Abstract
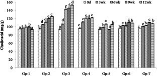
Safety and efficacy was investigated for two candidate probiotic B. flexus MCC2427 and B. licheniformis MCC2512 via in vivo studies on albino Wistar rats. In acute toxicity assay, rats were fed with single dose of 1010 cfu mL−1 of probiotics. The follow-up studies for next 14 days did not reveal any toxicity-related criteria indicating the non-toxicity nature of probiotics. In 90-day repeated dosage studies, the cultures were administered in three doses (106, 107, 108 cfu mL−1). Results showed no overt toxic effect and no drastic treatment-related changes pertaining to histopathology of vital organs. DNA fingerprinting indicated the lack of bacterial translocation. Superoxide dismutase and catalase activity indicated their antioxidant potential. Reduced serum cholesterol with improved HDL-cholesterol specified the cholesterol-reducing ability of the cultures, which was also apparent with increased excretion of cholic acid in feces. Both probiotic cultures positively altered the gut microbial environment, retained lactic acid bacterial effect, and simultaneously reduced pathogenic strains. A sensitive and rapid tool was developed using strain-specific qPCR primers, which facilitated appropriate estimation of test culture in feces. The data strongly advocate the safety of tested probiotics at levels used in the study.






References
Wolvers D, Antoine JM, Myllyluoma E, Schrezenmeir J, Szajewska H, Rijkers GT (2010) Guidance for substantiating the evidence for beneficial effects of probiotics: prevention and management of infections by probiotics. J Nutr 140(3):698S–712S. https://doi.org/10.3945/jn.109.113753
Veizaj-Delia E, Piu T, Lekaj P, Tafaj M (2010) Using combined probiotic to improve growth performance of weaned piglets on extensive farm conditions. Livestock Sci 134(1-3):249–251. https://doi.org/10.1016/j.livsci.2010.06.155
Alexopoulos C, Georgoulakis IE, Tzivara A, Kritas SK, Siochu A, Kyriakis SC (2004) Field evaluation of the efficacy of a probiotic containing Bacillus licheniformis and Bacillus subtilis spores, on the health status and performance of cows and their litters. J Anim Physiol Anim Nutr 88(11–12):381–392. https://doi.org/10.1111/j.1439-0396.2004.00492.x
Baker AA, Davis E, Spencer JD, Moser R, Rehberger T (2013) The effect of a Bacillus-based direct-fed microbial supplemented to sows on the gastrointestinal microbiota of their neonatal piglets. J Anim Sci 91(7):3390–3399. https://doi.org/10.2527/jas.2012-5821
Chesson A (1994) Probiotics and other intestinal mediators. In: Cole DJA, Wiseman J, Varley MA (eds) Principles of pig science. Nottingham University Press, Loughborough, pp 197–214
Endres JR, Qureshi I, Farber T, Hauswirth J, Hirka G, Pasics I, Schauss AG (2011) One year chronic oral toxicity with combined reproduction toxicity study of a novel probiotic, Bacillus coagulans, as a food ingredient. Food Chem Toxicol 49(5):1174–1182. https://doi.org/10.1016/j.fct.2011.02.012
Sanders ME, Morelli L, Tompkins TA (2003) Sporeformers as human probiotics: Bacillus, Sporolactobacillus, and Brevibacillus. Compr Rev Food Sci F 2(3):101–110. https://doi.org/10.1111/j.1541-4337.2003.tb00017.x
Kamgar M, Pourgholam M, Ghiasi M, Masood G (2013) Studies on Bacillus subtilis, as potential probiotics, on the biochemical parameters of rainbow trout, Oncorhynchus mykiss (Walbaum) to challenge infections. Adv Stud Biol 5(1):37–50. https://doi.org/10.12988/asb.2013.13004
