Abstract
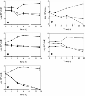
Bacillus cereus is an endospore-forming, Gram-positive bacterium able to cause foodborne diseases. Lactic acid bacteria (LAB) are known for their ability to synthesize organic acids and bacteriocins, but the potential of these compounds against B. cereus has been scarcely documented in food models. The present study has examined the effect of the metabolites produced by Lactobacillus johnsonii CRL1647 and Enterococcus faecium SM21 on the viability of select B. cereus strains. Furthermore, the effect of E. faecium SM21 metabolites against B. cereus strains has also been investigated on a rice food model. L. johnsonii CRL1647 produced 128 mmol/L of lactic acid, 38 mmol/L of acetic acid and 0.3 mmol/L of phenyl-lactic acid. These organic acids reduced the number of vegetative cells and spores of the B. cereus strains tested. However, the antagonistic effect disappeared at pH 6.5. On the other hand, E. faecium SM21 produced only lactic and acetic acid (24.5 and 12.2 mmol/L, respectively) and was able to inhibit both vegetative cells and spores of the B. cereus strains, at a final fermentation pH of 5.0 and at pH 6.5. This would indicate the action of other metabolites, different from organic acids, present in the cell-free supernatant. On cooked rice grains, the E. faecium SM21 bacteriocin(s) were tested against two B. cereus strains. Both of them were significantly affected within the first 4 h of contact; whereas B. cereus BAC1 cells recovered after 24 h, the effect on B. cereus 1 remained up to the end of the assay. The LAB studied may thus be considered to define future strategies for biological control of B. cereus.




Similar content being viewed by others
Explore related subjects
Discover the latest articles and news from researchers in related subjects, suggested using machine learning.References
Tallent SM, Kotewicz KM, Strain EA, Bennett RW (2012) Efficient isolation and identification of Bacillus cereus group. J AOAC Int 95:446–451
Stenfors Arnesen LP, Fagerlund A, Granum PE (2009) From soil to gut: Bacillus cereus and its food poisoning toxins. FEMS Microbiol Rev 32:579–606
Black EP, Linton M, McCall RD, Curran W, Fitzgerald GF, Kelly AL, Patterson MF (2008) The combined effects of high pressure and nisin on germination and inactivation of Bacillus spores in milk. J Appl Microbiol 105:78–87
Kotiranta A, Lounatmaa K, Haapasalo M (2000) Epidemiology and pathogenesis of Bacillus cereus infections. Microbes Infect 2:189–198
Haque A, Russell N (2005) Phenotypic and genotypic characterization of Bacillus cereus isolates from Bangladeshi rice. Int J Food Microbiol 98:23–34
EFSA (2005) European food safety authority. Bacillus cereus and other Bacillus spp. In foodstuffs. EFSA J 175:1–48
Chang H, Lee J, Han B, Kwak T, Kim J (2011) Prevalence of the levels of Bacillus cereus in fried rice dishes and its exposure assessment from Chinese-style restaurants. Food Sci Biotechnol 20:1351–1359
Bennett SD, Walsh KA, Gould LH (2013) Foodborne disease outbreaks caused by Bacillus cereus, Clostridium perfringens, and Staphylococcus aureus–United States, 1998–2008. Clin Infect Dis 57:425–433
CGA, Control Government Agency. 2011. Enfermedades transmitidas por alimentos. http://www.agcontrol.gob.ar/pdf/Que-son-las-ETA.pdf. Access May 2014
Galvez A, Abriouel H, Benomar N, Lucas R (2010) Microbial antagonists to food-borne pathogens and biocontrol. Curr Opin Biotechnol 21:142–148
Galvez A, Abriouel H, Lopez RL, Omar NB (2007) Bacteriocin-based strategies for food biopreservation. Int J Food Microbiol 120:51–70
Ross RP, Morgan S, Hill C (2002) Preservation and fermentation: past, present and future. Int J Food Microbiol 79:3–16
Settanni L, Corsetti A (2008) Application of bacteriocins in vegetable food biopreservation. Int J Food Microbiol 121:123–138
Abriouel H, Maqueda M, Galvez A, Martinez-Bueno M, Valdivia E (2002) Inhibition of bacterial growth, enterotoxin production, and spore outgrowth in strains of Bacillus cereus by bacteriocin AS-48. Appl Environ Microbiol 68:1473–1477
