc S Afr Cent Geol Congr Ext Abstr 1:161–164
Lombard M, De Bruin D, Elsenbroek JH (1999) High-density regional geochemical mapping of soils and stream sediments in South Africa. J Geochem Explor 66:145–149
Mason B (1966) Principles of Geochemistry, 3rd edn. Wiley, New York
McClean EO et al (1982) Soil pH and lime requirement. In: Page AL (ed) Methods of soil analysis., Part 2 Agronomy 9Am Soc Agronomy, Inc, Madison, pp 199–224
McMillan WJ, Day S, Matysek PF (1990) Tectonic terraines, metallogeny and regional geochemical surveys; an example from northern British Columbia Trans Inst Minin. MetalB 100:175–194
Mitchell RL (1964) In: Bear FE (ed) Chemistry of the soil Chp. 8. Van Nostrand Reinhold, New York
Pandey OP, Agrawal PK, Chetty TRK (2002) Unusual lithospheric structure beneath the Hyderabad granitic region, eastern Dharwar craton, south India. Phys Earth Planet Inter 130:59–69
Plant JA (1983) Regional geochemical maps of the United Kingdom; environmental and economic applications. The Mercian Geologist (Nottingham) 9:75–87
Plant JA, Moore PJ (1979) Regional geochemical mapping and interpretation in Britain. Phil Trans R Soc Lond 8288: 95–112
Plant JA, Stevenson AG (1985) Regional geochemistry and its role in epidemiological studies. In: Mill CF, Bremner I, Chesters JK (eds) Trace elements in man and animals TEMA 5. Commonwealth Agricultural Bureaux, Farnham Royal, pp 900–906
Rankama K (1963) Progress in isotope geology. Interscience, London, New York
Rao TG, Govil PK (1995) Merits of using Barium as a heavy absorber in major element analysis of rock samples by XRF: new data on ASK-1 and ASK-2 reference samples. Analyst 120:1279–1282
Rapant S, Salminen R, Tarvainen T, Krcˇmová K, Cvecˇková V (2008) Application of a risk assessment method to Europe-wide geochemical baseline data. Geochem Explor Environ Anal 8:291–299
Reimann C, Äyräs M, Chekushin VA, Bogatyrev I, Boyd R, Caritat P de, Dutter R, Finne TE, Halleraker JH, J_ger Ø, Kashulina G, Niskavaara H, Lehto O, Pavlov V, Räisänen ML, Strand T, Volden T (1998) Environmental Geochemical Atlas of the Central Barents Region NGU–GTK–CKE special publication Geol Surv Norway, Trondheim, Norway
Reimann C, Kasulina G, Caritat P, de Niskavaara H (2001) Multi-element, multi-medium regional geochemistry in the European Arctic: element concentration, variation and correlation. Appl Geochem 16:759–780
Reimann C, Patrice De Caritat (2000) Intrinsic Flaws of Element Enrichment Factors (EFs) in Environmental Geochemistry. Environ Sci Technol 34:5084–5091
Reimann C, Siewers U, Tarvainen T, Bityukova L, Eriksson J, Gilucis A, Gregorauskiene V, Lukashev VK, Matinian NN, Pasieczna A (2003) Agricultural soils in Northern Europe: a geochemical atlas Geologisches Jahrbuch, Sonderhefte, Reihe D, Heft SD 5. Schweizerbart’sche Verlagsbuchhandlung, Stuttgart
Robinson GR Jr, Kapo KE, Grossman JN (2004) Chemistry of stream sediments and surface waters in New England, USGS, open-file report 2004–1026. http://pubs.usgs.gov/of/2004/1026/
Salminen R, Batista MJ, Bidovec M, Demetriades A, De Vivo B, De Vos W, Duris M, Gilucis A, Gregorauskiene V, Halavic J, Heitzmann P, Lima A, Jordan G, Klaver G, Klein P, Lis J, Locutura J, Marsina K, Mazreku A, O’Connor PJ, Olsson SA, Ottesen RT, Petersell V, Plant JA, Reeder S, Salpeteur I, Sandstrom H, Siewers U, Steenfelt A, Tarvainen T (2005) Geochemical atlas of Europe. Part 1: background information, methodology and maps Geological Survey of Finland, Espoo. http://www.weppi.gtk.fi/publ/foregsatlas/index.php
Sarvothaman H, Leelanandam C (1987) Petrography and major oxide chemistry of the Archaean granitic rocks of the Medak area Andhra Pradesh. J Geol Soc India 30:194–209
Simpson P (1996) Environmental and legislative uses of regional geochemical baseline data for sustainable development. Episodes 19:31–32
