Abstract
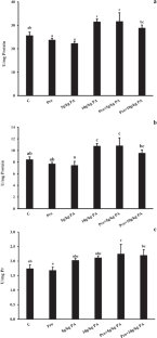
A 7-week feeding trial was conducted to evaluate the combined effects of propionic acid (PA, 5 or 10 g/kg) and a multi-strain Bacillus spp. (Bacillus subtilis IS02 (accession no. JN856456) and B. licheniformis IBRC-M 11,319) (1.7 × 107 CFU/g) probiotic in a plant protein source (PP)–rich diet (∼70% of dietary protein derived from PP sources) on performance of Asian sea bass (Lates calcarifer) fry (initial body weight 2.97 ± 0.11 g). In this regard, six isoproteic (∼48%) diets were formulated as follows: a control (without supplementation of the additives); probiotic (only contained Bacillus spp. mixture); 5 g PA/kg diet; 10 g PA/kg diet; probiotic + 5 g PA/kg diet, and probiotic + 10 g PA/kg diet. Specific growth rate in fish fed with 10 g PA/kg (2.84 ± 0.1%) and diets contained blends of probiotic and PA (2.76 ± 0.19% in probiotic + 5 g PA, and 2.79 ± 0.04% in probiotic + 10 g PA) was better than in the control (2.45 ± 0.1%) (P < 0.05). Feed conversion ratio in fish fed with 10 g PA/kg (0.92 ± 0.12) and diets contained blends of probiotic and PA (0.94 ± 0.06 in probiotic + 5 g PA and 0.91 ± 0.02 in probiotic + 10 g PA) was better than in the control (1.24 ± 0.08) (P < 0.05). Digestive enzymes including α-amylase, total alkaline proteases, and bile salt dependent lipase activities improved in fish fed diets contained additives. The activity of glutathione-S-transferase and glutathione reductase enhanced in the liver of fish fed diets contained additives. The relative abundance of lysozyme, interleukin 1β, and insulin-like growth factor-1 genes mRNA transcript showed multifold increase in the liver of fish fed with the 10 g PA/kg and diets contained blends of probiotic and PA (P < 0.05). By considering the above mentioned results, supplementing a PP-rich diet with 10 g PA/kg diet or combination of PA and a mixture of Bacillus spp. probiotic recommended for L. calcarifer.


Availability of Data and Material
The data that support the findings of this study are available from the corresponding author upon reasonable request.
References
Fao (2020) The State of World Fisheries and Aquaculture 2020. Sustainability in action. Rome. https://doi.org/10.4060/ca9229en
Naylor RL, Hardy RW, Buschmann AH et al (2021) A 20-year retrospective review of global aquaculture. Nature 591:551–563. https://doi.org/10.1038/s41586-021-03308-6
Adorian TJ, Jamali H, Farsani HG et al (2019) Effects of probiotic bacteria Bacillus on growth performance, digestive enzyme activity, and hematological parameters of Asian sea bass, Lates calcarifer (Bloch). Probiotics Antimicrob. Proteins 11:248–255. https://doi.org/10.1007/s12602-018-9393-z
Henriksson PJG, Belton B, Murshed-E-Jahan K et al (2018) Measuring the potential for sustainable intensification of aquaculture in Bangladesh using life cycle assessment. Proc Natl Acad Sci 115:2958–2963. https://doi.org/10.1073/pnas.1716530115
Encarnação P (2016) Functional feed additives in aquaculture feeds. In: Aquafeed formulation. Academic Press, Oxford, p 217–237. https://doi.org/10.1016/B978-0-12-800873-7.00005-1
Gatlin Iii DM, Barrows FT, Brown P et al (2007) Expanding the utilization of sustainable plant products in aquafeeds: a review. Aquacult Res 38:551–579. https://doi.org/10.1111/j.1365-2109.2007.01704.x
Tacon AG, Metian M (2015) Feed matters: satisfying the feed demand of aquaculture. Rev. Fish. Sci. Aquacult. 23:1–10. https://doi.org/10.1080/23308249.2014.987209
