Abstract
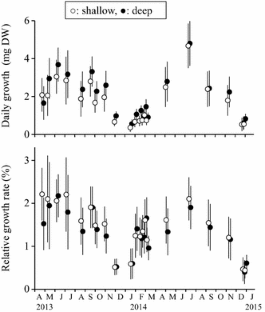
We estimated the leaf growth of the tropical–subtropical seagrass species Cymodocea serrulata using the conventional leaf-marking method in a subtropical seagrass bed on Ishigaki Island, southern Japan, which is near the northern distributional limit of this species. This survey was conducted over an annual cycle at two sites. The deep site was located in a dense meadow in the subtidal zone. The shallow site was located around the lowest part of the intertidal zone, forming a tide pool during ebb tides of the spring tide, which was considered to approximate the upper depth limit of C. serrulata. The relationships between temperature and shoot weight, and the number of leaves per shoot were significantly influenced by site, resulting in a lower biomass in the shallow site. Leaf growth and shoot length increased with temperature without any spatial variation. Leaf growth and the number of leaves per shoot particularly declined during periods of low temperature in both sites. These results suggest that leaf growth and phenology of C. serrulata in this subtropical area are largely regulated by temperature.
This is a preview of subscription content, access via your institution.








References
Abu Hena MK, Misri K, Sidik BJ, Hishamuddin O, Hidir H (2001) Photosynthesis of seagrass Cymodocea serrulata (Magnoliophyta/Potamogetonales/Cymodoceaceae) in field and laboratory. Indian J Mar Sci 30:253–256
Bourque AS, Fourqurean JW (2013) Variability in herbivory in subtropical seagrass ecosystems and implications for seagrass transplanting. J Exp Mar Biol Ecol 445:29–37
Brouns JJWM (1987) Aspects of production and biomass of four seagrass species (Cymodoceoideae) from Papua New Guinea. Aquat Bot 27:333–362
Collier CJ, Adams MP, Langlois L, Waycott M, O’Brien KR, Maxwell PS, McKenzie L (2016) Thresholds for morphological response to light reduction for four tropical seagrass species. Ecol Indic 67:358–366
Dawson SP, Dennison WC (1996) Effects of ultraviolet and photosynthetically active radiation on five seagrass species. Mar Biol 125:629–638
de Boer WF (2000) Biomass dynamics of seagrasses and the role of mangrove and seagrass vegetation as different nutrient sources for an intertidal ecosystem. Aquat Bot 66:225–239
Dormann CF, Elith J, Bacher S, Buchmann C, Carl G, Carré G, Marquéz JRG, Gruber B, Lafourcade B, Leitão PJ, Münkemüller T, McClean C, Osborne PE, Reineking B, Schröder B, Skidmore AK, Zurell D, Lautenbach S (2013) Collinearity: a review of methods to deal with it and a simulation study evaluating their performance. Ecography 36:27–46
Duarte CM (1991) Allometric scaling of seagrass form and productivity. Mar Ecol Prog Ser 77:289–300
Duarte CM, Chiscano CL (1999) Seagrass biomass and production: a reassessment. Aquat Bot 65:159–174
Duarte CM, Merino M, Agawin NSR, Uri J, Fortes MD, Gallegos ME, Marbá N, Hemminga MA (1998) Root production and belowground seagrass biomass. Mar Ecol Prog Ser 171:97–108
Erftemeijer PLA, Osinga R, Mars AE (1993) Primary production of seagrass beds in South Sulawesi (Indonesia): a comparison of habitats, methods and species. Aquat Bot 46:67–90
Gaeckle JL, Short FT (2002) A plastochrone method for measuring leaf growth in eelgrass, Zostera marina L. Bull Mar Sci 71:1237–1246
Infantes E, Terrados J, Orfila A, Cañellas B, Álvarez-Ellacuria A (2009) Wave energy and the upper depth limit distribution of Posidonia oceanica. Bot Mar 52:419–427
Kawano T, Igari T, Imayoshi Y, Tanaka T, Tokunaga S, Yoshimitsu S, Terada R (2012) Distribution of temperate/tropical seagrass in Satsunan Islands and adjacent waters, Kagoshima Prefecture, Japan. Aquacult Sci 60:359–369 (in Japanese with English abstract)
