Abstract
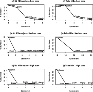
Monthly field surveys of diamondback moth (DBM), Plutella xylostella (L.) and its parasitoids were conducted to assess seasonal abundance and diversity under changing altitude. Twenty-four crucifer farms spread across three altitudinal zones of Mount Kilimanjaro and Taita hills were sampled for the insects at monthly interval from 2013 to 2014. Diamondback moth abundance differed significantly between seasons (F3, 21 = 3.883, p = 0.024) in the high zone of Taita hills. The abundance among altitudinal zones of the two transects was not significantly different (Mt. Kilimanjaro: F2, 98 = 0.415, p = 0.661; Taita hills: F2, 116 = 0.303, p = 0.739). Eight parasitoid species emerged in the laboratory from collected DBM larvae and pupae. Cotesia vestalis (Haliday) provided the most DBM parasitism in the low zone and Diadegma semiclausum (Hellen) in the medium and high zones. Parasitism by D. semiclausum increased by 32.5% between the low and medium zones (p = 0.001) of Taita hills. Diversity of parasitoid species declined considerably from the low to medium zones of Taita hills. The diversity of wild crucifer species increased with altitude but was twice as diverse in the high zone of Mt. Kilimanjaro than the high zone of Taita hills. Ecological complexity of the cropping system contributed greatly to a wider parasitoid diversity along Mt. Kilimanjaro. The introduced C. vestalis has successfully established in East Africa and adapted to the warmer areas in the low altitudes.




Similar content being viewed by others
References
Agboyi, L. K., Ketoh, G. K., Martin, T., Glitho, I. A., & Tamò, M. (2016). Pesticide resistance in Plutella xylostella (Lepidoptera: Plutellidae) populations from Togo and Benin. International Journal of Tropical Insect Science, 36(4), 204–210.
Ahmad, T., & Ansari, M. S. (2010). Studies on seasonal abundance of diamondback moth Plutella xylostella (Lepidoptera: Yponomeutidae) on cauliflower crop. Journal of Plant Protection Research, 50(3), 280–287.
Asian Vegetable Research and Development Center. (1988). 1986 Progress report (540pp). Shanhua, Taiwan: Asian Vegetable and Research Development Centre.
Azidah, A. A., Fitton, M. G., & Quicke, D. L. J. (2000). Identification of the Diadegma species (Hymenoptera: Ichneumonidae, Campopleginae) attacking the diamondback moth, Plutella xylostella (Lepidoptera: Plutellidae). Bulletin of Entomological Research, 90, 375–389.
Begum, S., Tsukuda, R., Fujisaki, K., & Nakasuji, F. (1996). The effects of wild cruciferous host plants on morphology, reproductive performance and flight activity in the diamondback moth, Plutella xylostella (Lepidoptera: Yponomeutidae). Researches on Population Ecology, 38, 257–263.
Chipabika, G. (2014). A study of the parasitism efficiency of Cotesia vestalis (Haliday) on diamondback moth, Plutella xylostella (L.) (Lepidoptera: Plutellidae). MSc. Thesis. University of Zambia. 78pp.
Cooper, J. F. C. (2002). Pest Management in Horticultural Crops: An Integrated Approach to Vegetable Pest Management with the Aim of Reducing Reliance on Pesticides in Kenya. Final Technical Report, Project R7403, 1999–2002. Natural Resources Institute, Chatham, UK, 40 pp.
Fernandes, E. C. M., O’ktingati A., & Magembe J. (1984). The Chagga homegardens: A multi-storeyed agroforestry cropping system on Mt. Kilimanjaro, northern Tanzania. Agroforestry Systematics, 2, 73–86.
Flora of Tropical East Africa (Cruciferae 2012). Flora of tropical East Africa. London. Royal Botanic Gardens Kew.
Folmer, O., Black, M., Hoeh, W., Lutz, R. & Vrijenhoek, R. (1994). DNA primers for amplification of mitochondrial cytochrome c oxidase subunit I from diverse metazoan invertebrates. Molecular Marine Biology and Biotechnology, 3, 294–299.