Garca MT, Ben Omar N, Lucas R, Pérez-Pulido R, Castro A, Grande MJ, Martínez-Cañamero M, Gálvez A (2003) Antimicrobial activity of enterocin EJ97 on Bacillus coagulans CECT 12. Food Microbiol 20:533–536
Chen YS, Yanagida F, Srionnual S (2006) Characteristics of bacteriocin-like inhibitory substances from dochi-isolated Enterococcus faecium D081821 and D081833. Lett Appl Microbiol 44:320–325
Do Nascimento M, Moreno I, Kuaye AY (2010) Antimicrobial activity of Enterococcus faecium FAIR-E 198 against gram-positive pathogens. Braz J Microbiol 41:74–81
Huang E, Zhang L, Chung YK, Zheng Z, Yousef AE (2013) Characterization and Application of Enterocin RM6, a Bacteriocin from Enterococcus faecalis. BioMed Res Int http://dx.doi.org/10.1155/2013/206917. Access, Jun 2014
Vessoni P, Moraes DA, Fajardo DN (2002) The effect of nisin on growth kinetics from activated Bacillus cereus spores in cooked rice and in milk. J Food Prot 65:419–422
Muñoz A, Maqueda M, Gálvez A, Martínez-Bueno M, Rodríguez A, Valdivia E (2004) Biocontrol of psychrotrophic enterotoxigenic Bacillus cereus in a nonfat hard cheese by an enterococcal strain-producing enterocin AS-48. J Food Prot 67:1517–1521
Grande MJ, Lucas R, Abriouel H, Valdivia E, Omar NB, Maqueda M, Martinez-Bueno M, Martinez-Canamero M, Galvez A (2006) Inhibition of toxicogenic Bacillus cereus in rice-based foods by enterocin AS-48. Int J Food Microbiol 106:185–194
Grande MJ, Lucas R, Valdivia E, Abriouel H, Maqueda M, Omar NB, Martínez-Cañamero M, Gálvez A (2005) Stability of enterocin AS-48 in fruit and vegetable juices. J Food Prot 68:2085–2094
Ibarguren C, Raya RR, Apella MC, Audisio MC (2010) Enterococcus faecium isolated from honey synthesized bacteriocin-like substances active against different Listeria monocytogenes strains. J Microbiol 48:44–52
Porrini MP, Audisio MC, Sabaté DC, Ibarguren C, Medici SK, Sarlo EG, Garrido PM, Eguaras MJ (2010) Effect of bacterial metabolites on microsporidian Nosema ceranae and on its host Apis mellifera. Parasitol Res 107:381–388
Audisio CM, Torres MJ, Sabaté DC, Ibarguren C, Apella MC (2011) Properties of different lactic acid bacteria isolated from Apis mellifera L. bee-gut. Microbiol Res 166:1–13
Audisio C, Apella M (2006) Caracterización de cepas de Lactobacillus aisladas del intestino de la abeja Apis mellifera L., II Simposio Internacional de Bacterias Lácticas y Primer Encuentro red BAL (Bacterias Lácticas). Tucumán (Argentina)
Matarante A, Baruzzi F, Cocconcelli PS, Morea M (2004) Genotyping and toxigenic potential of Bacillus subtilis and Bacillus pumilus strains occurring in industrial and artisanal cured sausages. Appl Environ Microbiol 70:5168–5176
Tagg J, McGiven A (1971) Assay system for bacteriocins. Appl Microbiol 21:943
Audisio MC, Terzolo HR, Apella MC (2005) Bacteriocin from honeybee beebread Enterococcus avium, active against Listeria monocytogenes. Appl Environ Microbiol 71:3373–3375
Jaquette CB, Beuchat LR (1998) Combined effects of pH, nisin, and temperature on growth and survival of psychrotrophic Bacillus cereus. J Food Prot 61:563–570
Daeschel MA, Klaenhammer TR (1985) Association of a 13.6-megadalton plasmid in Pediococcus pentosaceus with bacteriocin activity. Appl Environ Microbiol 50:1538–1541
Piard J, Desmazeaud M (1991) Inhibiting factors produced by lactic acid bacteria. 1. Oxygen metabolites and catabolism end-products. Le Lait 71:525–541
Piard J, Desmazeaud M (1992) Inhibiting factors produced by lactic acid bacteria. 2. Bacteriocins and other antibacterial substances. Le Lait 72:113–142
Adams MR, Nicolaides L (1997) Review of the sensitivity of different foodborne pathogens to fermentation. Food Control 8:227–239
Cintas LM, Casaus MP, Herranz C, Nes IF, Hernández PE (2001) Review: Bacteriocins of lactic acid bacteria. Food Sci Technol Int 7:281–305
Wong HC, Chen YL (1988) Effects of lactic acid bacteria and organic acids on growth and germination of Bacillus cereus. Appl Environ Microbiol 54:2179–2184
Rukure G, Bester BH (2001) Survival and growth of Bacillus cereus during Gouda cheese manufacturing. Food Control 12:31–36