Hua K, Cobcroft JM, Cole A et al (2019) The future of aquatic protein: implications for protein sources in aquaculture diets. One Earth 1:316–329. https://doi.org/10.1016/j.oneear.2019.10.018
Dawood MA, Koshio S, Esteban MÁ (2018) Beneficial roles of feed additives as immunostimulants in aquaculture: a review. Rev. Aquacult. 10:950–974. https://doi.org/10.1111/raq.12209
Romero J, Feijoó CG, Navarrete P (2012) Antibiotics in aquaculture–use, abuse and alternatives. Health Environ Aquac 159
Wang W, Sun J, Liu C et al (2017) Application of immunostimulants in aquaculture: current knowledge and future perspectives. Aquacult Res 48:1–23. https://doi.org/10.1111/are.13161
Reverter M, Tapissier-Bontemps N, Sasal P et al. (2017) Use of medicinal plants in aquaculture. In: Austin B, A N-F (eds) Diagnosis and control of diseases of fish and shellfish. John Wiley & Sons, Chichester, UK, p 223–261. https://doi.org/10.1002/9781119152125.ch9
Ringø E, Song S (2016) Application of dietary supplements (synbiotics and probiotics in combination with plant products and β-glucans) in aquaculture. Aquacult Nutr 22:4–24. https://doi.org/10.1111/anu.12349
Akhter N, Wu B, Memon AM et al (2015) Probiotics and prebiotics associated with aquaculture: a review. Fish Shellfish Immunol 45:733–741. https://doi.org/10.1016/j.fsi.2015.05.038
Dawood MA, Koshio S, Abdel-Daim MM et al (2019) Probiotic application for sustainable aquaculture. Rev. Aquacult. 11:907–924. https://doi.org/10.1111/raq.12272
Bermudez-Brito M, Plaza-Díaz J, Muñoz-Quezada S et al (2012) Probiotic mechanisms of action. Ann Nutr Metab 61:160–174. https://doi.org/10.1159/000342079
Priya PS, Ashwitha A, Thamizharasan K et al (2021) Synergistic effect of durian fruit rind polysaccharide gel encapsulated prebiotic and probiotic dietary supplements on growth performance, immune-related gene expression, and disease resistance in Zebrafish (Danio rerio). Heliyon 7:e06669
El-Kady AA, Magouz FI, Mahmoud SA et al (2022) The effects of some commercial probiotics as water additive on water quality, fish performance, blood biochemical parameters, expression of growth and immune-related genes, and histology of Nile tilapia (Oreochromis niloticus). Aquaculture 546:737249
Nayak SK (2010) Probiotics and immunity: a fish perspective. Fish Shellfish Immunol 29:2–14
Bairagi A, Sarkar Ghosh K, Sen S et al (2004) Evaluation of the nutritive value of Leucaena leucocephala leaf meal, inoculated with fish intestinal bacteria Bacillus subtilis and Bacillus circulans in formulated diets for rohu, Labeo rohita (Hamilton) fingerlings. Aquacult Res 35:436–446. https://doi.org/10.1111/j.1365-2109.2004.01028.x
Wuertz S, Schroeder A, Wanka KM (2021) Probiotics in fish nutrition—long-standing household remedy or native nutraceuticals? Water 13:1348. https://doi.org/10.3390/w13101348
Thurlow CM, Williams MA, Carrias A et al (2019) Bacillus velezensis AP193 exerts probiotic effects in channel catfish (Ictalurus punctatus) and reduces aquaculture pond eutrophication. Aquaculture 503:347–356. https://doi.org/10.1016/j.aquaculture.2018.11.051
Zhou S, Song D, Zhou X et al (2019) Characterization of Bacillus subtilis from gastrointestinal tract of hybrid Hulong grouper (Epinephelus fuscoguttatus× E. lanceolatus) and its effects as probiotic additives. Fish Shellfish Immunol 84:1115–1124. https://doi.org/10.1016/j.fsi.2018.10.058
