Skip to main content

Partial Evaluation of Autochthonous Probiotic Potential of the Gut Microbiota of Seriola lalandi

Abstract

Seriola lalandi is an economically important species that is globally distributed in temperate and subtropical marine waters. Aquaculture production of this species has had problems associated with intensive fish farming, such as disease outbreaks or nutritional deficiencies causing high mortality. Intestinal microbiota are involved in many processes that benefit a host, such as disease control, stimulation of the immune response, and the promotion of nutrient metabolism. The aim of this study is to evaluate the in vitro probiotic properties of bacteria isolated from the intestinal content of wild Seriola lalandi. The probiotic potential was evaluated in terms of (i) the antimicrobial activity against vibrios causing outbreaks in farmed fish; (ii) the ability to stimulate genes related to an innate immune response in fish; and (iii) antibiotic resistance. Nineteen isolates identified as Pseudomonas, Shewanella, Psychrobacter, and Acinetobacter showed antimicrobial activity and significant relative expression of cytokines, serum amyloid A protein (SAA), hepcidin, and lysozyme. A positive correlation was observed between the levels of expression and the bacterial load after 24 h of exposure. Pseudomonas isolates showed a level of antibiotic resistance. In conclusion, isolates of the genera Shewanella, Psychrobacter, and Acinetobacter could serve as potential probiotics in S. lalandi culture.

This is a preview of subscription content, access via your institution.

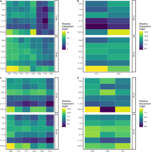
Fig. 1

References

  1. Fowler A, Ham J, Jennings P (2003) Discriminating between cultured and wild yellowtail kingfish (Seriola lalandi) in South Australia. Publication No. RD03/0159. SARDI Aquatic Sciences Publication, Adelaide

    Google Scholar 

  2. Nakada M (2002) Yellowtail culture development and solutions for the future. Rev Fish Sci 10:559–575

    Google Scholar 

  3. Moran D, Wells RMG, Pether SJ (2008) Low stress response exhibited by juvenile yellowtail kingfish (Seriola lalandi Valenciennes) exposed to hypercapnic conditions associated with transportation. Aquac Res 39:1399–1407

    CAS  Google Scholar 

  4. Ramírez C, Romero J (2017) The microbiome of Seriola lalandi of wild and aquaculture origin reveals differences in composition and potential function. Front Microbiol 8:1–10

    Google Scholar 

  5. Poortenaar CW, Hooker SH, Sharp N (2001) Assessment of yellowtail kingfish (Seriola lalandi) reproductive physiology, as a basis for aquaculture development. Aquaculture 201:271–286

    Google Scholar 

  6. Fielder S, Heasman M (2011) Hatchery manual for the production of Australian bass, mulloway and yellowtail kingfish Industry & Investment NSW, ISBN 978 1 74256 058 8. 176 pp

  7. Toranzo AE, Magariños B, Romalde JL (2005) A review of the main bacterial fish diseases in mariculture systems. Aquaculture 246:37–61

    Google Scholar 

  8. Dang H, Zhang X, Song L et al (2006) Molecular characterizations of oxytetracycline resistant bacteria and their resistance genes from mariculture waters of China. Mar Pollut Bull 52:1494–1503

    CAS  PubMed  Google Scholar 

  9. Miranda CD, Godoy FA, Lee MR (2018) Current status of the use of antibiotics and the antimicrobial resistance in the Chilean salmon farms. Front Microbiol 9:1–14

    CAS  Google Scholar 

  10. Pindling S, Azulai D, Zheng B et al (2018) Dysbiosis and early mortality in zebrafish larvae exposed to subclinical concentrations of streptomycin. FEMS Microbiol Lett 365:1–9

    Google Scholar 

  11. Schmidt V, Gomez-Chiarri M, Roy C et al (2017) Subtle microbiome manipulation using probiotics reduces antibiotic-associated mortality in fish. mSystems 2:1–13

    Google Scholar 

  12. He S, Wang Q, Li S et al (2017) Antibiotic growth promoter olaquindox increases pathogen susceptibility in fish by inducing gut microbiota dysbiosis. Sci China Life Sci 60:1260–1270

