Abstract
Background
Transthoracic echocardiography is the most common non-invasive technique for the study of the left ventricle (LV) and the proximal aorta. Despite the clinical value, there is scarcity of data about reference intervals (RIs) and percentiles for thoracic aorta dimension and LV structural and functional parameters, obtained from population-based studies in children and adolescents. The aim was to generate RIs for LV, haemodynamic and thoracic aorta parameters obtained from transthoracic echocardiography in healthy children, adolescents and young adults from a South-American population.
Methods
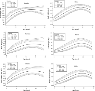
One thousand ninety-five healthy subjects (5–24 years) were studied (M-mode, B-mode and Doppler echocardiography).
Results
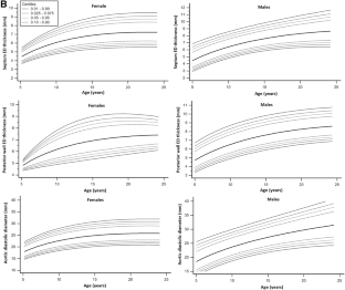
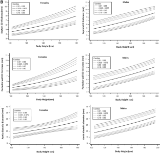
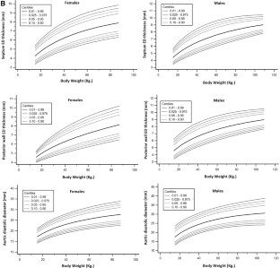
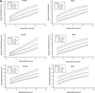
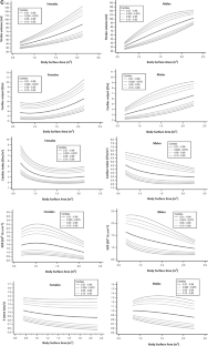
RIs for LV structural (diameters, volumes and wall thickness) and functional (stroke volume, cardiac output, cardiac index, transmitral E and A flow waves velocities) parameters; systemic vascular resistance and aortic root diameter were obtained using parametric regression analyzes based on fractional polynomials. Covariate analysis (i.e., adjusting for age, body surface) showed that specific sex-specific RIs were necessary. Then, age, body height (BH), body weight (BW), body surface area (BSA), and sex-specific 1st, 2.5th, 5th, 10th, 25th, 50th, 75th, 90th, 95th, 97.5th and 99th percentiles were obtained. Our results were in agreement with and complimentary to available international databases.
Conclusion
This study provides RIs for echocardiography-derived haemodynamic, LV (structural and functional) and aortic parameters in children, adolescents and young adults considering data obtained from the largest Argentinean database. In early stages of life an adequate interpretation of echocardiography-derived LV and aortic parameters requires considering age, BH, BW, BSA and/or sex-specific RIs.
















References
Lopez L, Colan SD, Frommelt PC, et al. Recommendations for quantification methods during the performance of a pediatric echocardiogram: a report from the Pediatric Measurements Writing Group of the American Society of Echocardiography Pediatric and Congenital Heart Disease Council. J Am Soc Echocardiogr. 2010;23(5):465–95.
Cantinotti M, Giordano R, Scalese M, et al. Nomograms for mitral inflow Doppler and tissue Doppler velocities in Caucasian children. J Cardiol. 2016;68(4):288–99.
Cantinotti M, Giordano R, Scalese M, et al. Nomograms for two-dimensional echocardiography derived valvular and arterial dimensions in Caucasian children. J Cardiol. 2017;69(1):208–15.
Echocardiography Normal Ranges Meta-Analysis of the Left Heart Collaboration. Ethnic-Specific normative reference values for echocardiographic LA and LV size, LV mass, and systolic function: The EchoNoRMAL Study. JACC Cardiovasc Imaging 2015;8(6):656–65.
Qureshi WT, Leigh JA, Swett K, et al. Comparison of echocardiographic measures in a Hispanic/Latino population With the 2005 and 2015 American Society of Echocardiography Reference Limits (The Echocardiographic Study of Latinos). Circ Cardiovasc Imaging. 2016;9(1):e003597.
Pettersen MD, Du W, Skeens ME, et al. Regression equations for calculation of z scores of cardiac structures in a large cohort of healthy infants, children, and adolescents: an echocardiographic study. J Am SocEchocardiogr. 2008;21(8):922–34.
