Abstract
Purpose
Currently, monovarietal olive oils are increasingly present on the market and generate large amounts of monovarietal olive pomaces. Considering the high production of this by-product and its bioactive content, it is essential to explore green, reliable, easy-to-go, and low-cost techniques that allow their easy analysis and discrimination. In this sense, the goal of this work was to use near infrared (NIR) spectroscopy to assess the composition and to estimate the antioxidant activity of olive pomace.
Methods
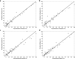
A total of 53 samples including four monovarietal cultivars (Arbequina, Arbosana, Koroneiki and Oliana) and 49 different blends were used for this study. The antioxidant activity was evaluated through ferric reducing antioxidant power (FRAP), total phenolic content (TPC) and the 2,2-diphenyl-1-picrylhydazyl radical (DPPH·) scavenging ability. The NIR spectra of olive samples were calibrated against these chemical parameters and the composition of each sample using PLS modelling. The discrimination of the olive pomace samples with a high amount of bioactive compounds in terms of TPC, FRAP and DPPH· scavenging ability was performed through PLSDA modelling.
Results
The PLS models results regarding olive pomace samples composition yielded coefficients of determination of prediction (R2P) and range error ratio (RER) values higher than 0.9 and 12, respectively, while the PLS models results for the determination of the antioxidant activity yielded unsatisfactory results. For the PLSDA models, the percentage of correct predictions obtained using the validation set was 82, 90, 61% for DPPH· scavenging ability, TPC and FRAP, respectively.
Conclusions
Globally, the obtained results attest that NIR spectroscopy is an interesting green analytical technique for the valorization of olive industry by-products, namely olive pomace, through the determination of their composition and the discrimination between samples with a higher amount of bioactive compounds.
Graphic Abstract





Similar content being viewed by others
References
dos Santos, C.A.T., Pascoa, R., Lopes, J.A.: A review on the application of vibrational spectroscopy in the wine industry: from soil to bottle. Trac-Trends Anal. Chem. 88, 100–118 (2017). https://doi.org/10.1016/j.trac.2016.12.012
Pascoa, R., Magalhaes, L.M., Lopes, J.A.: FT-NIR spectroscopy as a tool for valorization of spent coffee grounds: Application to assessment of antioxidant properties. Food Res. Int. 51(2), 579–586 (2013). https://doi.org/10.1016/j.foodres.2013.01.035
Pascoa, R., Machado, S., Magalhaes, L.M., Lopes, J.A.: Value adding to red grape pomace exploiting eco-friendly FT-NIR spectroscopy technique. Food Bioprocess Technol. 8(4), 865–874 (2015). https://doi.org/10.1007/s11947-014-1454-z
Barros, A.S., Nunes, A., Martins, J., Delgadillo, I.: Determination of oil and water in olive and olive pomace by NIR and multivariate analysis. Sens. Instrum. Food Qual. Saf. 3(3), 180–186 (2009). https://doi.org/10.1007/s11694-009-9083-3
Giovenzana, V., Beghi, R., Romaniello, R., Tamborrino, A., Guidetti, R., Leone, A.: Use of visible and near infrared spectroscopy with a view to on-line evaluation of oil content during olive processing. Biosyst. Eng. 172, 102–109 (2018). https://doi.org/10.1016/j.biosystemseng.2018.06.001