Little C, Knøchel S (1994) Growth and survival of Yersinia enterocolitica, Salmonella and Bacillus cereus in Brie stored at 4, 8 and 20°C. Int J Food Microbiol 24:137–145
Røssland E, Andersen Borge GI, Langsrud T, Sorhaug T (2003) Inhibition of Bacillus cereus by strains of Lactobacillus and Lactococcus in milk. Int J Food Microbiol 79:3–16
Nout MJR, Beernink G, Bonants-van Laarhoven TMG (1987) Growth of Bacillus cereus in soyabean tempeh. Int J Food Microbiol 4:293–301
Aryanta RW, Fleet GH, Buckle KA (1991) The occurrence and growth of microorganisms during the fermentation of fish sausage. Int J Food Microbiol 13:143–155
Kingamkono R, Sjögren E, Svanberg U, Kaijser B (1994) pH and acidity in lactic-fermenting cereal gruels: effects on viability of enteropathogenic microorganisms. World J Microbiol Biotechnol 10:664–669
Cho IJ, Lee NK, Hahm YT (2009) Characterization of Lactobacillus spp. isolated from the feces of breast-feeding piglets. J Biosci Bioeng 108:194–198
Ennahar S, Aoude-Werner D, Assobhei O, Hasselmann C (1998) Antilisterial activity of enterocin 81, a bacteriocin produced by Enterococcus faecium WHE 81 isolated from cheese. J Appl Microbiol 85:521–526
Huang E, Zhang L, Chung Y K, Zheng Z and Yousef AE (2013) Characterization and Application of Enterocin RM6, a Bacteriocin from Enterococcus faecalis. BioMed Res Int http://dx.doi.org/10.1155/2013/206917. Access, Jun 2014
Ozdemir GB, Oryaşın E, Bıyık HH, Ozteber M, Bozdoğan B (2011) Phenotypic and genotypic characterization of bacteriocins in enterococcal isolates of different sources. Indian J Microbiol 51:182–187
Banwo K, Sanni A, Tan H (2013) Technological properties and probiotic potential of Enterococcus faecium strains isolated from cow milk. J Appl Microbiol 114:229–241
Setlow P (2006) Spores of Bacillus subtilis: their resistance to and killing by radiation, heat and chemicals. J Appl Microbiol 101:514–525
Sonenshein AL, Hoch JA, Losick R (2001) Bacillus subtilis and its closest relatives. ASM Press, Washington
van Melis CC, Nierop Groot MN, Tempelaars MH, Moezelaar R, Abee T (2011) Characterization of germination and outgrowth of sorbic acid-stressed Bacillus cereus ATCC 14579 spores: phenotype and transcriptome analysis. Food Microbiol 28:275–283
Requena T, Peláez C (1995) Actividad antimicrobiana de bacterias lácticas. Producción de bacteriocinas. Rev Esp Cienc Tecnol 35:19–44
Djaafar T, Rahayu E, Wibowo D, Sudarmardji S (1996) Antimicrobial substance produced by Lactobacillus sp. TGR-2 isolated from Growol. Indones Food Nutr Prog 3:29–34
Helander IM, von Wright A, Mattila-Sandholm TM (1997) Potential of lactic acid bacteria and novel antimicrobials against Gram-negative bacteria. Trends Food Sci Technol 8:146–150
Logan NA, De Vos P (2009) Genus Bacillus Cohn, 1872. In: De Vos P, Garrity GM, Jones D, Krieg NR, Ludwig W, Rainey FA, Schleifer KH, Whitman WB (eds) Bergey’s manual of systematic bacteriology, vol 3. Springer, New York, pp 21–128
Hofvendahl K, Hahn-Hagerdal B (2000) Factors affecting the fermentative lactic acid production from renewable resources. Enzyme Microbiol Technol 26:87–107
Acknowledgments
The authors would like to thank CIUNSa (PI 1974) and Agencia Nacional de Promoción Científica y Tecnológica (ANPCyT) of Argentina for the financial support (PICT2011-0767). M.C. Soria thanks Consejo Nacional de Investigaciones Científicas y Técnicas (CONICET) for her fellowship. M.C. Audisio is a member of the Research Career of CONICET.
Conflict of Interest
The authors declare that they have no conflict of interest.
Author information
Authors and Affiliations
Corresponding author
Rights and permissions
About this article
Cite this article
Soria, M.C., Audisio, M.C. Inhibition of Bacillus cereus Strains by Antimicrobial Metabolites from Lactobacillus johnsonii CRL1647 and Enterococcus faecium SM21. Probiotics & Antimicro. Prot. 6, 208–216 (2014). https://doi.org/10.1007/s12602-014-9169-z
Published:
Issue Date:
DOI: https://doi.org/10.1007/s12602-014-9169-z