    CAS  PubMed  Google Scholar 

  13. Wang E, Yuan Z, Wang K et al (2019) Consumption of florfenicol-medicated feed alters the composition of the channel catfish intestinal microbiota including enriching the relative abundance of opportunistic pathogens. Aquaculture 501:111–118

    CAS  Google Scholar 

  14. Gram L, Melchiorsen J, Spanggaard B et al (1999) Inhibition of Vibrio anguillarum by Pseudomonas fluorescens AH2, a possible probiotic treatment of fish. Appl Environ Microbiol 65:969–973

    CAS  PubMed  PubMed Central  Google Scholar 

  15. Spanggaard B, Huber I, Nielsen J et al (2001) The probiotic potential against vibriosis of the indigenous microflora of rainbow trout. Environ Microbiol 3:755–765

    CAS  PubMed  Google Scholar 

  16. Seghouani H, Garcia-Rangel CE, Füller J et al (2017) Walleye autochthonous bacteria as promising probiotic candidates against Flavobacterium columnare. Front Microbiol 8:1–9

    Google Scholar 

  17. Lazado CC, Caipang CMA, Gallage S et al (2010) Expression profiles of genes associated with immune response and oxidative stress in Atlantic cod, Gadus morhua head kidney leukocytes modulated by live and heat-inactivated intestinal bacteria. Comp Biochem Physiol Part B 155:249–255

    Google Scholar 

  18. Beck BR, Kim D, Jeon J et al (2015) The effects of combined dietary probiotics Lactococcus lactis BFE920 and Lactobacillus plantarum FGL0001 on innate immunity and disease resistance in olive flounder (Paralichthys olivaceus). Fish Shellfish Immunol 42:177–183

    CAS  Google Scholar 

  19. Mohammadian T, Alishahi M, Tabandeh MR et al (2017) Changes in immunity, expression of some immune-related genes of shabot fish, Tor grypus, following experimental infection with Aeromonas hydrophila: effects of autochthonous probiotics. Probiotics Antimicrob Proteins 10:616–628

    Google Scholar 

  20. Mohammadian T, Alishahi M, Tabandeh MR et al (2018) Effects of autochthonous probiotics, isolated from Tor grypus (Karaman, 1971) intestine and Lactobacillus casei (PTCC 1608) on expression of immune-related genes. Aquac Int 27:239–260

    Google Scholar 

  21. Balcázar JL, de Blas I, Ruiz-Zarzuela I et al (2006) The role of probiotics in aquaculture. Vet Microbiol 114:173–186

    PubMed  PubMed Central  Google Scholar 

  22. Zorriehzahra MJ, Delshad ST, Adel M et al (2016) Probiotics as beneficial microbes in aquaculture: an update on their multiple modes of action: a review. Vet Q 36:228–241

    PubMed  PubMed Central  Google Scholar 

  23. Verschuere L, Rombaut G, Sorgeloos P, Verstraete W (2000) Probiotic bacteria as biological control agents in aquaculture. Microbiol Mol Biol Rev 64:655–671

    CAS  PubMed  PubMed Central  Google Scholar 

  24. Kesarcodi-Watson A, Kaspar H, Lategan MJ, Gibson L (2008) Probiotics in aquaculture: the need, principles and mechanisms of action and screening processes. Aquaculture 274:1–14

    Google Scholar 

  25. Makridis P, Martins S, Reis J, Dinis MT (2008) Use of probiotic bacteria in the rearing of Senegalese sole (Solea senegalensis) larvae. Aquac Res 39:627–634

    Google Scholar 

  26. Caipang CMA, Brinchmann MF, Kiron V (2010) Antagonistic activity of bacterial isolates from intestinal microbiota of Atlantic cod, Gadus morhua, and an investigation of their immunomodulatory capabilities. Aquac Res 41:249–256

    Google Scholar 

  27. Sharifuzzaman SM, Austin B (2010) Kocuria SM1 controls vibriosis in rainbow trout (Oncorhynchus mykiss, Walbaum). J Appl Microbiol 108:2162–2170