Kuebutornye FK, Abarike ED, Lu Y et al (2020) Mechanisms and the role of probiotic Bacillus in mitigating fish pathogens in aquaculture. Fish Physiol Biochem 1–23. https://doi.org/10.1007/s10695-019-00754-y
Cha J-H, Rahimnejad S, Yang S-Y et al (2013) Evaluations of Bacillus spp. as dietary additives on growth performance, innate immunity and disease resistance of olive flounder (Paralichthys olivaceus) against Streptococcus iniae and as water additives. Aquaculture 402:50–57. https://doi.org/10.1016/j.aquaculture.2013.03.030
Abarike ED, Cai J, Lu Y et al (2018) Effects of a commercial probiotic BS containing Bacillus subtilis and Bacillus licheniformis on growth, immune response and disease resistance in Nile tilapia, Oreochromis niloticus. Fish Shellfish Immunol 82:229–238. https://doi.org/10.1016/j.fsi.2018.08.03
Li Y, Yang Y, Song L et al (2021) Effects of dietary supplementation of Lactobacillus plantarum and Bacillus subtilis on growth performance, survival, immune response, antioxidant capacity and digestive enzyme activity in olive flounder (Paralichthys olivaceus). Aquacult. Fish. 6:283–288. https://doi.org/10.1016/j.aaf.2020.10.006
Elsabagh M, Mohamed R, Moustafa EM et al (2018) Assessing the impact of Bacillus strains mixture probiotic on water quality, growth performance, blood profile and intestinal morphology of Nile tilapia, Oreochromis niloticus. Aquacult Nutr 24:1613–1622. https://doi.org/10.1111/anu.12797
Niu K-M, Khosravi S, Kothari D et al (2019) Effects of dietary multi-strain probiotics supplementation in a low fishmeal diet on growth performance, nutrient utilization, proximate composition, immune parameters, and gut microbiota of juvenile olive flounder (Paralichthys olivaceus). Fish Shellfish Immunol 93:258–268. https://doi.org/10.1016/j.fsi.2019.07.056
Hoseinifar SH, Sun YZ, Caipang CM (2017) Short-chain fatty acids as feed supplements for sustainable aquaculture: an updated view. Aquacult Res 48:1380–1391. https://doi.org/10.1111/are.13239
Ng WK, Koh CB (2017) The utilization and mode of action of organic acids in the feeds of cultured aquatic animals. Rev. Aquacult. 9:342–368. https://doi.org/10.1111/raq.12141
Tran NT, Li Z, Wang S et al (2018) Progress and perspectives of short-chain fatty acids in aquaculture. Rev. Aquacult. 12:283–298. https://doi.org/10.1111/raq.12317
Defoirdt T, Boon N, Sorgeloos P et al (2009) Short-chain fatty acids and poly-β-hydroxyalkanoates: (new) biocontrol agents for a sustainable animal production. Biotechnol Adv 27:680–685. https://doi.org/10.1016/j.biotechadv.2009.04.026
Castillo S, Rosales M, Pohlenz C et al (2014) Effects of organic acids on growth performance and digestive enzyme activities of juvenile red drum Sciaenops ocellatus. Aquaculture 433:6–12. https://doi.org/10.1016/j.aquaculture.2014.05.038
Harada E, Kiriyama H, Kobayashi E et al (1988) Postnatal development of biliary and pancreatic exocrine secretion in piglets. Comp Biochem Physiol A: Physiol 91:43–51. https://doi.org/10.1016/0300-9629(88)91590-3
Ray A, Ghosh K, Ringø E (2012) Enzyme-producing bacteria isolated from fish gut: a review. Aquacult Nutr 18:465–492. https://doi.org/10.1111/j.1365-2095.2012.00943.x
Kalantarian S, Mirzargar S, Rahmati-Holasoo H et al (2020) Effects of oral administration of acidifier and probiotic on growth performance, digestive enzymes activities and intestinal histomorphology in Salmo trutta caspius (Kessler, 1877). Iran J Fish Sci 19:1532–1555. https://doi.org/10.22092/IJFS.2019.119077