Mata-Sanchez, J., Perez-Jimenez, J.A., Diaz-Villanueva, M.J., Serrano, A., Nunez-Sanchez, N., Lopez-Gimenez, F.J.: Corrosive properties prediction from olive byproducts solid biofuel by near infrared spectroscopy. Energy Fuels 28(8), 5136–5143 (2014). https://doi.org/10.1021/ef500854z
Muik, B., Lendl, B., Molina-Diaz, A., Perez-Villarejo, L., Ayora-Canada, M.J.: Determination of oil and water content in olive pomace using near infrared and Raman spectrometry A comparative study. Anal. Bioanal. Chem. 379(1), 35–41 (2004). https://doi.org/10.1007/s00216-004-2493-5
Pizzi, A., Toscano, G., Pedretti, E.F., Duca, D., Rossini, G., Mengarelli, C., Ilari, A., Renzi, A., Mancini, M.: Energy characteristics assessment of olive pomace by means of FT-NIR spectroscopy. Energy 147, 51–58 (2018). https://doi.org/10.1016/j.energy.2018.01.035
Nunes, M.A., Costa, A.S.G., Bessada, S., Santos, J., Puga, H., Alves, R.C., Freitas, V., Oliveira, M.B.P.P.: Olive pomace as a valuable source of bioactive compounds: a study regarding its lipid- and water-soluble components. Sci. Total Environ. 644, 229–236 (2018). https://doi.org/10.1016/j.scitotenv.2018.06.350
Araújo, M., Pimentel, F.B., Alves, R.C., Oliveira, M.B.P.P.: Phenolic compounds from olive mill wastes: Health effects, analytical approach and application as food antioxidants. Trends Food Sci. Technol. 45(2), 200–211 (2015). https://doi.org/10.1016/j.tifs.2015.06.010
Chanioti, S., Tzia, C.: Extraction of phenolic compounds from olive pomace by using natural deep eutectic solvents and innovative extraction techniques. Innov. Food Sci. Emerg. Technol. 48, 228–239 (2018). https://doi.org/10.1016/j.ifset.2018.07.001
Macedo, G.A., Santana, A.L., Crawford, L.M., Wang, S.C., Dias, F.F.G., Bell, J.M.L.N.M.: Integrated microwave-and enzyme-assisted extraction of phenolic compounds from olive pomace. LWT-Food Sci. Technol. 138, 110621 (2021). https://doi.org/10.1016/j.lwt.2020.110621
De Bruno, A., Romeo, R., Fedele, F.L., Sicari, A., Piscopo, A., Poiana, M.: Antioxidant activity shown by olive pomace extracts. J. Environ. Sci. Health B 53(8), 526–533 (2018). https://doi.org/10.1080/03601234.2018.1462928
Albahari, P., Jug, M., Radić, K., Jurmanović, S., Brnčić, M., Brnčić, S.R., Vitali Čepo, D.: Characterization of olive pomace extract obtained by cyclodextrin-enhanced pulsed ultrasound assisted extraction. LWT-Food Sci. Technol. 92, 22–31 (2018). https://doi.org/10.1016/j.lwt.2018.02.011
Goldsmith, C.D., Vuong, Q.V., Stathopoulos, C.E., Roach, P.D., Scarlett, C.J.: Ultrasound increases the aqueous extraction of phenolic compounds with high antioxidant activity from olive pomace. LWT-Food Sci. Technol. 89, 284–290 (2018). https://doi.org/10.1016/j.lwt.2017.10.065
Bansal, R., Dhiman, A.: Nutraceuticals: a comparative analysis of regulatory framework in different countries of the World. Endocr. Metab. Immune Disord. Drug Targets 20(10), 1654–1663 (2020). https://doi.org/10.2174/1871530320666200519084415
Costa, A.S.G., Alves, R.C., Vinha, A.F., Costa, E., Costa, C.S.G., Nunes, M.A., Almeida, A.A., Santos-Silva, A., Oliveira, M.: Nutritional, chemical and antioxidant/pro-oxidant profiles of silverskin, a coffee roasting by-product. Food Chem. 267, 28–35 (2018). https://doi.org/10.1016/j.foodchem.2017.03.106
Naes, T., Isaksson, T., Fearn, T., Davies, T.: Interpreting PCR and PLS solutions. A user-friendly guide to multivariate calibration and classification 1, 39-54 (2004).