Lanyon JM, Marsh H (1995) Temporal changes in the abundance of some tropical intertidal seagrasses in North Queensland. Aquat Bot 49:217–237
Lee KS, Park SR, Kim YK (2007) Effects of irradiance, temperature, and nutrients on growth dynamics of seagrasses: a review. J Exp Mar Biol Ecol 350:144–175
Nakamura Y, Hirota K, Shibuno T, Watanabe Y (2012) Variability in nursery function of tropical seagrass beds during fish ontogeny: timing of ontogenetic habitat shift. Mar Biol 159:1305–1315
Ogawa N, Seki S, Yamada H, Nakamura Y (2015) Development of a Japanese parrotfish species identification method using PCR-RFLP analysis and its application—determination of the species composition of parrotfish juveniles in seagrass beds of the Ryukyu Islands, southern Japan. Aquacult Sci 63:423–435 (in Japanese with English abstract)
Park SR, Kim YK, Lee K-S (2010) Productivity estimation of Zostera marina on the southern coast of Korea: effects of leaf marking height and duration. J Exp Mar Biol Ecol 383:122–129
Pollard PC, Greenway M (1993) Photosynthetic characteristics of seagrasses (Cymodocea serrulata, Thalassia hemprichii and Zostera capricorni) in a low-light environment, with a comparison of leaf-marking and lacunal-gas measurements of productivity. Aust J Mar Freshwater Res 44:127–139
Rasheed MA, Dew KR, McKenzie LJ, Coles RG, Kerville SP, Campbell SJ (2008) Productivity, carbon assimilation and intra-annual change in tropical reef platform seagrass communities of the Torres Strait, north-eastern Australia. Cont Shelf Res 28:2292–2303
Short F, Carruthers T, Dennison W, Waycott M (2007) Global seagrass distribution and diversity: a bioregional model. J Exp Mar Biol Ecol 350:3–20
Takada Y, Abe O (2002) Local variations in shoot density, shoot morphology, and bite mark frequency of subtropical seagrasses in Japan. Bull Fish Res Agen 4:1–10
Tanaka Y, Kayanne H (2007) Relationship of species composition of tropical seagrass meadows to multiple physical environmental factors. Ecol Res 22:87–96
Tanaka Y, Nakaoka M (2004) Emergence stresses and morphological constraints affect the species distribution and growth of subtropical intertidal seagrasses. Mar Ecol Prog Ser 284:117–131
Tanaka Y, Nakaoka M (2007) Interspecific variation in photosynthesis and respiration balance of three seagrasses in relation to light availability. Mar Ecol Prog Ser 350:63–70
Udy JW, Dennison WC (1997) Growth and physiological responses of three seagrass species to elevated sediment nutrients in Moreton Bay, Australia. J Exp Mar Biol Ecol 217:253–277
Vermaat JE, Agawin NSR, Duarte CM, Fortes MD, Marbà N, Uri JS (1995) Meadow maintenance, growth and productivity of a mixed Philippine seagrass bed. Mar Ecol Prog Ser 124:215–225
Wolkenhauer SM, Uthicke S, Burridge C, Skewes T, Pitcher R (2010) The ecological role of Holothuria scabra (Echinodermata: Holothuroidea) within subtropical seagrass beds. J Mar Biol Assoc UK 90:215–223
Yamada H, Nanami A, Ohta I, Fukuoka K, Sato T, Kobayashi M, Hirai N, Chimura M, Akita Y, Kawabata Y (2012) Occurrence and distribution during the post-settlement stage of two Choerodon species in shallow waters around Ishigaki Island, southern Japan. Fish Sci 78:809–818
Acknowledgements
This work was supported by Japan Society for the Promotion of Science KAKENHI grant JP25292115. Valuable comments from Dr. C. P. Norman on our manuscript are much appreciated.
Author information
Affiliations
Corresponding author
Rights and permissions
About this article
Cite this article
Yamada, H., Nakamoto, K., Hayakawa, J. et al. Seasonal variations in leaf growth of Cymodocea serrulata in subtropical seagrass meadows. Fish Sci 84, 461–468 (2018). https://doi.org/10.1007/s12562-018-1183-8
Received:
Accepted:
Published:
Issue Date:
Keywords
- Distribution limit
- Ishigaki Island
- Temperature
- Leaf-marking method
- Nursery