    CAS  PubMed  Google Scholar 

  28. He S, Zhang Y, Xu L et al (2013) Effects of dietary Bacillus subtilis C-3102 on the production, intestinal cytokine expression and autochthonous bacteria of hybrid tilapia Oreochromis niloticus ♂×Oreochromis aureus ♀. Aquaculture 412–413:125–130

    Google Scholar 

  29. Sun YZ, Yang HL, Huang KP et al (2013) Application of autochthonous Bacillus bioencapsulated in copepod to grouper Epinephelus coioides larvae. Aquaculture 392–395:44–50

    Google Scholar 

  30. Tapia-Paniagua ST, Vidal S, Lobo C et al (2014) The treatment with the probiotic Shewanella putrefaciens Pdp11 of specimens of Solea senegalensis exposed to high stocking densities to enhance their resistance to disease. Fish Shellfish Immunol 41:209–221

    CAS  PubMed  Google Scholar 

  31. Giri SS, Sukumaran V, Sen SS, Jena PK (2014) Effects of dietary supplementation of potential probiotic Bacillus subtilis VSG1 singularly or in combination with Lactobacillus plantarum VSG3 or/and Pseudomonas aeruginosa VSG2 on the growth, immunity and disease resistance of Labeo rohita. Aquac Nutr 20:163–171

    CAS  Google Scholar 

  32. Nayak SK (2010) Role of gastrointestinal microbiota in fish. Aquac Res 41:1553–1573

    Google Scholar 

  33. Mills S, Stanton C, Fitzgerald GF, Ross RP (2011) Enhancing the stress responses of probiotics for a lifestyle from gut to product and back again. Microb Cell Factories 10:S19

    Google Scholar 

  34. Romero J, Navarrete P (2014) Marine vertebrate animal metagenomics, Salmonidae: the microbiota of the digestive tract of salmonids. In: Highlander SK, Rodriguez-Valera F, White BA (eds) Encyclopedia of metagenomics. Springer, Boston, pp 1–7

    Google Scholar 

  35. Berg R (1996) The indigenous gastrointestinal microflora. Trends Microbiol 4:430–435

    CAS  PubMed  Google Scholar 

  36. Rawls JF, Samuel BS, Gordon JI (2004) Gnotobiotic zebrafish reveal evolutionarily conserved responses to the gut microbiota. Proc Natl Acad Sci U S A 101:4596–4601

    CAS  PubMed  PubMed Central  Google Scholar 

  37. Chabrillón M, Rico RM, Arijo S et al (2005) Interactions of microorganisms isolated from gilthead sea bream, Sparus aurata L., on Vibrio harveyi, a pathogen of farmed Senegalese sole, Solea senegalensis (Kaup). J Fish Dis 28:531–537

    PubMed  Google Scholar 

  38. Dethlefsen L, McFall-Ngai M, Relman DA (2007) An ecological and evolutionary perspective on humang-microbe mutualism and disease. Nature 449:811–818

    CAS  PubMed  Google Scholar 

  39. Ley RE, Lozupone CA, Hamady M et al (2009) Worlds within worlds: evolution of the vertebrate gut microbiota. Nat Rev Microbiol 6:776–788

    Google Scholar 

  40. Hooper LV, Littman DR, Macpherson AJ (2012) Interactions between the microbiota and the immune system. Science 336(80):1268–1273

    CAS  PubMed  PubMed Central  Google Scholar 

  41. Rosshart SP, Vassallo BG, Angeletti D et al (2017) Wild mouse gut microbiota promotes host fitness and improves disease resistance. Cell 171:1015–1028

    CAS  PubMed  PubMed Central  Google Scholar 

  42. Bacanu GM, Lucian O (2013) Differences in the gut microbiota between wild and domestic Acipenser ruthenus evaluated by denaturing gradient gel electrophoresis. Rom Biotechnol Lett 18:8069–8076

    CAS  Google Scholar 

  43. Kim D-H, Kim D (2013) Microbial diversity in the intestine of olive flounder (Paralichthys olivaceus). Aquaculture 414–15:103–108

    Google Scholar 

  44. Dhanasiri AKS, Brunvold L, Brinchmann MF et al (2011) Changes in the intestinal microbiota of wild Atlantic cod Gadus morhua l. upon captive rearing. Microb Ecol 61:20–30