Barker, M., Rayens, W.: Partial least squares for discrimination. J. Chemometr. 17(3), 166–173 (2003). https://doi.org/10.1002/cem.785
Geladi, P., Kowalski, B.R.: Partial least-squares regression - a tutorial. Anal. Chim. Acta 185, 1–17 (1986). https://doi.org/10.1016/0003-2670(86)80028-9
Pascoa, R., Moreira, S., Lopes, J.A., Sousa, C.: Citrus species and hybrids depicted by near- and mid-infrared spectroscopy. J. Sci. Food Agric. 98(10), 3953–3961 (2018). https://doi.org/10.1002/jsfa.8918
Pascoa, R., Lopo, M., dos Santos, C.A.T., Graca, A.R., Lopes, J.A.: Exploratory study on vineyards soil mapping by visible/near-infrared spectroscopy of grapevine leaves. Comput. Electron. Agric. 127, 15–25 (2016). https://doi.org/10.1016/j.compag.2016.05.014
Connor, D.J., Gomez-del-Campo, M., Rousseaux, M.C., Searles, P.S.: Structure, management and productivity of hedgerow olive orchards: A review. Sci. Hortic. 169, 71–93 (2014). https://doi.org/10.1016/j.scienta.2014.02.010
Dabbou, S., Dabbou, S., Chehab, H., Brahmi, F., Taticchi, A., Servili, M., Hammami, M.: Chemical composition of virgin olive oils from Koroneiki cultivar grown in Tunisia with regard to fruit ripening and irrigation regimes. Int. J. Food Sci. Technol. 46(3), 577–585 (2011). https://doi.org/10.1111/j.1365-2621.2010.02520.x
Vossen, P.: Olive oil: history, production, and characteristics of the world’s classic oils. HortScience 42(5), 1093–1100 (2007). https://doi.org/10.21273/hortsci.42.5.1093
Pereira, C., Freitas, A.M.C., Cabrita, M.J., Garcia, R.: Assessing tyrosol and hydroxytyrosol in Portuguese monovarietal olive oils: Revealing the nutraceutical potential by a combined spectroscopic and chromatographic techniques - based approach. LWT-Food Sci. Technol. 118, 7 (2020). https://doi.org/10.1016/j.lwt.2019.108797
Talhaoui, N., Gomez-Caravaca, A.M., Leon, L., De la Rosa, R., Fernandez-Gutierrez, A., Segura-Carretero, A.: From olive fruits to olive oil: phenolic compound transfer in six different olive cultivars grown under the same agronomical conditions. Int. J. Mol. Sci. 17(3), 14 (2016). https://doi.org/10.3390/ijms17030337
Rambo, M.K.D., Amorim, E.P., Ferreira, M.M.C.: Potential of visible-near infrared spectroscopy combined with chemometrics for analysis of some constituents of coffee and banana residues. Anal. Chim. Acta 775, 41–49 (2013). https://doi.org/10.1016/j.aca.2013.03.015
Ayora-Canada, M.J., Muik, B., Garcia- Mesa, J.A., Ortega-Calderon, D., Molina-Diaz, A.: Fourier-transform near-infrared spectroscopy as a tool for olive fruit classification and quantitative analysis. Spectr. Lett. 38(6), 769–785 (2005). https://doi.org/10.1080/00387010500316106
Saha, U., Jackson, D.: Analysis of moisture, oil, and fatty acid composition of olives by near-infrared spectroscopy: development and validation calibration models. J. Sci. Food Agric. 98(5), 1821–1831 (2018). https://doi.org/10.1002/jsfa.8658
Rodriguez-Saona, L.E., Fry, F.S., McLaughlin, M.A., Calvey, E.M.: Rapid analysis of sugars in fruit juices by FT-NIR spectroscopy. Carbohydr. Res. 336(1), 63–74 (2001). https://doi.org/10.1016/s0008-6215(01)00244-0
Olszowy-Tomczyk, M.: Synergistic, antagonistic and additive antioxidant effects in the binary mixtures. Phytochem. Rev. 19(1), 63–103 (2020). https://doi.org/10.1007/s11101-019-09658-4
Malapert, A., Reboul, E., Loonis, M., Dangles, O., Tomao, V.: Direct and rapid profiling of biophenols in olive pomace by UHPLC-DAD-MS. Food Anal. Methods 11(4), 1001–1010 (2018). https://doi.org/10.1007/s12161-017-1064-2
Ribeiro, T.B., Costa, C.M., Bonifácio - Lopes, T., Silva, S., Veiga, M., Monforte, A.R., Nunes, J., Vicente, A.A., Pintado, M.: Prebiotic effects of olive pomace powders in the gut: In vitro evaluation of the inhibition of adhesion of pathogens, prebiotic and antioxidant effects. Food Hydrocoll. 112, 106312 (2021). https://doi.org/10.1016/j.foodhyd.2020.106312