Furlong, M. J., & Wright, D. J. (1993). Effect of acylurea insect growth regulator teflubenzuron on the endolarval stages of hymenopteran parasitoids Cotesia plutellae and Diadegma semiclausum in a susceptible and an acylurea-resistant strain of Plutella xylostella. Pesticide Science, 39, 305–312.
Furlong, M. J., Wright, D. J., & Dosdall, L. M. (2013). Diamondback moth ecology and management: Problems, progress and prospects. Annual Review of Entomology, 58, 517–541.
Gebauer, K., Hemerik, L., & Meyhöfer, R. (2015). Effects of climate change on pest-parasitoid dynamics: Development of a simulation model and first results. Journal of Plant Diseases and Protection, 122(1), 28–35.
Gichini, G. J. (2011). Population dynamics of diamondback moth Plutella xylostella (L) Lepidoptera: Plutellidae and competitive interactions of its native and exotic parasitoids in Kenya. PhD Thesis. Jomo Kenyatta University of Agriculture and Technology. 200pp.
Gichini, G., Löhr, B., Rossbach, A., Nyambo, B., & Kahuthia-Gathu, R. (2008). Can low release numbers lead to establishment and spread of an exotic parasitoid: The case of the diamondback moth parasitoid, Diadegma semiclausum (Hellén), in East Africa. Crop Protection, 27, 906–914.
Golizadeh, A., Kamali, K., Fathipour, Y., & Abbasipour, H. (2007). Temperature-dependent development of diamondback moth, Plutella xylostella (Lepidoptera: Plutellidae) on two brassicaceous host plants. Insect Science, 14(4), 309–316.
Golizadeh, A., Kamali, K., Fathipour, Y., & Abbasipour, H. (2009). Life table of the diamondback moth Plutella xylostella (L.) (Lepidoptera: Plutellidae) on five cultivated brassicaceous host plants. Journal of Agricultural Science and Technology, 11, 115–124.
Goulet, H., & Huber, J. T. (Eds.). (1993). Hymenoptera of the world: An identification guide to families. Agriculture Canada: Ottawa.
Harcourt D. G. (1986). Population dynamics of diamondback moth in southern Ontario. Proceedings of the First International Workshop on Management of Diamondback Moth and Other Crucifer Pests. 1–15.
Hemp, C. & Hemp, A. (2008). The Chagga Homegardens on Kilimanjaro: Diversity and Refuge Function for Indigenous Fauna and Flora in Anthropogenically Influenced Habitats in Tropical Regions Under Global Change on Kilimanjaro, Tanzania. IHDP, Kilimanjaro, Tanzania. http://environmentportal.in/files/The%20Chagga%20homegardens.pdf. Accessed 16 June 2017.
Iga, M. (1985). The seasonal prevalence of occurrence and the life tables of the diamondback moth, P. xylostella (L.) (Lepidoptera: Yponomeutidae). Japanese Journal of Applied Entomology and Zoology, 29(11), 9–125.
Jankowski, A., Mithöfer, D., Löhr, B., & Weibel, H. (2007). Economics of biological control in cabbage production in two countries in East Africa. In International Conference on Agricultural Research for Development, Witzenhausen, Germany. Universilty of Kassel-Witzenhausen and University of Gottingen, Germany.
Jatzold, R., & Kutsch, H. (1982). Agro-ecological zones of the tropics, with a sample from Kenya. Der. Tropenlandwirt, 83(2), 15–34.
Jeffs, C. T., & Lewis, O. T. (2013). Effects of climate warming on host–parasitoid interactions. Ecological Entomology, 38(3), 209–218.
Kadirvel, P., Srinivasan, R., Mei-Yieng, L., Al-Jouri, E., Idraw, M. W., & de la Pena, R. C. (2011). Occurrence of Diadegma semiclausum, a parasitoid of diamondback moth in lowlands of Syria. Journal of Asia-Pacific Entomology, 14, 52–57.