Mathew G (2009) Taxonomy, identification and biology of seabass (Lates calcarifer). In: Imelda J, Edwin JV, V S (eds) Course Manual: National Training on Cage Culture of Seabass. CMFRI & NFDB, Kochi, p 38–43
Reyshari A, Mohammadiazarm H, Mohammadian T et al (2019) Effects of sodium diformate on growth performance, gut microflora, digestive enzymes and innate immunological parameters of Asian sea bass (Lates calcarifer) juveniles. Aquacult Nutr 25:1135–1144. https://doi.org/10.1111/anu.12929
Aalamifar H, Soltanian S, Vazirzadeh A et al (2020) Dietary butyric acid improved growth, digestive enzyme activities and humoral immune parameters in Barramundi (Lates calcarifer). Aquacult Nutr 26:156–164. https://doi.org/10.1111/anu.12977
De D, Ghoshal T, Ananda Raja R et al (2015) Growth performance, nutrient digestibility and digestive enzyme activity in Asian seabass, Lates calcarifer juveniles fed diets supplemented with cellulolytic and amylolytic gut bacteria isolated from brackishwater fish. Aquacult Res 46:1688–1698. https://doi.org/10.1111/are.12325
Mobasher M, Aramesh K, Aldavoud S et al (2008) Proposing a national ethical framework for animal research in Iran. Iran J Public Health 37:39–46
Aoac (2000) Official Methods of Analysis of AOAC International. Gaithersburg Maryland, USA
Gisbert E, Mozanzadeh MT, Kotzamanis Y et al (2016) Weaning wild flathead grey mullet(Mugil cephalus) fry with diets with different levels of fish meal substitution. Aquaculture 462:92–100. https://doi.org/10.1016/j.aquaculture.2016.04
Metais P, Bieth J (1968) Détermination de l’α-amylase (determination of α-amylase). Ann Biol Clin 26:133–142
Garcia-Carreno F, Haard N (1993) Characterization of proteinase classes in langostilla (Pleuroncodes planipes) and crayfish (Pacifastacus astacus) extracts. J Food Biochem 17:97–113. https://doi.org/10.1111/j.1745-4514.1993.tb00864.x
Iijima N, Tanaka S, Ota Y (1998) Purification and characterization of bile salt-activated lipase from the hepatopancreas of red sea bream, Pagrus major. Fish Physiol Biochem 18:59–69. https://doi.org/10.1023/A:1007725513389
Aebi H (1974) Catalase. In: Methods of enzymatic analysis. Elsevier, p 673–684. https://doi.org/10.1016/B978-0-12-091302-2.50032-3
Carlberg I, Mannervik B (1975) Purification and characterization of the flavoenzyme glutathione reductase from rat liver. J Biol Chem 250:5475–5480. https://doi.org/10.1016/S0021-9258(19)41206-4
Habig WH, Pabst MJ, Jakoby WB (1974) Glutathione S-transferases: the first enzymatic step in mercapturic acid formation. J Biol Chem 249:7130–7139. https://doi.org/10.1016/S0021-9258(19)42083-8
Bradford MM (1976) A rapid and sensitive method for the quantitation of microgram quantities of protein utilizing the principle of protein-dye binding. Anal Biochem 72:248–254. https://doi.org/10.1016/0003-2697(76)90527-3
Rozen S, Skaletsky H (2000) Primer3 on the WWW for general users and for biologist programmers. In: Misener S., S.A. K (eds) Bioinformatics methods and protocols. Springer, Totowa, NJ. p 365–386. https://doi.org/10.1385/1-59259-192-2:365
Mohd-Shaharuddin N, Mohd-Adnan A, Kua B-C et al (2013) Expression profile of immune-related genes in Lates calcarifer infected by Cryptocaryon irritans. Fish Shellfish Immunol 34:762–769. https://doi.org/10.1016/j.fsi.2012.11.052