Panzella, L., Moccia, F., Nasti, R., Marzorati, S., Verotta, L., Napolitano, A.: Bioactive phenolic compounds from agri-food wastes: An update on green and sustainable extraction methodologies. Nutr. Front. (2020). https://doi.org/10.3389/fnut.2020.00060
Revilla, I., Vivar-Quintana, A.M., Gonzalez-Martin, I., Escuredo, O., Seijo, C.: The potential of near infrared spectroscopy for determining the phenolic, antioxidant, color and bactericide characteristics of raw propolis. Microchem J. 134, 211–217 (2017). https://doi.org/10.1016/j.microc.2017.06.006
Wu, D., Chen, J.Y., Lu, B.Y., Xiong, L.N., He, Y., Zhang, Y.: Application of near infrared spectroscopy for the rapid determination of antioxidant activity of bamboo leaf extract. Food Chem. 135(4), 2147–2156 (2012). https://doi.org/10.1016/j.foodchem.2012.07.011
Xia, F.B., Li, C.C., Zhao, N., Li, H., Chang, Q., Liu, X.M., Liao, Y.H., Pan, R.L.: Rapid determination of active compounds and antioxidant activity of Okra seeds using Fourier Transform Near Infrared (FT-NIR) spectroscopy. Molecules 23(3), 10 (2018). https://doi.org/10.3390/molecules23030550
Tresserra-Rimbau, A., Lamuela-Raventos, R.M., Moreno, J.J.: Polyphenols, food and pharma. Current knowledge and directions for future research. Biochem. Pharmacol. 156, 186–195 (2018). https://doi.org/10.1016/j.bcp.2018.07.050
Cozzolino, D., Kwiatkowski, M.J., Parker, M., Cynkar, W.U., Dambergs, R.G., Gishen, M., Herderich, M.J.: Prediction of phenolic compounds in red wine fermentations by visible and near infrared spectroscopy. Anal. Chim. Acta 513(1), 73–80 (2004). https://doi.org/10.1016/j.aca.2003.08.066
Acknowledgements
The authors are grateful to SOVENA Group (Portugal) for kindly providing the olive pomace samples.
Funding
This work has received financial support from Portuguese national funds (FCT/MCTES, Fundação para a Ciência e Tecnologia/Ministério da Ciência, Tecnologia e Ensino Superior) through grant UIDB/50006/2020 and through AgriFood XXI I&D&I project (NORTE-01-0145-FEDER-000041) cofinanced by European Regional Development Fund (ERDF), through the NORTE 2020 (Programa Operacional Regional do Norte 2014/2020). R. Páscoa thanks to FCT for funding through program DL 57/2016 -Norma transitória. M. A. Nunes and R. C. Alves are also grateful to FCT for the PhD grant SFRH/BD/130131/2017 and CEECIND/01120/2017 contract, respectively.
Author information
Authors and Affiliations
Contributions
RNMJP—conceptualization, methodology, investigation, formal analysis, writing—original draft; MAN—conceptualization, methodology, investigation, formal analysis, writing—original draft; FR—investigation; ASGC—methodology, investigation, resources; MBPPO—conceptualization, funding acquisition, writing—review and editing, supervision; RCA—conceptualization, formal analysis, writing—review and editing, supervision.
Corresponding author
Ethics declarations
Conflict of interest
All authors declare no competing interest.
Additional information
Publisher's Note
Springer Nature remains neutral with regard to jurisdictional claims in published maps and institutional affiliations.
Supplementary Information
Below is the link to the electronic supplementary material.
Rights and permissions
About this article
Cite this article
Páscoa, R.N.M.J., Nunes, M.A., Reszczyński, F. et al. Near Infrared (NIR) Spectroscopy as a Tool to Assess Blends Composition and Discriminate Antioxidant Activity of Olive Pomace Cultivars. Waste Biomass Valor 12, 4901–4913 (2021). https://doi.org/10.1007/s12649-021-01386-1
Received:
Accepted:
Published:
Issue Date:
DOI: https://doi.org/10.1007/s12649-021-01386-1