Kahuthia-Gathu, R. (2007). Importance of wild crucifers for diamondback moth, Plutella xylostella (L.) (Lepidoptera: Plutellidae) and its parasitoids in Kenya. PhD Thesis, Gottfried Wilhelm Leibniz University Hannover. 158pp.
Kahuthia-Gathu, R. (2011). Seasonal incidences of Plutella xylostella (Lepidoptera: Plutellidae) and its associated natural enemies in major crucifer growing areas of Kenya. Journal of Applied Biosciences, 46, 3103–3112.
Kahuthia-Gathu, R., Löhr, B., Poehling, H. M., & Mbugua, P. K. (2009). Diversity, distribution and role of wild crucifers in major cabbage and kale growing areas of Kenya. Bulletin of Entomological Research, 99(3), 287–297.
Kahuthia-Gathu, R., Nyambo, B., & Subramanian, S. (2017). Impact of introduced parasitoid Cotesia vestalis (Hymenoptera: Braconidae) on Plutella xylostella (Lepidoptera: Plutellidae) and its parasitoid guild on kale in semi-arid areas of Kenya. International Journal of Tropical Insect Science, 37(3), 163–175.
Kehoe, R. C., Cruse, D., Sanders, D., Gaston, K. J., & van Veen, F. F. (2018). Shifting daylength regimes associated with range shifts alter aphid-parasitoid community dynamics. Ecology and Evolution, 8(17), 8761–8769.
Kfir, R. (1997). The diamondback moth with special reference to its parasitoids in South Africa, Proceedings of the Third International Workshop on Management of Diamondback Moth and Other Crucifer Pests. 54–60.
Kfir, R. (2003). Biological control of the diamondback moth Plutella xylostella (L.) (Lepidoptera: Plutellidae). In P. Neuenschwander, C. Borgemeister, & J. Langewald (Eds.), Biological Control in IPM systems in Africa (pp. 363–375). CAB International.
Khatri, D. (2011). Reproductive biology of Diadegma semiclausum Hellen (Hymenoptera: Ichneumonidae) (134pp). MSc. Thesis: Massey University, New Zealand.
Kibata, G. N. (1996). The diamondback moth: A problem pest of brassica crops in Kenya. Proceedings of the Third International Workshop on Management of Diamondback Moth and Other Crucifer Pests. 453–53.
Kindt, R. & Coe R. (2005). Tree diversity analysis: A manual and software for common statistical methods for ecological and biodiversity studies. www.worldagroforestry.org/downloads/publications/PDFs/B13695.pdf. Accessed 7 March 2014.
Kobori, Y., & Amano, H. (2003). Effect of rainfall on a population of diamondback moth, Plutella xylostella (Lepidoptera: Plutellidae). Applied Entomology and Zoology, 38, 249–253.
Kotilingam, S. M., Leelesh, R. S., Thiruvengadam, V., Kumar, J. S., & Verghese, A. (2015). Insecticide degradation by gut bacteria in Cotesia vestalis Haliday, a potential parasitoid of diamondback moth, Plutella xylostella (Linnaeus). Asian Journal of Science and Technology, 6(11), 1960–1967.
Lawton, J. H. (1983). Plant architecture and the diversity of of phytophagous insects. Annual Review of Entomology, 28, 23–39.
Liu, S. S., Wang, X. G., Guo, S. J., He, J. H., & Shi, Z. H. (2000). Seasonal abundance of the parasitoid complex associated with diamondback moth, Plutella xylostella (Lepidoptera: Plutelllidae) in Hangzhou, China. Bulletin of Entomological Research, 90, 221–231.
Liu, S. S., Chen, F. Z., & Zalucki, M. P. (2002). Development and survival of the diamondback moth (Lepidoptera: Plutellidae) at constant and alternating temperatures. Environmental Entomology, 31, 221–231.
Löhr, B. (2001). Diamondback moth on peas, really. Biocontrol News and Information, 19, 38–39.
Löhr, B., Kahuthia-Gathu, R., Kariuki, C., Obiero, J., & Gichini, G. (2007). Impact of an exotic parasitoid on Plutella xylostella (Lepidoptera: Plutellidae) population dynamics, damage and indigenous natural enemies in Kenya. Bulletin of Entomological Research, 97, 337–350.
