Skip to main content

Developmental changes in the left ventricular diastolic wall strain on M-mode echocardiography

Abstract

Background

The diastolic wall strain (DWS) of the left ventricle has been proposed as an indicator of left ventricular (LV) wall stiffness. The DWS is calculated as follows using M-mode echocardiography:

$${\text{DWS}} = \left[ {\left( {\text{LV posterior wall thickness at end-systole}} \right) - \left( {\text{LV posterior wall thickness at end-diastole}} \right)} \right]/\left( {\text{LV posterior wall thickness at end-systole}} \right)$$

Although this index is simple and clinically useful, normal values for children, including neonates, have not been reported.

Methods

The DWS was measured in 235 healthy people, ranging from neonates to adults. They were classified into 8 subgroups according to their age. The DWS was compared with conventional echocardiographic parameters for left ventricle function, including shortening fraction of the left ventricle, the Tei index, E/A of mitral flow, mitral annular tissue Doppler velocity during systole (s′) and during early diastole (e′), and the E/e′ ratio.

Results

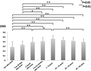
The DWS in the just after birth group was 0.28 ± 0.11, which was significantly lower than that of the remaining groups (p < 0.05), except for the neonate group at 5–10 days after birth. The DWS was highest in the 1–9 years of age group, and then gradually decreased with age. Stepwise regression of various echocardiographic parameters showed that e′ was the most relevant parameter for the DWS (β = 0.64).

Conclusions

Normal values for the DWS of the left ventricle change with age. The data reported in this study can be used as normal values for the DWS of the left ventricle determined by M-mode echocardiography.

This is a preview of subscription content, access via your institution.

Fig. 1
Fig. 2
Fig. 3
Fig. 4
Fig. 5

References

  1. Takeda Y, Sakata Y, Higashimori M, et al. Noninvasive assessment of wall distensibility with the evaluation of diastolic epicardial movement. J Card Fail. 2009;15:68–77.

    PubMed  Article  Google Scholar 

  2. Ohtani T, Mohammed SF, Yamamoto K, et al. Diastolic stiffness as assessed by diastolic wall strain is associated with adverse remodelling and poor outcomes in heart failure with preserved ejection fraction. Eur Heart J. 2012;33:1742–9.

    PubMed  Article  PubMed Central  Google Scholar 

  3. Cui W, Roberson DA. Left ventricular Tei index in children: comparison of tissue Doppler imaging, pulsed wave Doppler, and M-mode echocardiography normal values. J Am Soc Echocardiogr. 2006;19:1438–45.

    PubMed  Article  Google Scholar 

  4. Hsu DT, Pearson GD. Heart failure in children: part I: history, etiology, and pathophysiology. Circ Heart Fail. 2009;2:63–70.

    PubMed  Article  Google Scholar 

  5. Friedman WF. The intrinsic physiologic properties of the developing heart. Prog Cardiovasc Dis. 1972;15:87–111.

    PubMed  Article  CAS  Google Scholar 

  6. Davies P, Dewar J, Tynan M, et al. Post-natal developmental changes in the length-tension relationship of cat papillary muscles. J Physiol. 1975;253:95–102.

    PubMed  CAS  PubMed Central  Google Scholar 

  7. Opitz CA, Leake MC, Makarenko I, et al. Developmentally regulated switching of titin size alters myofibrillar stiffness in the perinatal heart. Circ Res. 2004;94:967–75.

    PubMed  Article  CAS  Google Scholar 

  8. Lahmers S, Wu Y, Call DR, et al. Developmental control of titin isoform expression and passive stiffness in fetal and neonatal myocardium. Circ Res. 2004;94:505–13.

    PubMed  Article  CAS  Google Scholar 

  9. Olson N, Brown JP, Kahn AM, et al. Left ventricular strain and strain rate by 2D speckle tracking in chronic thromboembolic pulmonary hypertension before and after pulmonary thromboendarterectomy. Cardiovasc Ultrasound. 2010;8:43.

