Abstract
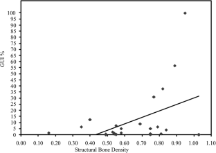
The economic anatomy for Rheidae (Class: Birds) which includes the calculation of the Modified General Utility Index (MGUI) and its component indexes: Meat Utility Index (MUI), Marrow Index (MI), White Grease Index (WGI), and General Utility Index (GUI) are presented in this paper. In addition, I describe the methodology implemented to generate each index and discuss these results, applying them to an archeofaunal setting. The results show net values of meat utility, which are associated to the anatomical portions of the appendicular skeleton; a high grease index, which is associated to the axial portions (mainly pelvis, sacrum, and sternum); and a high marrow index in the tibiotarsus and tarsometatarsus. The correlation that exists between the Economic Utility Index and the Structural Bone Density Index shows an equifinality problem. Finally, I compare the Utility Index for other ratites built with the purpose of giving an analogy for all the species that constitute this group of birds.








Similar content being viewed by others
Change history
24 July 2019
The original version of this article, unfortunately, contained errors. The below references were missing from the original publication.
References
Anderson A (1983) When all the moa-ovens grew cold: nine centuries of changing fortune for the Southern Maori. Heritage Books, Dunedin Otago
Belardi JB (1998) Hay choiques en la terraza. Información tafonómica y primeras implicaciones arqueofaunísticas para Patagonia. Arqueología 9:163–187
Belardi JB, Gómez Otero J (1988) Anatomía económica del huemul (Hippocamelus bisulcus): una contribución a la interpretación de las evidencias arqueológicas de su aprovechamiento en patagonia. Anales del Instituto de la Patagonia 26:195–207
Binford LR (1978) Nunamiut Ethoarchaeology. Academia Press, New York
Binford LR (1981) Bones: ancient men and modern myths. Academic Press, New York
Borrero LA (1990) Fuego–Patagonian bone assemblages and the problem of communal guanaco hunting. In: Davis LB, Reeves BOK (eds) Hunters of the recent past. Unwin Hyman, London, pp 373–406
Cabrera A (1958) Fitogeografía. En La Argentina Suma de Geografía 2:103–201
Caviglia S, Figuerero Torres MJ (1976) Materiales faunísticos de la cueva “La Buitrera” (Dpto. UER Aike, Prov. de Santa Cruz). Relaciones de la Sociedad Argentina Antropología 10:315–319
Cruz I, Elkin D (2003) Stuctural bone density of the lesser Rhea (Pterocnemia pennata) (Aves: Rheidae). Taphonomic and archaeological implications. J Archaeol Sci 30:37–44
del Hoyo J, Elliot A, Sargatal J (1992) Handbook of the birds of the world. Vol. 1. Ostrich to Ducks, Lynx, Barcelona, España
Diab MC (1998) Economic utility of the ringed seal (Phoca hispida): implications for Arctic archaeology. J Archaeol Sci 25:1–26
Drenowatz C (1995) The ratite encyclopedia. Ostrich, Emu, Rhea. San Antonio, Texas: Ratite Records Incorporated
Egeland CP, Byerly RM (2005) Applications of return rates to large mammal butchery and transport among hunter-gatherers and its implications for Plio-Pleistocene hominid carcass foraging and site use. Journal of Taphonomy 3:135–158
Fernández PM (2000) Rendido a tus pies: acerca de la composición anatómica de los conjuntos arqueofaunísticos con restos de Rheiformes de Pampa y Patagonia. In: Desde el País de los Gigantes, Perspectivas arqueológicas en Patagonia. Universidad Nacional de la Patagonia Austral, Río Gallegos, pp 572–586
Fernández PM, Cruz I, Elkin D (2001) Densidad mineral ósea de Pterocnemia pennata (Aves: Rheidae). Una herramienta para evaluar frecuencias anatómicas en sitios arqueológicos Relaciones de la Sociedad Argentina Antropología 26:243–260
García PT (1976) Análisis de la composición en ácidos grasos de lípidos de depósito e intramusculares de dos guanacos de 33 y 85 kg. de peso vivo. Informe del Departamento de Tecnología de Carnes, INTA. Castelar, a solicitud del Departamento de Fauna Silvestre, M.A.G.M., Proyecto Provincial para el uso racional del guanaco. Provincia de Río Negro