Soil Survey Laboratory Staff (1992) Soil survey laboratory methods manual Soil Surv Invest Rep 42 Version 20. US Gov Print Office, Washington, DC
Soil Survey Staff (1960) A comprehensive system of soil classification, 7th approximation. US Gov Print Office, Washington, DC
Sujatha D, Ramanna DV (2014) Statistical approach to investigate baseline concentration of major/trace elements in soils in and around Medak and Sangareddy, Medak district, Andhra Pradesh. J Appl Geochem 16(1):18–32
Sultan K, Shazili NA (2009) Distribution and geochemical baselines of major, minor and trace elements in tropical topsoils of the Terengganu River basin, Malaysia. J Geochem Explor 103:57–68
Sutherland RA (2000) Bed sediment-associated trace metals in an urban stream, Oahu. Hawaii Environ Geol 39:611–627
Tamhane RV, Motiramani DP, Bali YP (1964) Soils: their chemistry and fertility in Tropical Asia Prentice-Hall of India (Private) LTD, New Delhi 475
Tarvainen T (1996) Environmental applications of geochemical databases in Finland synopsis. Geological Survey of Finland, Espoo
Taylor SR, Mclennan SM (1995) The geochemical evolution of the continental crust. Rev Geophys 33:241–265
Thornton I (1983) Applied environmental geochemistry Academic Press
Vinogradov AP (1959) The geochemistry of rare and dispersed chemical elements in soils, 2nd edn. Consultants Bureau, New York, pp 1–209
Xia Z, Li S, Li T et al (1987) Soil element background and study method [M]. Meteorology Press, Beijing, pp 92–94 (in Chinese with English abstract)
Xie X, Cheng H (2001) Global geochemical mapping and its implementation in the Asia-Pacific region. Appl Geochem 16:1309–1321
Xie X, Mu X, Ren T (1997) Geochemical mapping in China. J Geochem Explor 60:99–113
Xie X, Wang X, Zhang Q, Zhou G, Cheng H, Liu D, Cheng Z, Xu S (2008) Multiscale geochemical mapping in China. Geochem: Explor Environ Anal 8:333–341
Yay OD, Alagha O, Tuncel G (2007) Multivariate statistics to investigate metal contamination in surface soil. J Environ Manag. doi:10.1016/j.jenvman.2006.12.032
Zhang XP, Deng W, Yang XM (2002) The background concentrations of 13 soil trace elements and their relationships to parent materials and vegetation in Xizang (Tibet). China Journal of Asian Earth Science 21:167–174
Zumlot T, Goodell P, Howari F (2009) Geochemical mapping of New Mexico USA, using stream sediment data. Environ Geol 58:1479–1497
Acknowledgments
This paper is a part of the project entitled “Regional Geochemical Baseline Mapping, in Medak district, Andhra Pradesh, India” funded by DST, New Delhi which is duly acknowledged. The author gratefully acknowledges Director, NGRI, for giving permission to publish this paper. Thanks are due to Drs. V.P. Dimri, Y.J. Bhaskar Rao, N.N. Murthy and O.P. Pandey for their constant support and encouragement. Timely guidance from Dr. David Smith (USGS) for the refinement of manuscript is duly acknowledged. The author would also like to acknowledge Mr. A.K. Krishna for help with X-ray fluorescence analysis. Thanks are due to ICRISAT, Patancheru, for carrying out soil particle size distribution. The helpful suggestions made by the anonymous reviewer are gratefully acknowledged.
Author information
Authors and Affiliations
Corresponding author
Electronic supplementary material
Below is the link to the electronic supplementary material.
Rights and permissions
About this article
Cite this article
Dantu, S. Spatial distribution and geochemical baselines of major/trace elements in soils of Medak district, Andhra Pradesh, India. Environ Earth Sci 72, 955–981 (2014). https://doi.org/10.1007/s12665-013-3014-7
Received:
Accepted:
Published:
Issue Date:
DOI: https://doi.org/10.1007/s12665-013-3014-7