Flynn JT, Falkner BE. New Clinical practice guideline for the management of high blood pressure in children and adolescents. Hypertension. 2017;70(4):683–6.
Díaz A, Zócalo Y, Bia D. Reference intervals and percentile curves of echocardiographic left ventricular mass, relative wall thickness and ejection fraction in healthy children and adolescents. PediatrCardiol. 2018. https://doi.org/10.1007/s00246-018-2000-y.
Diaz A, Tringler M, Wray S, et al. The effects of age on pulse wave velocity in untreated hypertension. J Clin Hypertens (Greenwich). 2018;20(2):258–65.
Diaz A, Zocalo Y, Bia D, et al. Reference intervals of aortic pulse wave velocity assessed with an oscillometric device in healthy children and adolescents from Argentina. Clin Exp Hypertens. 2018;9:1–12. https://doi.org/10.1080/10641963.2018.1445754.
Diaz A, Zócalo Y, Bia D, et al. Reference intervals and percentiles for carotidfemoral pulse wave velocity in a healthy population aged between 9 and 87 years. J Clin Hypertens (Greenwich). 2018;20(4):659–71.
Stang J, Story M. Chapter 1: Adolescent growth and development. In: Stang J, Story (eds) Guidelines for adolescent nutrition services. 2005. https://www.epi.umn.edu/let/pubs/adol_book.shtm. Accessed 1 June 2018.
Stützle W, Gasser T, Molinari L, et al. Shape-invariant modelling of human growth. Ann Hum Biol. 1980;7(6):507–28.
Lurbe E, Agabiti-Rosei E, Criuckshank JK, et al. European Society of Hypertension guidelines for the management of high blood pressure in children and adolescents. J Hypertens. 2016;34(10):1887–920.
Mancia G, Fagard R, Narkiewicz K, et al. 2013 ESH/ESC Guidelines for the management of arterial hypertension”. The Task Force for the management of arterial hypertension of the European Society of Hypertension (ESH) and of the European Society of Cardiology (ESC). J Hypertens. 2013;31:1281–357.
Lang RM, Badano LP, Mor-Avi V, et al. Recommendations for cardiac chamber quantification by echocardiography in adults: an update from the American Society of Echocardiography and the European Association of Cardiovascular Imaging. Eur Heart J Cardiovasc Imaging. 2015;16(3):233–70.
Devereux RB, Alonso DR, Lutas EM, et al. Echocardiographic assessment of left ventricular hypertrophy: comparison to necropsy findings. Am J Cardiol. 1986;57:450–8.
Royston P, Wright E. A method for estimating age-specific reference intervals (’normal ranges’) based on fractional polynomials and exponential transformation. J R Stat Soc A 1998;161(Part 1):79–101.
Bossuyt J, Engelen L, Ferreira I, et al. Reference values for local arterial stiffness. Part B: femoral artery. J Hypertens. 2015;33(10):1997–2009.
Bellera CA, Hanley JA. A method is presented to plan the required sample size when estimating regression-based reference limits. J Clin Epidemiol. 2007;60:610–5.
Lumley T, Diehr P, Emerson S, et al. The importance of the normality assumption in large public health data sets. Annu Rev Public Health. 2002;23:151–69.
Curcio S, García-Espinosa V, Arana M, et al. Growing-related changes in arterial properties of healthy children, adolescents, and young adults nonexposed to cardiovascular risk factors: analysis of gender-related differences. Int J Hypertens. 2016;2016:4982676.
Curcio S, García-Espinosa V, Castro JM, et al. High blood pressure states in children, adolescents, and young adults associate accelerated vascular aging, with a higher impact in females' arterial properties. Pediatr Cardiol. 2017;38(4):840–52.
Bonatto RC, Fioretto JR, Okoshi K, et al. Percentile curves of normal values of echocardiographic measurements in normal children from the central-southern region of the State of São Paulo, Brazil. Arq Bras Cardiol. 2006;87(6):711–21.
Daimon M, Watanabe H, Abe Y, et al. Normal values of echocardiographic parameters in relation to age in a healthy Japanese population: the JAMP study. Circ J. 2008;72(11):1859–66.
Oran B, Bodur AS, Arslan D, et al. Normal M mode values in healthy Turkish children. Turk J Med Sci. 2014;44(5):756–63.
