Abstract
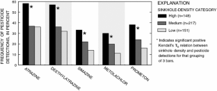
The relation between sinkhole density and water quality was investigated in seven selected carbonate aquifers in the eastern United States. Sinkhole density for these aquifers was grouped into high (>25 sinkholes/100 km2), medium (1–25 sinkholes/100 km2), or low (<1 sinkhole/100 km2) categories using a geographical information system that included four independent databases covering parts of Alabama, Florida, Missouri, Pennsylvania, and Tennessee. Field measurements and concentrations of major ions, nitrate, and selected pesticides in samples from 451 wells and 70 springs were included in the water-quality database. Data were collected as a part of the US Geological Survey (USGS) National Water-Quality Assessment (NAWQA) Program. Areas with high and medium sinkhole density had the greatest well depths and depths to water, the lowest concentrations of total dissolved solids and bicarbonate, the highest concentrations of dissolved oxygen, and the lowest partial pressure of CO2 compared to areas with low sinkhole density. These chemical indicators are consistent conceptually with a conduit-flow-dominated system in areas with a high density of sinkholes and a diffuse-flow-dominated system in areas with a low density of sinkholes. Higher cave density and spring discharge in Pennsylvania also support the concept that the high sinkhole density areas are dominated by conduit-flow systems. Concentrations of nitrate-N were significantly higher (p < 0.05) in areas with high and medium sinkhole density than in low sinkhole-density areas; when accounting for the variations in land use near the sampling sites, the high sinkhole-density area still had higher concentrations of nitrate-N than the low sinkhole-density area. Detection frequencies of atrazine, simazine, metolachlor, prometon, and the atrazine degradate deethylatrazine indicated a pattern similar to nitrate; highest pesticide detections were associated with high sinkhole-density areas. These patterns generally persisted when analyzing the detection frequency by land-use groups, particularly for agricultural land-use areas where pesticide use would be expected to be higher and more uniform areally compared to urban and forested areas. Although areas with agricultural land use and a high sinkhole density were most vulnerable (median nitrate-N concentration was 3.7 mg/L, 11% of samples exceeded 10 mg/L, and had the highest frequencies of pesticide detection), areas with agricultural land use and low sinkhole density still were vulnerable to contamination (median nitrate-N concentration was 1.5 mg/L, 8% of samples exceeded 10 mg/L, and had some of the highest frequencies of detections of pesticides). This may be due in part to incomplete or missing data regarding karst features (such as buried sinkholes, low-permeability material in bottom of sinkholes) that do not show up at the scales used for regional mapping and to inconsistent methods among states in karst feature delineation.








References
Angel JC, Nelson CO, Panno SV (2004) Comparison of a new GIS-based technique and a manual method for determining sinkhole density: an example from Illinois’ sinkhole plain. J Cave Karst Stud 66(1):9–17
Arthur JD, Wood HA, Baker AE, Cichon JR, Raines GL (2007) Development and implementation of a Bayesian-based aquifer vulnerability assessment in Florida. Nat Resour Res 16(2):93–107
Brahana JV, Thrailkill J, Freeman T, Ward WC (1988) Carbonate rocks. In: Back W, Rosenshein JS, Seaber PR (eds) The Geology of North America, v. O-2, Hydrogeology. Geological Society of America, Boulder, pp 333–352
Brinkmann R, Parise M, Dye D (2008) Sinkhole distribution in a rapidly developing urban environment: Hillsborough County, Tampa Bay area. Fla Eng Geol 99(3–4):169–184
Chen J, Thomas G, Upchurch SB (1995a) Ground-water quality reflect karst development: a case study in central-west Florida. In: Beck BF (ed) Karst geohazards, engineering and environmental problems in Karst Terrane. Balkema, Rotterdam, pp 103–109