    PubMed  Google Scholar 

  45. Ramírez C, Romero J (2017) Fine flounder (Paralichthys adspersus) microbiome showed important differences between wild and reared specimens. Front Microbiol 8:1–12

    Google Scholar 

  46. Dopazo CP, Lemos ML, Lodeiros C et al (1988) Inhibitory activity of antibiotic producing marine bacteria against fish pathogens. J Appl Bacteriol 65:97–101

    CAS  PubMed  Google Scholar 

  47. Leyton Y, Riquelme C (2010) Marine Bacillus spp. associated with the egg capsule of Concholepas concholepas (common name “loco”) have an inhibitory activity toward the pathogen Vibrio parahaemolyticus. Microb Ecol 60:599–605

    PubMed  Google Scholar 

  48. Dannevig B, Brudeseth B, Gjoen T et al (1997) Characterisation of a long-term cell line (SHK-1) developed from the head kidney of Atlantic salmon (Salmo salar L.). Fish Shellfish Immunol 7:213–226

    Google Scholar 

  49. Vourc’h M, Roquilly A, Broquet A et al (2017) Exoenzyme T plays a pivotal role in the IFN-γ production after Pseudomonas challenge in IL-12 primed natural killer cells. Front Immunol 8:2–10

    Google Scholar 

  50. CLSI (2006) Methods for antimicrobial disk susceptibility testing of bacteria isolated from aquatic animals, approved guideline M42-A. Clinical and Laboratory Standards Institute, Wayne

    Google Scholar 

  51. Miranda CD, Rojas R (2007) Occurrence of florfenicol resistance in bacteria associated with two Chilean salmon farms with different history of antibacterial usage. Aquaculture 266:39–46

    CAS  Google Scholar 

  52. Pfaffl MW (2001) A new mathematical model for relative quantification in real-time RT-PCR. Nucleic Acids Res 29:e45

    CAS  PubMed  PubMed Central  Google Scholar 

  53. Sun Y, Yang H, Ling Z et al (2009) Gut microbiota of fast and slow growing grouper. Afr J Microbiol Res 3:713–720

    Google Scholar 

  54. Balakrishna A, Keerthi TR (2012) Screening of potential aquatic probiotics from the major microflora of guppies (Poecilia reticulata). Front Chem Sci Eng 6:163–173

    CAS  Google Scholar 

  55. Hoseinifar SH, Sun YZ, Wang A, Zhou Z (2018) Probiotics as means of diseases control in aquaculture, a review of current knowledge and future perspectives. Front Microbiol 9:1–18

    Google Scholar 

  56. Lazado CC, Caipang CMA (2014) Mucosal immunity and probiotics in fish. Fish Shellfish Immunol 39:78–89

    CAS  PubMed  Google Scholar 

  57. Muñoz-Atienza E, Araújo C, Magadán S et al (2014) In vitro and in vivo evaluation of lactic acid bacteria of aquatic origin as probiotics for turbot (Scophthalmus maximus L.) farming. Fish Shellfish Immunol 41:570–580

    PubMed  Google Scholar 

  58. Cordero H, Morcillo P, Meseguer J et al (2016) Effects of Shewanella putrefaciens on innate immunity and cytokine expression profile upon high stocking density of gilthead seabream specimens. Fish Shellfish Immunol 51:33–40

    CAS  PubMed  Google Scholar 

  59. Bayne CJ, Gerwick L (2001) The acute phase response and innate immunity of fish. Dev Comp Immunol 25:725–743

    CAS  PubMed  Google Scholar 

  60. Mukaida N, Shiroo M, Matsushima K (1989) Genomic structure of the human monocyte-derived neutrophil chemotactic factor IL-8. J Immunol 143:1366–1371

    CAS  PubMed  Google Scholar 

  61. Giri SS, Sen SS, Jun JW et al (2016) Heat-killed whole-cell products of the probiotic Pseudomonas aeruginosa VSG2 strain affect in vitro cytokine expression in head kidney macrophages of Labeo rohita. Fish Shellfish Immunol 50:310–316