Macharia, I., Löhr, B., & De Groote, H. (2005). Assessing the potential impact of biological control of Plutella xylostella (diamondback moth) in cabbage production in Kenya. Crop Protection, 24, 981–989.
Maeda, E. E. (2012). The future of environmental sustainability in the Taita Hills, Kenya: Assessing potential impacts of agricultural expansion and climate change. Fennia, 190(1), 41–59.
Magurran, A. E. (2004). Measuring biological diversity. Oxford: UK. Blackwell Sciences Ltd..
Marchioro, C. A., & Foerster, L. A. (2011). Development and survival of the diamondback moth, Plutella xylostella (L.) (Lepidoptera: Yponomeutidae) as a function of temperature: Effect on the number of generations in tropical and subtropical regions. Neotropical Entomology, 40, 533–541.
Marchioro, C. A., & Foerster, L. A. (2012). Modelling reproduction of Plutella xylostella L. (Lepidoptera: Plutellidae): Climate change may modify pest incidence levels. Bulletin of Entomological Research, 102, 489–496.
Marino, P. C., & Landis, D. A. (1996). Effect of landscape structure on parasitoids diversity and parasitism in agro-ecosystems. Ecological Applications, 6, 276–284.
Menzel, A., & Dose, V. (2005). Analysis of long-term time-series of beginning of flowering by Bayesian function estimation. Meteorologische Zeitschrift, 14, 429–434.
Ministry of Agriculture and Rural Development (1984). Plant protection meeting. Mount Makulu Research Station, Chilanga, Zambia. 6 September 1984. Mount Makulu Research Station Library, Lilanga.
Momanyi, C., Löhr, B., & Gitonga, L. (2006). Biological impact of the exotic parasitoid, Diadegma semiclausum (Hellen) on diamondback moth, Plutella xylostella L. in Kenya. Biological Control, 38, 254–263.
Mosiane, S., Kfir, R., & Villet, M. H. (2003). Seasonal phenology of the diamondback moth, Plutella xylostella (L.), (Lepidoptera: Plutellidae) and its parasitoids on canola, Brassica napus (L.), in Gauteng province, South Africa. African Entomology: Journal of the Entomological Society of Southern Africa, 11(2), 277–285.
Neven, L. G. (2000). Physiological responses of insects to heat. Postharvest Biology and Technology, 21, 103–111.
Ngowi, A. V. F., Mbise, T. J., Ijani, A. S. M., London, L., & Ajayi, O. C. (2007). Pesticides use by smallholder farmers in vegetable production in northern Tanzania. Crop Protection, 26(11), 1617–1624.
Nofemela, S. R. (2004). Studies on parasitoids of the diamondback moth, Plutella xylostella (L.) (Lepidoptera: Plutellidae) in South Africa. MSc. Thesis, Rhodes University. 92pp.
Nofemela, S. R. (2013). The effect of obligate hyperparasitoids on biological control: Differential vulnerability of primary parasitoids to hyperparasitism can mitigate trophic cascades. Biological Control, 65(2), 218–224.
Norris, R. F., & Kogan, M. (2000). Interactions between weeds, arthropod pests and their natural enemies in managed ecosystems. Weed Science, 48, 94–158.
Nyambo, B., & Löhr, B. (2005). The role and significance of farmer participation in biocontrol-based IPM for brassica crops in East Africa. In M. S. Hooddle (Ed.), Second International Symposium on Biological Control of Arthropods (290–301). USDA Forest Service Publication.
Nyambo, B., Maundu, J., & Macharia I. (2006). Promotion of integrated pest management for vegetable production in the eastern arc mountains and East African coastal forest mosaic biodiversity hotspots: Baseline study. http://www.ir-library.ku.ac.ke/handle/123456789/5582?show=full. Accessed 26 April 2016.
Nyambo, B., Sevgan, S., Chabi-Olaye, A., & Ekesi, S. (2011). Management of alien invasive insect pest species and diseases of fruits and vegetables: Experiences from East Africa. Acta Horticulturae, 911, 215–222.