Chen J, Thomas G, Upchurch SB (1995b) A spatial-correlation model for assessment of large-areal sinkhole and water quality data. In: Beck BF (ed) Karst geohazards, engineering and environmental problems in Karst Terrane. Balkema, Rotterdam, pp 111–116
Crawford NC, Veni G (1986) Karst-hazard assessment for Tennessee sinkhole flooding, sinkhole collapse, and ground-water contamination: Bowling Green, Kentucky, Western Kentucky University, prepared for the US Environmental Protection Agency, Region IV, Underground Water Source Protection Grant G004358-83-0, 1 sheet, scale 1:1,000,000
Davies WE, Simpson JH, Ohlmacher GC, Kirk WS, Newton EG (1984) Engineering aspects of karst, national atlas. 38077-AWNA-07M-00, 1 sheet p
Davis AD, Long AJ, Wireman M (2002) KARSTIC: a sensitivity method for carbonate aquifers in karst terrain. Environ Geol 42(1):65–72
Doerfliger N, Jeannin P-Y, Zwahlen F (1999) Water vulnerability in karst environments: a new method of defining protection areas using a multi-attribute approach and GIS tools (EPIK method). Environ Geol 39(2):165–176
Drew D, Hötzl H (eds) (1993) Karst hydrogeology and human activities: impacts, consequences, and implications. International Contributions to Hydrogeology, v. 20. Balkema, Rotterdam, p 322
Florea L (2005) Using state-wide GIS data to identify the coincidence between sinkholes and geologic structure. J Cave and Karst Stud 67(2):120–124
Florea L, Vacher HL, Donahue B, Naar D (2007) Quaternary cave levels in peninsular Florida. Quat Sci Rev 26:1344–1361
Ford CG, Ogden AE, Ogden LR, Ellis S, Scarborough JA (1997) Ground water basin delineation for sinkhole flood prevention, Johnson City, Tennessee. In: Proceedings of 6th multidisciplinary conference on the engineering geology and hydrogeology of karst terranes. pp 259–263
Handwerk B (2007) Divers break record for longest cave passage. National Geographic News. http://news.nationalgeographic.com/news/2007/12/071217-florida-cave.html. Accessed May 2009
Helsel DR, Hirsch RW (2002) Statistical methods in water resources, Techniques of water-resources investigations of the United States Geological Survey. Book 4, Hydrologic analysis and interpretation, chap A3, p 510
Hubbard DA (2003) Use of regional sinkhole mapping for sinkhole susceptibility maps. In: Beck BF (ed) Proceedings of 9th Multidisciplinary conference, sinkholes and the engineering and environmental impacts of Karst, Geotechnical special publication no. 122, pp 61–71
Katz BG (1992) Hydrochemistry of the upper Floridan aquifer in Florida. US Geological Survey Water Resources Investigations Report 91-4196, p 37
Katz BG (2004) Nitrate contamination in karst groundwater. In: Culver D, White W (eds) Encyclopedia of caves. Elsevier Science, Amsterdam, pp 415–418
Kochanov WE, Reese SO (2003) Density of mapped karst features in south-central and southeastern Pennsylvania. Pennsylvania Geological Survey, 4th ser, Map 68, Scale 1:300,000, 1 pl
Lindsey BD, Berndt MP, Katz BG, Ardis AF, Skach KA (2009) Factors affecting water quality in selected carbonate aquifers in the United States, 1993–2005. US Geological Survey Scientific Investigations Report 2008-5240, p 117
Maupin MA, Barber NL (2005) Estimated withdrawals from principal aquifers in the United States, 2000. US Geological Survey Circular 1279, p 46
McMahon PB, Chapelle FH (2008) Redox processes and water quality of selected principal aquifer systems. Ground Water 46(2):259–271
Miller JA (1986) Hydrogeologic framework of the Floridan aquifer system in Florida and in parts of Georgia, South Carolina, and Alabama. US Geological Survey Professional Paper 1403-B, 91 p, 33 pls
Miller JA (1999) Ground water atlas of the United States, Introduction and national summary: US Geological Survey Hydrologic Atlas 730-A, p 36
Missouri Department of Natural Resources (2004) State Sinkholes-2004 of State of Missouri. http://www.msdis.missouri.edu/datasearch/ThemeList.jsp. Accessed Jan 2006