    CAS  PubMed  Google Scholar 

  62. Shah C, Hari-dass R, Raynes JG (2006) Serum amyloid A is an innate immune opsonin for Gram-negative bacteria. Blood 108:1–34

    Google Scholar 

  63. Jensen L, Hiney M, Shields D et al (1997) Acute phase proteins in salmonids. Evolutionary analyses and acute phase response. J Immunol 158:384–392

    CAS  PubMed  Google Scholar 

  64. Kania PW, Chettri JK, Buchmann K (2014) Characterization of serum amyloid A (SAA) in rainbow trout using a new monoclonal antibody. Fish Shellfish Immunol 40:648–658

    CAS  PubMed  Google Scholar 

  65. Muncaster S, Kraakman K, Gibbons O et al (2018) Antimicrobial peptides within the yellowtail kingfish (Seriola lalandi). Dev Comp Immunol 80:67–80

    CAS  PubMed  Google Scholar 

  66. Álvarez CA, Acosta F, Montero D et al (2016) Synthetic hepcidin from fish: uptake and protection against Vibrio anguillarum in sea bass (Dicentrarchus labrax). Fish Shellfish Immunol 55:662–670

    PubMed  Google Scholar 

  67. Álvarez CA, Guzmán F, Cárdenas C et al (2014) Antimicrobial activity of trout hepcidin. Fish Shellfish Immunol 41:93–101

    PubMed  Google Scholar 

  68. Jiang XF, Liu ZF, Lin AF et al (2017) Coordination of bactericidal and iron regulatory functions of hepcidin in innate antimicrobial immunity in a zebrafish model. Sci Rep 7:1–15

    Google Scholar 

  69. Meidong R, Khotchanalekha K, Doolgindachbaporn S et al (2018) Evaluation of probiotic Bacillus aerius B81e isolated from healthy hybrid catfish on growth, disease resistance and innate immunity of Pla-mong Pangasius bocourti. Fish Shellfish Immunol 73:1–10

    CAS  PubMed  PubMed Central  Google Scholar 

  70. Das A, Nakhro K, Chowdhury S, Kamilya D (2013) Effects of potential probiotic Bacillus amyloliquifaciens FPTB16 on systemic and cutaneous mucosal immune responses and disease resistance of catla (Catla catla). Fish Shellfish Immunol 35:1547–1553

    CAS  PubMed  Google Scholar 

  71. Sangma T, Kamilya D (2015) Dietary Bacillus subtilis FPTB13 and chitin, single or combined, modulate systemic and cutaneous mucosal immunity and resistance of catla, Catla catla (Hamilton) against edwardsiellosis. Comp Immunol Microbiol Infect Dis 43:8–15

    PubMed  Google Scholar 

  72. Giri SS, Sen SS, Sukumaran V (2012) Effects of dietary supplementation of potential probiotic Pseudomonas aeruginosa VSG-2 on the innate immunity and disease resistance of tropical freshwater fish, Labeo rohita. Fish Shellfish Immunol 32:1135–1140

    CAS  PubMed  PubMed Central  Google Scholar 

  73. Ramesh D, Vinothkanna A, Rai AK, Vignesh VS (2015) Isolation of potential probiotic Bacillus spp. and assessment of their subcellular components to induce immune responses in Labeo rohita against Aeromonas hydrophila. Fish Shellfish Immunol 45:268–276

    CAS  PubMed  PubMed Central  Google Scholar 

  74. Lin B, Chen S, Cao Z et al (2007) Acute phase response in zebrafish upon Aeromonas salmonicida and Staphylococcus aureus infection: striking similarities and obvious differences with mammals. Mol Immunol 44:295–301

    CAS  PubMed  Google Scholar 

  75. Makled S, Hamdan A, El-Sayed A-F, Hafez E (2017) Evaluation of marine psychrophile, Psychrobacter namhaensis SO89, as a probiotic in Nile tilapia (Oreochromis niloticus) diets. Fish Shellfish Immunol 61:194–200