Wu BQ, Zhang T, Guo LQ, Lin JF (2011) Effect of Bacillus subtilis KD1 on broiler intestinal flora. Poult Sci 90(11):2493–2499. https://doi.org/10.3382/ps.2011-01529
Shobharani P, Halami PM (2014) Cellular fatty acid profile and H+-ATPase activity to assess acid tolerance of Bacillus sp. for potential probiotic functional attributes. Appl Microbiol Biotechnol 98(21):9045–9058. https://doi.org/10.1007/s00253-014-5981-3
Shobharani P, Padmaja RJ, Halami PM (2015) Diversity in the antibacterial potential of probiotic cultures Bacillus licheniformis MCC2514 and Bacillus licheniformis MCC2512. Res Microbiol 166(6):546–554. https://doi.org/10.1016/j.resmic.2015.06.003
Shobharani P, Halami PM (2015) In-vitro evaluation on cholesterol reducing ability of potential probiotic Bacillus spp. Ann Microbiol 66(2):643–651
Reeves PG, Rossw KL, Lndlauf J (1993) Development and testing of the AIM-93 purified diets for rodents: results on growth, kidney calcification and bone mineralization in rats and mice. J Nutr 123:1023–1031
Lowry OH, Rosebrough NJ, Farr AL, Randall RJ (1951) Protein measurement with the folin phenol reagent. J Biol Chem 193(1):265–275
Bligh EG, Dyer WJ (1993) A rapid method of total lipid extraction and purification. J. Biochem Physiol 37:911–917
Irwin JL, Johnson CG, Kopalo J (1944) A photometric method of the determination of cholates in bile and blood. J Biol Chem 153:439–457
Mora D, Fortina MG, Parini C, Daffonchio D, Manachini PL (2000) Genomic subpopulations within the species Pediococcus acidilactici detected by multilocus typing analysis: relationships between pediocin AcH/PA-1 producing and non-producing strains. Microbiol 146(8):2027–2038. https://doi.org/10.1099/00221287-146-8-2027
Nithya V, Muthukumar SP, Halami PM (2012) Safety assessment of Bacillus licheniformis Me1 isolated from milk for probiotic application. Int J Toxicol 31(3):228–237. https://doi.org/10.1177/1091581812443388
Zhou JS, Shu Q, Rutherfurd KJ, Prasad J, Birtles MJ, Gopal PK, Gill HS (2000) Safety assessment of potential probiotic lactic acid bacterial strains Lactobacillus rhamnosus HN001, Lactobacillus acidophilus HN017, and Bifidobacterium lactis HN019 in BALB/c mice. Int J Food Microbiol 56(1):87–96. https://doi.org/10.1016/S0168-1605(00)00219-1
Foo HL, Loh TC, Law FL, Lim YZ, Kufli CN, Rusul G (2003) Effects of feeding Lactobacillus plantarum I-UL4 isolated from Malaysian Temphe on growth performance, faecal flora and lactic acid bacteria and plasma cholesterol concentrations in post-weaning rats. Food Sci Biotechnol 4:403–408
Srivastava T, Kynzang C (2007) Clinical enzymology and its applications. Clin Biochem 4:3–4
Harper HA, Rodwell VW, Mayes PA (1979) Review of physiological chemistry. Lange Medical Publications, Los Altos
Ranganathan N, Patel B, Ranganathan P, Marczely J, Dheer R, Chordia T, Dunn SR, Friedman EA (2005) Probiotic amelioration of azotemia in 5/6th nephrectomized Sprague-Dawley rats. Sci World J 5:652–660. https://doi.org/10.1100/tsw.2005.86
Liong MT, Dunshea FR, Shah NP (2007) Effects of a synbiotic containing Lactobacillus acidophilus ATCC 4962 on plasma lipid profiles and morphology of erythrocytes in hypercholesterolemic pigs on high- and low-fat diets. Br J Nutr 98(4):736–744. https://doi.org/10.1017/S0007114507747803
Ooi LG, Liong MT (2010) Cholesterol-lowering effects of probiotics and prebiotics: a review of in-vivo and in-vitro findings. Int J Mol Sci 11(6):2499–2522. https://doi.org/10.3390/ijms11062499