Livak KJ, Schmittgen TD (2001) Analysis of relative gene expression data using real-time quantitative PCR and the 2− ΔΔCT method. Methods 25:402–408. https://doi.org/10.1006/meth.2001.1262
Oliva-Teles A, Enes P, Peres H (2015) Replacing fishmeal and fish oil in industrial aquafeeds for carnivorous fish. Feed and feeding practices in aquaculture: 203–233. https://doi.org/10.1016/B978-0-08-100506-4.00008-8
Rasidi R, Jusadi D, Setiawati M et al (2021) Dietary supplementation of humic acid in the feed of juvenile asian seabass, Lates calcarifer to counteract possible negative effects of cadmium accumulation on growth and fish well-being when green mussel (Perna viridis) is used as a feed ingredient. Aquacult Res 52:2550–2568. https://doi.org/10.1111/are.15104
Carnevali O, De Vivo L, Sulpizio R et al (2006) Growth improvement by probiotic in European sea bass juveniles (Dicentrarchus labrax, L.), with particular attention to IGF-1, myostatin and cortisol gene expression. Aquaculture 258:430–438. https://doi.org/10.1016/j.aquaculture.2006.04.025
Fuchs V, Schmidt J, Slater M et al (2015) The effect of supplementation with polysaccharides, nucleotides, acidifiers and Bacillus strains in fish meal and soy bean based diets on growth performance in juvenile turbot (Scophthalmus maximus). Aquaculture 437:243–251. https://doi.org/10.1016/j.aquaculture.2014.12.007
Lara-Flores M, Olvera-Novoa MA, Guzmán-Méndez BE et al (2003) Use of the bacteria Streptococcus faecium and Lactobacillus acidophilus, and the yeast Saccharomyces cerevisiae as growth promoters in Nile tilapia (Oreochromis niloticus). Aquaculture 216:193–201. https://doi.org/10.1016/S0044-8486(02)00277-6
Suzer C, Çoban D, Kamaci HO et al (2008) Lactobacillus spp. bacteria as probiotics in gilthead sea bream (Sparus aurata, L.) larvae: effects on growth performance and digestive enzyme activities. Aquaculture 280:140–145. https://doi.org/10.1016/j.aquaculture.2008.04.020
Park Y, Kim H, Won S et al (2020) Effects of two dietary probiotics (Bacillus subtilis or licheniformis) with two prebiotics (mannan or fructo oligosaccharide) in Japanese eel, Anguilla japonica. Aquacult Nutr 26:316–327. https://doi.org/10.1111/anu.12993
Sangari M, Sotoudeh E, Bagheri D et al (2021) Growth, body composition, and hematology of yellowfin seabream (Acanthopagrus latus) given feeds supplemented with organic acid salts (sodium acetate and sodium propionate). Aquacult Int 29:261–273. https://doi.org/10.1007/s10499-020-00625-x
Márquez L, Robles R, Morales GA et al (2012) Gut pH as a limiting factor for digestive proteolysis in cultured juveniles of the gilthead sea bream (Sparus aurata). Fish Physiol Biochem 38:859–869. https://doi.org/10.1007/s10695-011-9573-1
Thaela M, Jensen M, Pierzynowski S et al (1998) Effect of lactic acid supplementation on pancreatic secretion in pigs after weaning. J Anim Feed Sci 7:181–183. https://doi.org/10.22358/jafs/69972/1998
Luckstadt C (2008) The use of acidifiers in fish nutrition. Nutr Nat Resour 3:1–8
Sotoudeh E, Sangari M, Bagheri D et al (2020) Dietary organic acid salts mitigate plant protein induced inflammatory response and improve humoral immunity, antioxidative status and digestive enzyme activities in yellowfin seabream, Acanthopagrus latus. Aquacult Nutr 26:1669–1680. https://doi.org/10.1111/anu.13112
Wang Y-B (2007) Effect of probiotics on growth performance and digestive enzyme activity of the shrimp Penaeus vannamei. Aquaculture 269:259–264. https://doi.org/10.1016/j.aquaculture.2007.05.035