Odhiambo, J. A. O., Gbewonyo, W. S. K., Obeng-Ofori, D., Wilson, M. D., Boakye, D. A., & Brown, C. (2010). Resistance of diamondback moth to insecticides in selected cabbage farms in southern Ghana. International Journal of Biological and Chemical Sciences, 4, 1397–1409.
Oruku, L., & Ndung’u, B. (2001). Final socio-economic report for the peri-urban vegetable IPM thematic cluster (p. 49). Nairobi: CABI Africa Regional Centre Report.
Parmesan, C. (2006). Ecological and evolutionary responses to recent climate change. Annual Review of Ecology, Evolution, and Systematics, 37, 637–669.
Pratt, D. J., & Gwynne, M. D. (1977). A classification of east African rangeland with appendix on terminology. Journal of Applied Ecology, 3, 369–382.
Rattan, R., Reineke, A., Hadapad, A., & Zebitz, C. P. W. (2006). Molecular phylogeny of Cotesia species (Hymenoptera: Braconidae) inferred from a 16S gene. Current Science, 91(11), 1460–1461.
Sarfraz, R. M., Keddie, B. A., Dosdall, L. M., & Myers, J. H. (2011). Larval survival, host plant preferences and developmental responses of the DBM Plutella xylostella (Lepidoptera: Plutellidae) on wild brassicaceaous species. Journal of Entomological Science, 14, 20–30.
Sereda, B., Basson, N. C. J., & Marais, P. (1997). Bioassay of insecticide resistance in Plutella xylostella (L.) in South Africa. African Plant Protection, 3, 67–72.
Shannon, C. E. (1948). A mathematical theory of communication. Bell System Technical Journal, 27, 379–423.
Shelton, A. M., Cooley, R. J., Kroening, M. K., Wilsey, W. T., & Eigenbrode, S. D. (1991). Comparative analysis of two rearing procedures for diamondback moth (Lepidoptera: Plutellidae). Journal of Entomological Science, 26, 17–26.
Singh, S. P., & Singh, D. (1982). Influence of cruciferous host plants on the survival and development of Plutella xylostella L. Punjab Agriculture University Research Journal, 19, 100–104.
Smith, T. J. (2002). The diamondback moth, Plutella xylostella (L.) (Lepidoptera: Plutellidae) and its biological control in the Eastern Cape Province, South Africa. PhD thesis. Rhodes University, South Africa. 256pp.
Sohati, P. H. (2012). Establishment of Cotesia vestalis (Haliday) and Diadromus collaris (Grav.) parasitoids of the diamondback moth, Plutella xylostella (L.), and assessment of the C. vestalis as a biological control agent in Zambia. PhD thesis. University of Zambia, Zambia. 157pp.
Soini, E. (2003). Livelihoods on the southern slopes of Mt. Kilimanjaro, Tanzania: Challenges and Opportunities in the Chagga Homegarden System. Natural Resource Problems, Priorities and Policies. Working Paper Series, ICRAF, Nairobi, Kenya.
Soini, E. (2005). Land use change patterns and livelihood dynamics on the slopes of Mt. Kilimanjaro, Tanzania. Agricultural Systems, 85(3), 306–323.
Sow, G., Diarra, K., Arvanitakis, L., & Bordat, D. (2013). The relationship between the diamondback moth, climatic factors, cabbage crops and natural enemies in a tropical area. Folia Horticulture, 25(1), 3–12.
Stigter, C. J. (1984). Traditional use of shade: A method of microclimate manipulation. Arch Archiv für Meteorologie, Geophysik und Bioklimatologie, 34, 203–210.
Stigter, K. (1987). Traditional manipulation of microclimate factors: Knowledge to be used. ILEIA Newsletter 3(3): 5–6. Available at: http://www.agriculturesnetwork.org/magazines/global/microclimate-management/traditional-manipulation-of-microclimate-factors/at_download/article_pdf. Accessed 12 December 2016.