    PubMed  Article  PubMed Central  Google Scholar 

  10. Spotnitz WD, Spotnitz HM, Truccone NJ, et al. Relation of ultrastructure and function. Sarcomere dimensions, pressure–volume curves, and geometry of the intact left ventricle of the immature canine heart. Circ Res. 1979;44:679–91.

    PubMed  Article  CAS  Google Scholar 

  11. Tsutsumi T, Ishii M, Eto G, et al. Serial evaluation for myocardial performance in fetuses and neonates using a new Doppler index. Pediatr Int. 1999;41:722–7.

    PubMed  Article  CAS  Google Scholar 

  12. Mori K, Nakagawa R, Nii M, et al. Pulsed wave Doppler tissue echocardiography assessment of the long axis function of the right and left ventricles during the early neonatal period. Heart. 2004;90:175–80.

    PubMed  Article  CAS  PubMed Central  Google Scholar 

  13. Beinlich CJ, Vitkauskas KJ, Morgan HE. Characterization of ventricular myocytes from the newborn pig heart. J Mol Cell Cardiol. 1998;30:1263–74.

    PubMed  Article  CAS  Google Scholar 

  14. Marijianowski MM, van der Loos CM, Mohrschladt MF, et al. The neonatal heart has a relatively high content of total collagen and type I collagen, a condition that may explain the less compliant state. J Am Coll Cardiol. 1994;23:1204–8.

    PubMed  Article  CAS  Google Scholar 

  15. Eidem BW. Congenital heart disease. In: Klein A, Garcia M, editors. Diastology: clinical approach to diastolic heart failure. Philadelphia: Saunders-Elsevier; 2008. p. 313–31.

    Chapter  Google Scholar 

  16. Schmitz L, Xanthopoulos A, Koch H, et al. Doppler flow parameters of left ventricular filling in infants: how long does it take for the maturation of the diastolic function in a normal left ventricle to occur? Pediatr Cardiol. 2004;25:482–91.

    PubMed  Article  CAS  Google Scholar 

  17. Garofalo CA, Cabreriza SE, Quinn TA, et al. Ventricular diastolic stiffness predicts perioperative morbidity and duration of pleural effusions after the Fontan operation. Circulation. 2006;114(1 Suppl):I56–61.

    PubMed  Google Scholar 

  18. Luijendijk P, Bouma BJ, Vriend JW, et al. Left ventricular fibrosis in adults after coarctation repair, does it play a role? Int J Cardiol. 2013;168:5029–30.

    PubMed  Article  Google Scholar 

  19. Florianczyk T, Werner B. Assessment of left ventricular diastolic function in children after successful repair of aortic coarctation. Clin Res Cardiol. 2011;100:493–9.

    PubMed  Article  PubMed Central  Google Scholar 

  20. Broberg CS, Chugh SS, Conklin C, et al. Quantification of diffuse myocardial fibrosis and its association with myocardial dysfunction in congenital heart disease. Circ Cardiovasc Imaging. 2010;3:723–34.

    Article  Google Scholar 

Download references

Conflict of interest

Masashi Suzue, Kazuhiro Mori, Miki Inoue, Yasunobu Hayabuchi, Ryuji Nakagawa, and Shoji Kagami declare that they have no conflict of interest.

Author information

Affiliations

Authors

Corresponding author

Correspondence to Masashi Suzue.

Rights and permissions

Reprints and Permissions

About this article

Verify currency and authenticity via CrossMark

Cite this article

Suzue, M., Mori, K., Inoue, M. et al. Developmental changes in the left ventricular diastolic wall strain on M-mode echocardiography. J Echocardiogr 12, 98–105 (2014). https://doi.org/10.1007/s12574-014-0222-4

Download citation

  • Received:

  • Revised:

  • Accepted:

  • Published:

  • Issue Date:

  • DOI: https://doi.org/10.1007/s12574-014-0222-4

Keywords

  • Diastolic wall strain
  • M-mode echocardiography
  • Neonates
  • Stiffness