Wang Y, Zirong X (2006) Effect of probiotics for common carp (Cyprinus carpio) based on growth performance and digestive enzyme activities. Anim Feed Sci Technol 127:283–292. https://doi.org/10.1016/j.anifeedsci.2005.09.003
Ashouri G, Soofiani NM, Hoseinifar SH et al (2020) Influence of dietary sodium alginate and Pediococcus acidilactici on liver antioxidant status, intestinal lysozyme gene expression, histomorphology, microbiota, and digestive enzymes activity, in Asian sea bass (Lates calcarifer) juveniles. Aquaculture 518:734638. https://doi.org/10.1016/j.aquaculture.2019.734638
Ghanei-Motlagh R, Gharibi D, Mohammadian T et al (2021) Feed supplementation with quorum quenching probiotics with anti-virulence potential improved innate immune responses, antioxidant capacity and disease resistance in Asian seabass (Lates calcarifer). Aquaculture 535:736345. https://doi.org/10.1016/j.aquaculture.2021.736345
Martin SA, Król E (2017) Nutrigenomics and immune function in fish: new insights from omics technologies. Dev Comp Immunol 75:86–98. https://doi.org/10.1016/j.dci.2017.02.024
Hoseinifar SH, Safari R, Dadar M (2017) Dietary sodium propionate affects mucosal immune parameters, growth and appetite related genes expression: insights from zebrafish model. Gen Comp Endocrinol 243:78–83. https://doi.org/10.1016/j.ygcen.2016.11.008
Safari R, Hoseinifar SH, Kavandi M (2016) Modulation of antioxidant defense and immune response in zebra fish (Danio rerio) using dietary sodium propionate. Fish Physiol Biochem 42:1733–1739. https://doi.org/10.1007/s10695-016-0253-z
Safari R, Hoseinifar SH, Nejadmoghadam S et al (2017) Non-specific immune parameters, immune, antioxidant and growth-related genes expression of common carp (Cyprinus carpio L.) fed sodium propionate. Aquacult Res 48:4470–4478. https://doi.org/10.1111/are.13272
Funding
This research has been financially supported by Persian Gulf University, Bushehr, Iran.
Author information
Authors and Affiliations
Contributions
Mostafa Salehi: fish husbandry; Dara Bagheri: experimental design, interpretation of results, digestive and antioxidant enzyme assessments, review, and editing; Ebrahim Sotoudeh: experimental design and feed formulation; Ahmad Ghasemi: gene expression; Mansour Torfi Mozanzadeh: interpretation of results and writing the manuscript.
Corresponding author
Ethics declarations
Consent to Participate
The authors of the manuscript voluntarily agreed to participate in this research study.
Consent for Publication
The authors voluntarily agreed to publish the manuscript in the journal of Probiotics and Antimicrobial proteins.
Competing Interests
The authors declare no competing interests.
Additional information
Publisher's Note
Springer Nature remains neutral with regard to jurisdictional claims in published maps and institutional affiliations.
Rights and permissions
About this article
Cite this article
Salehi, M., Bagheri, D., Sotoudeh, E. et al. The Combined Effects of Propionic Acid and a Mixture of Bacillus spp. Probiotic in a Plant Protein–Rich Diet on Growth, Digestive Enzyme Activities, Antioxidant Capacity, and Immune-Related Genes mRNA Transcript Abundance in Lates calcarifer Fry. Probiotics & Antimicro. Prot. 15, 655–667 (2023). https://doi.org/10.1007/s12602-021-09902-4
Accepted:
Published:
Issue Date:
DOI: https://doi.org/10.1007/s12602-021-09902-4