Syed, T. S., & Abro, G. H. (2003). Effect of brassica vegetable hosts on biology and life table parameters of Plutella xylostella under laboratory conditions. Pakistan Journal of Biological Sciences, 6(22), 1891–1896.
Tamura, K., Stecher, G., Peterson, D., Filipski, A., & Kumar, S. (2013). MEGA6: Molecular evolutionary genetics analysis version 6.0. Molecular Biology and Evolution, 30, 2725–2729.
Thompson, J. D., Gibson, T. J., Plewniak, F., Jeanmougin, F., & Higgins, D. G. (1997). The CLUSTAL_X windows interface: Flexible strategies for multiple sequence alignment aided by quality analysis tools. Nucleic Acids Research, 25(24), 4876–4882.
Wahl, D.B. & Sharkey, M.J. (1993). Superfamily Ichneumonoidea. Hymenoptera of the world, an identification guide to families. Agriculture Canada Research Branch Monograph.
Wakisaka, S., Tsukuda, R., & Nakasuji, F. (1992). Effects of natural enemies, rainfall, temperature and host plants on survival and reproduction of the diamondback moth. Proceedings of the Second International Workshop on Management of the Diamondback Moth and Other Crucifer Pests. 16–36.
Waladde, S. M., Leutle, M. F., & Villet, M. H. (2001). Parasitism of Plutella xylostella (Lepidoptera: Plutellidae): Field and laboratory observations. South African Journal of Plant and Soil, 18, 32–37.
Wang, X. G., & Keller, M. A. (2002). A comparison of host searching efficiency of two larval parasitoids of Plutella xylostella. Ecological Entomology, 27, 105–114.
Waterhouse, D. F., & Norris, K. R. (1987). Biological control: Pacific prospects. Melbourne: Inkata Press.
Zongolo, S. A., Kiluvia, S., & Mghase, G. (2000a). Umbwe Onana PRA report. Moshi: Traditional Irrigation and Environmental Development Organization.
Zongolo, S. A., Kiluvia, S., & Mghase, G. (2000b). Traditional irrigation assessment report: Moshi Rural District 2000. Moshi: Traditional Irrigation and Environmental Development Organization.
Acknowledgements
We acknowledge International Center of Insect Physiology and Ecology (ICIPE) for providing research facilities for conducting the experiments. We appreciate the unwavering support of Mr. Barnabas Makutakuta at TPRI and Ms. Janet Ambale at ICIPE for assistance with data collection in the laboratory. We are thankful of Mr. Charles Kanyi for driving and technical support in the field. We appreciate wild crucifer identification assistance from Mr. Emmanuel Mboya and Elia John from the National Herbarium of Tanzania. We gratefully acknowledge the financial support for this research by the Ministry of Foreign Affairs of Finland through the Climate Change Impacts on Ecosystem Services and Food Security in the Eastern Africa (CHIESA) Project. Benignus Ngowi was supported by CHIESA and ICIPE core funding provided by United Kingdom Aid from the UK Government, Swedish International Development Cooperation Agency (SIDA), the Swiss Agency for Development and Cooperation (SDC), Federal Ministry for Economic Cooperation and Development (BMZ), Germany, and the Kenyan Government. The views expressed herein do not necessarily reflect the official opinion of the donors.
Author information
Authors and Affiliations
Corresponding author
Ethics declarations
Conflict of interest
The authors declare that they have no conflict of interest.
Additional information
Publisher’s note
Springer Nature remains neutral with regard to jurisdictional claims in published maps and institutional affiliations.
Rights and permissions
About this article
Cite this article
Ngowi, B.V., Tonnang, H.EZ., Khamis, F. et al. Seasonal abundance of Plutella xylostella (Lepidoptera: Plutellidae) and diversity of its parasitoids along altitudinal gradients of the eastern Afromontane. Phytoparasitica 47, 375–391 (2019). https://doi.org/10.1007/s12600-019-00732-3
Received:
Accepted:
Published:
Issue Date:
DOI: https://doi.org/10.1007/s12600-019-00732-3