Mitchem PS, Hallberg GR, Hoyer BE, Libra RD (1988) Ground-water contamination and land management in the karst area of northeastern Iowa. In: Collins AG, Johnson AI (eds) Ground-water contamination: field Methods. American Society for Testing and Materials STP 963, Philadelphia, pp 442–458
Nolan BT, Hitt KJ, Ruddy BC (2002) Probability of nitrate contamination of recently recharged ground waters in the conterminous United States. Environ Sci Technol 36(10):2138–2145
Orndorff RC, Weary DJ, Lagueux KM (2000) Geographic information system analysis of geologic controls on the distribution of dolinas in the Ozarks of South-Central Missouri, USA. Acta Carsologica 29(2):161–175
Parkhurst DL, Appelo CAJ (1999) User’s guide to PHREEQC (Version 2)—a computer program for speciation, batch reaction, one-dimensional transport, and inverse geochemical calculations. US Geological Survey Water-Resources Investigations Report 99-4259, p 310
Pennsylvania Department of Conservation and Natural Resources (2006) Sinkhole inventory. http://www.dcnr.state.pa.us/topogeo/hazards/sinkhole/default.asp. Accessed Jan 2006
Price CV, Nakagaki N, Hitt KJ, Clawges RM (2007) Enhanced historical land-use and land-cover data sets of the US Geological Survey: US Geological Survey Data Series 240 [digital data] http://pubs.usgs.gov/ds/2006/240
Ray JA, Webb JS, O’Dell PW (1993) Generalized groundwater sensitivity regions of Kentucky. Preliminary map, prepared for Kentucky Division of water. Groundwater Branch, Frankfort
Scanlon BR, Thrailkill J (1987) Chemical similarities among physically distinct spring types in a karst terrain. J Hydrol 89:259–279
Seale LD, Florea LJ, Vacher HL, Brinkmann R (2008) Using ALSM to map sinkholes in the urbanized covered karst of Pinellas County, Florida—1. Methodological considerations. Environ Geol 54:995–1005
Shofner GA, Mills HH, Duke JE (2001) A simple map index of karstification and its relationship to sinkhole and cave distribution in Tennessee. J Cave Karst Stud 63(2):67–75
Spencer SM, Lane E (1994) Florida Sinkhole Index. Florida Geological Survey Open-File Report 58, p 100 http://www.dep.state.fl.us/geology/gisdatamaps/sinkhole_database.htm. Accessed Jan 2006
Sprinkle CL (1989) Geochemistry of the Floridan aquifer system in Florida and in parts of Georgia, South Carolina, and Alabama. US Geological Survey Professional Paper 1403-I, p 105
Trommer JT (1987) Potential for pollution of the Upper Floridan aquifer from five sinkholes and an internally drained basin in west-central Florida. US Geological Survey Water-Resources Investigations Report 87-4013, p 103
US Geological Survey (1999) National land cover data (NLCD) [digital data]. http://edc.usgs.gov/products/landcover/nlcd.html. Accessed 16 June 2005
Vacher HL, Seale LD, Florea LJ, Brinkmann R (2008) Using ALSM to map sinkholes in the urbanized covered karst of Pinellas County, Florida—2. Accuracy analysis. Environ Geol 54:1007–1015
White WB (1988) Geomorphology and hydrology of karst terrains. Oxford University Press, Oxford
White WB, Culver DC, Herman JS, Kane TC, Mylroie JE (1995) Karst lands. Am Sci 83:450–459
Acknowledgments
Funding for this research was provided by the U.S. Geological Survey, National Water Quality Assessment Program. The authors gratefully acknowledge W. Kochanov, M. Musgrove, and J. De Waele for their review comments and suggestions that were helpful in revising this manuscript.
Author information
Authors and Affiliations
Corresponding author
Rights and permissions
About this article
Cite this article
Lindsey, B.D., Katz, B.G., Berndt, M.P. et al. Relations between sinkhole density and anthropogenic contaminants in selected carbonate aquifers in the eastern United States. Environ Earth Sci 60, 1073–1090 (2010). https://doi.org/10.1007/s12665-009-0252-9
Received:
Accepted:
Published:
Issue Date:
DOI: https://doi.org/10.1007/s12665-009-0252-9