Majonga ED, Rehman AM, McHugh G, et al. Echocardiographic reference ranges in older children and adolescents in sub-Saharan Africa. Int J Cardiol. 2017;248:409–13. https://doi.org/10.1016/j.ijcard.2017.06.109.
Majonga ED, Norrish G, Rehman AM, et al. Racial variation in echocardiographic reference ranges for left chamber dimensions in children and adolescents: a systematic review. Pediatr Cardiol. 2018;39(5):859–68. https://doi.org/10.1007/s00246-018-1873-0.
Poutanen T, Tikanoja T, Sairanen H, et al. Normal aortic dimensions and flow in 168 children and young adults. Clin Physiol Funct Imaging. 2003;23:224–9.
Saura D, Dulgheru R, Caballero L, et al. Two-dimensional transthoracic echocardiographic normal reference ranges for proximal aorta dimensions: results from the EACVI NORRE study. Eur Heart J Cardiovasc Imaging. 2017;18(2):167–79. https://doi.org/10.1093/ehjci/jew053.
Crawford MH, Roldan CA. Prevalence of aortic root dilatation and small aortic roots in valvular aortic stenosis. Am J Cardiol. 2001;87:1311–3.
Nkomo VT, Enriquez-Sarano M, Ammash NM, et al. Bicuspid aortic valve associated with aortic dilatation: a community-based study. Arterioscler Thromb Vasc Biol. 2003;23:351–6.
Eidem BW, McMahon CJ, Cohen RR, et al. Impact of cardiac growth on Doppler tissue imaging velocities: a study in healthy children. J Am Soc Echocardiogr. 2004;17(3):212–21.
Cattermole GN, Leung PY, Ho GY, et al. The normal ranges of cardiovascular parameters measured using the ultrasonic cardiac output monitor. Physiol Rep. 2017;5(6):e13195. https://doi.org/10.14814/phy2.13195.
de Simone G, Devereaux RB, Daniels SR, et al. Stroke volume and cardiac output in normotensive children and adults. Assessment of relations with body size and impact of overweight. Circulation. 1997;95(7):1837–43.
Schmitz L, Koch H, Bein G, et al. Left ventricular diastolic function in infants, children, and adolescents. Reference values and analysis of morphologic and physiologic determinants of echocardiographic Doppler flow signals during growth and maturation. J Am Coll Cardiol. 1998;32(5):1441–8.
de Simone G, Galderisi M. Allometric normalization of cardiac measures: producing better, but imperfect, accuracy. J Am Soc Echocardiogr. 2014;27(12):1275–8.
Cantinotti M, Kutty S, Franchi E, et al. Pediatric echocardiographic nomograms: what has been done and what still needs to be done. Trends Cardiovasc Med. 2017;27(5):336–49.
Lopez L, Colan S, Stylianou M, et al. Relationship of echocardiographic z scores adjusted for body surface area to age, sex, race, and ethnicity: the pediatric heart network normal echocardiogram database. Circ Cardiovasc Imaging. 2017;10(11):e006979. https://doi.org/10.1161/CIRCIMAGING.117.006979.
Author information
Authors and Affiliations
Corresponding author
Ethics declarations
Conflict of interest
Alejandro Diaz, Yanina Zocalo, and Daniel Bia declare that they have no conflict of interest.
Ethical approval
All procedures followed were in accordance with the ethical standards of the responsible committee on human experimentation (institutional and national) and with the Helsinki Declaration of 1964 and later versions.
Informed consent
Informed consent was obtained from all patients for being included in the study.
Additional information
Publisher's Note
Springer Nature remains neutral with regard to jurisdictional claims in published maps and institutional affiliations.
Electronic supplementary material
Below is the link to the electronic supplementary material.
Rights and permissions
About this article
Cite this article
Díaz, A., Zócalo, Y. & Bia, D. Percentile curves for left ventricle structural, functional and haemodynamic parameters obtained in healthy children and adolescents from echocardiography-derived data. J Echocardiogr 18, 16–43 (2020). https://doi.org/10.1007/s12574-019-00425-0
Received:
Revised:
Accepted:
Published:
Issue Date:
DOI: https://doi.org/10.1007/s12574-019-00425-0