Plaza-Diaz J, Gomez-Llorente C, Abadia-Molina F, Saez-Lara MJ, Campana-Martin L, Munoz-Quezada S, Romero F, Gil A, Fontana L (2014) Effects of Lactobacillus paracasei CNCM I-4034, Bifidobacterium breve CNCM I-4035 and Lactobacillus rhamnosus CNCM I-4036 on hepatic steatosis in Zucker rats. PLoS One 9(5):e98401. https://doi.org/10.1371/journal.pone.0098401
Spyropoulos BG, Misiakos EP, Fotiadis C, Stoidis CN (2011) Antioxidant properties of probiotics and their protective effects in the pathogenesis of radiation-induced enteritis and colitis. Dig Dis Sci 56(2):285–294. https://doi.org/10.1007/s10620-010-1307-1
Zommara M, Tachibana N, Sakono M, Suzuki Y, Odo T, Hashiba H, Imaizami K (1996) Whey from cultured skim milk decrease serum cholesterol and increase antioxidant enzymes in liver and red blood cells in rats. Nutr Res 16(2):293–302. https://doi.org/10.1016/0271-5317(96)00013-9
Kapila S, Kapila R, Reddi S, Sinha PR (2014) Oral administration of probiotic Lactobacillus casei spp. casei ameliorates oxidative stress in rats. Int J Curr Microbiol App Sci 3(9):670–684
Balakrishnan R, Satish Kumar CSV, Kondal Reddy K, Usha Rani M, Srikanth MK, Kavitha K, Boobalan G, Gopala Reddy A (2014) Antioxidant activity of coated probiotic Lactobacillus casei on chromium(vi) induced oxidative stress in rats. Proc Natl Acad Sci India Sect B Biol Sci 84(2):305–310. https://doi.org/10.1007/s40011-013-0215-5
Ruiz J, Cava R, Antequera A, Martın L, Ventanas J, Lopez-Bote CJ (1998) Prediction of the feeding background of Iberian pigs using the fatty acid profile of subcutaneous, muscle and hepatic fat. Meat Sci 49(2):155–163. https://doi.org/10.1016/S0309-1740(97)00136-8
Razmaite V, Švirmickas GJ (2012) Comparison of fatty acid composition in different pig tissues. Vet Med Zoot 58(80):77–82
Fukushima M, Nakano M (1995) The effect of a probiotic on faecal and liver lipid classes in rats. Br J Nutr 73(05):701–710. https://doi.org/10.1079/BJN19950074
Parra V, Petron MJ, Martın L, Broncano JM, Timon ML (2010) Modification of the fat composition of the Iberian pig using Bacillus licheniformis and Bacillus subtilis. Eur J Lipid Sci Technol 112(7):720–726. https://doi.org/10.1002/ejlt.200900155
Zheng Y, Lu Y, Wang J, Yang L, Pan C, Huang Y (2013) Probiotic properties of Lactobacillus strains isolated from Tibetan kefir grains. PLoS One 8(7):e69868. https://doi.org/10.1371/journal.pone.0069868
Islam RS, DiBaise JK (2012) Bile acids: an underrecognized and underappreciated cause of chronic diarrhea. Ed: Parrish CR. Inflammatory bowel disease: a practical approach, series 110
Johnston I, Nolan J, Pattni S, Walters JR (2011) New insights into bile acid malabsorption. Curr Gastroenterol Rep 13(5):418–525. https://doi.org/10.1007/s11894-011-0219-3
Plaza-Diaz J, Gomez-Llorente C, Campana-Martin L, Matencio E, Ortuno I, Martinez-Silla R, Gomez-Gallego C, Periago MJ, Ros G, Chenoll E, Genoes S, Casinos B, Sila A, Corella D, Portoles O, Romero F, Ramon D, Cruz APD, Gil A, Fontana L (2013) Safety and immunomodulatory effects of three probiotic strains isolated from the feces of breast fed infants in healthy adults: Setoprob study. PLoS One 8(10):e78111. https://doi.org/10.1371/journal.pone.0078111
Todorov SD, Dicks LMT (2005) Lactobacillus plantarum isolated from molasses produces bacteriocins active against Gram-negative bacteria. Enzyme Microb Tech 36(2-3):318–326. https://doi.org/10.1016/j.enzmictec.2004.09.009