    CAS  PubMed  PubMed Central  Google Scholar 

  76. Ramos MA, Gonçalves JFM, Batista S et al (2015) Growth, immune responses and intestinal morphology of rainbow trout (Oncorhynchus mykiss) supplemented with commercial probiotics. Fish Shellfish Immunol 45:19–26

    CAS  PubMed  Google Scholar 

  77. Pfeifer Y, Cullik A, Witte W (2010) Resistance to cephalosporins and carbapenems in Gram-negative bacterial pathogens. Int J Med Microbiol 300:371–379

    CAS  PubMed  Google Scholar 

  78. Kittinger C, Lipp M, Baumert R et al (2016) Antibiotic resistance patterns of Pseudomonas spp. isolated from the river Danube. Front Microbiol 7:1–8

    Google Scholar 

  79. Livermore DM (2002) Multiple mechanisms of antimicrobial resistance in Pseudomonas aeruginosa: our worst nightmare? Clin Infect Dis 34:634–640

    CAS  PubMed  Google Scholar 

  80. Shin HW, Lim J, Kim S et al (2014) Characterization of trimethoprim-sulfamethoxazole resistance genes and their relatedness to class 1 integron and insertion sequence common region in gram-negative bacilli. J Microbiol Biotechnol 25:137–142

    Google Scholar 

  81. Doublet B, Schwarz S, Kehrenberg C, Cloeckaert A (2005) Florfenicol resistance gene floR is part of a novel transposon. Antimicrob Agents Chemother 49:2106–2108

    CAS  PubMed  PubMed Central  Google Scholar 

  82. Gordon L, Cloeckaert A, Doublet B et al (2008) Complete sequence of the floR-carrying multiresistance plasmid pAB5S9 from freshwater Aeromonas bestiarum. J Antimicrob Chemother 62:65–71

    CAS  PubMed  Google Scholar 

  83. Kehrenberg C, Schwarz S (2006) Distribution of florfenicol resistance genes fexA and cfr among chloramphenicol-resistant Staphylococcus isolates. Antimicrob Agents Chemother 50:1156–1163

    CAS  PubMed  PubMed Central  Google Scholar 

  84. Whitehead J (2009) Intestinal alkaline phosphatase: the molecular link between rosacea and gastrointestinal disease? Med Hypotheses 73:1019–1022

    CAS  PubMed  Google Scholar 

  85. Ray AK, Ghosh K, Ringø E (2012) Enzyme-producing bacteria isolated from fish gut: a review. Aquac Nutr 18:465–492

    CAS  Google Scholar 

Download references

Acknowledgments

CR would like to acknowledge the National Commission of Scientific and Technologic Research (CONICYT) for the funding through the National PhD funding program.

Funding

This project was funded by a research grant from FONDECYT 1140734 and 1171129 (Fondo Nacional de Desarrollo Científico y Tecnológico, Chile) and supported by project Aquapacifico 15PCTI-46284 from Corfo.

Author information

Affiliations

Authors

Contributions

CR performed microbial isolation, DNA and RNA extraction, and data analysis and interpretation and wrote the original draft. RR performed the antimicrobial activity and antibiotic resistance studies and reviewed and edited. JR designed the work and reviewed and edited manuscript. All authors have made intellectual contributions to the work and approved it for publication.

Corresponding author

Correspondence to Jaime Romero.

Ethics declarations

Conflict of Interest

The authors declare that they have no conflicts of interest.

Additional information

Publisher’s Note

Springer Nature remains neutral with regard to jurisdictional claims in published maps and institutional affiliations.

Electronic Supplementary Material

ESM 1

(XLSX 26 kb)

Rights and permissions

Reprints and Permissions

About this article

Verify currency and authenticity via CrossMark

Cite this article

Ramírez, C., Rojas, R. & Romero, J. Partial Evaluation of Autochthonous Probiotic Potential of the Gut Microbiota of Seriola lalandi. Probiotics & Antimicro. Prot. 12, 672–682 (2020). https://doi.org/10.1007/s12602-019-09550-9

Download citation

  • Published:

  • Issue Date:

  • DOI: https://doi.org/10.1007/s12602-019-09550-9

Keywords

  • Probiotic
  • Microbiota
  • Antimicrobial activity
  • Immune-related genes
  • Seriola lalandi