Loh TC, Foo HL, Tan SH, Goh YM, Shukriyah MH, Kufli CN (2003) Effects of fermented products on performance, faecal pH, Enterobacteriaceae and lactic acid bacteria counts and interrelationships and plasma cholesterol concentration in rats. J Anim Feed Sci 12(3):633–644. https://doi.org/10.22358/jafs/67757/2003
Ahmed ST, Hoon J, Mun HS, Yang CJ (2014) Evaluation of Lactobacillus and Bacillus-based probiotics as alternatives to antibiotics in enteric microbial challenged weaned piglets. Afr J Microbiol Res 8(1):96–104
Moore WE, Holdeman LV (1974) Special problems associated with the isolation and identification of intestinal bacterial in fecal flora studies. Am J Clin Nutr 27(12):1450–1455. https://doi.org/10.1093/ajcn/27.12.1450
Nadkarni MA, Martin FE, Jacques NA, Hunter N (2002) Determination of bacterial load by real-time PCR using a broad-range (universal) probe and primer set. Microbiol 148(Pt 1):257–266. https://doi.org/10.1099/00221287-148-1-257
Ott SJ, Musfeldt M, Ullmann U, Hampe J, Schreiber S (2004) Quantification of intestinal bacterial populations by real-time PCR with a universal primer set and minor groove binder probes: a global approach to the enteric flora. J Clin Microbiol 42(6):2566–2572. https://doi.org/10.1128/JCM.42.6.2566-2572.2004
Peng M, Smith AH, Rehberger TG (2011) Quantification of Propionibacterium acidipropionici P169 bacteria in environmental samples by use of strain-specific primers derived by suppressive subtractive hybridization. Appl Environ Microbiol 77(11):3898–3902. https://doi.org/10.1128/AEM.02586-10
Karjalainen H, Ahlroos T, Myllyluoma E, Tynkkynen S (2012) Real-time PCR assays for strain-specific quantification of probiotic strains in human faecal samples. Int Dairy J 27(1-2):58–64. https://doi.org/10.1016/j.idairyj.2012.07.006
Sattler VA, Mohnl M, Klose V (2014) Development of a strain-specific real-time PCR assay for enumeration of a probiotic Lactobacillus reuteri in chicken feed and intestine. PLoS One 9(2):e90208. https://doi.org/10.1371/journal.pone.0090208
Peng JS, Liu ZH, Li CJ, Wu XB, Diao DC, Du YP, Chen JR, Li Y, Wang HS (2010) Development of a real-time PCR method for the detection of bacterial colonization in rat models of severe acute pancreatitis. Chin Med J 123(3):326–331
Ji J, Hu S, Li W (2013) Probiotic Bacillus amyloliquefaciens SC06 prevents bacterial translocation in weaned mice. Ind J Microbiol 53(3):323–328. https://doi.org/10.1007/s12088-013-0387-y
Acknowledgements
The authors wish to thank the Director, CSIR-CFTRI, for all the facilities.
Funding
SRP acknowledges the SERB-Department of Science and Technology, Govt of India, New Delhi, for sponsoring the start-up project grant (project no. SR/FT/LS-203/2009).
Author information
Authors and Affiliations
Corresponding author
Ethics declarations
This study was carried out strictly in accordance with the guidelines of Committee for the Purpose of Control and Supervision of Experiments on Animals (CPCSEA), Government of India. All animals received regular human care. The experimental protocol was approved by the Institute Animal Ethical Committee (IAEC No. 287/2014).
Conflict of Interest
The authors declare that they have no conflict of interest.
Rights and permissions
About this article
Cite this article
Shobharani, P., Muthukumar, S.P., Kizhakayil, D. et al. Strain-Specific Quantification of Native Probiotic Bacillus spp. and Their Effect on Liver Function and Gut Microflora of Experimental Rats. Probiotics & Antimicro. Prot. 11, 478–492 (2019). https://doi.org/10.1007/s12602-018-9391-1
Published:
Issue Date:
DOI: https://doi.org/10.1007/s12602-018-9391-1