Garriz C, Urioste M, Delarada S, Della Croce M, Isequilla J, Albera H (2003) Ñandúes Argentinos (Rhea americana). I - rendimiento de res y derivados de faena. Trabajo presentado en el 1° Congreso Latinoamericano sobre Conservación y Cría de Ñandues, Buenos Aires
Garvey J, Cochrane B, Field J, Boney C (2011) Modern emu (Dromaius novaehollandiae) butchery, economic utility and analogues for the Australian archaeological record. Environ Archaeol 16(2):97–112
Jones K, Metcalfe D (1989) Bare bones archaeology: bone marrow index and efficiency. J Archaeol Sci 15:415–423
Kooyman BP (1990) Moa procurement: communal or individual hunting? In: Davis LB, Reeves BOK (eds) Hunters of the recent past. Unwin Hyman, London, pp 327–351
Lupo KD (2001) On the archaeological resolution of body part transport patterns: an ethnoarchaeological example from East African hunter-gatherers. J Anthropol Archaeol 20:361–378
Lupo KD (2006) What explains the carcass field processing and transport decisions of contemporary hunter-gatherers? Measures of economic anatomy and zooarchaeological skeletal part representation. J Archaeol Method Theory 13(1):19–66
Lupo KD, Schmitt DN (2005) Small prey hunting technology and zooarchaeological measures of taxonomic diversity and abundance: Ethnoarchaeological evidence from Central African forest foragers. J Anthropol Archaeol 24:335–353
Lyman RL (1985) Bone frequencies: differential transport, in situ destruction and the MGUI. J Archaeol Sci 12:221–236
Lyman RL (1994) Vertebrate taphonomy. Cambridge University Press, Cambridge
Mengoni Goñalons GL (1991) La llama y sus productos primarios. Arqueología 1:179–196
Metcalfe D, Jones KT (1988) A reconsideration of animal body-part utility index. Am Antiq 53(3):486–504
Metcalfe D, Barlow KR (1992) A model for exploring the optimal trade-off between field processing and transport. Am Anthropol 94:340–356
Miotti L, Marchionni L (2009) Procesando huesos: entre la Etnografía y la Arqueología. In: Salemme M, Piana E, Alvarez M, Santiago F, Vázquez M, Mansur E (Eds). Arqueología de la Patagonia. Una mirada desde el confín del mundo, Utopía, Ushuaia, Tierra del Fuego, pp 787–799
Miotti L, Marchionni L (2012) Tools beyond stones: bone, a non-traditional raw material in continental Patagonia. In Choyke A, O’Connors S (Eds). From these bare bones: raw and worked osseous materials. Oxbow books. Oxford. pp116–126
Miotti L, Marchionni L (2014) Autopodios de guanacos en sitios arqueológicos: equifinalidad entre lo palatable y lo preservado. Revista Chilena de Antropología 29:122–129
Miotti L, Salemme M (1999) Biodiversity, taxonomic richness and specialists-generalists during late Pleistocene/early Holocene times in Pampa and Patagonia (Argentina, Southern South America). Quat Int 53-54:53–68
Miotti L, Tonni E (1996) Reidos del sitio arqueológico AEP-1 de Piedra Museo y la meseta central de Santa Cruz y sus implicancias paleoambientales. Póster presentado en: 3ras. Jornadas de Arqueología de Patagonia. Bariloche
Miotti L, Vázquez M, Hermo D (1999) Piedra Museo, un Yamnagoo pleistocénico de los colonizadores de la meseta de Santa Cruz. El estudio de la arqueofauna. In Soplando en el Viento. Acta de las III Jornadas de Arqueología de la Patagonia, Universidad Nacional del Comahue. Facultad de Humanidades. INALP (Eds.), Bariloche, pp. 113–136
O’Connell JF, Hawkes K, Jones NB (1988) Hadza hunting, butchering, and bone transport and their archaeological implications. J Anthropol Res 44(2):113-161
O’Connell JF, Hawkes K, Jones NB (1990) Reanalysis of large mammal body part transport among the Hadza. J Archaeol Sci 17:301–316
Outram AK, Rowley-Conwy P (1998) Meat and marrow utility indices for horse (Equus). J Archaeol Sci 25:839–849
Parodi J (1976) Evaluación cuali-cuantitativa de reses de guanacos (Lama guanicoe) de la Provincia de Río Negro, Argentina. Informe del Departamento de Tecnología de Carnes, INTA. Castelar, a solicitud del Departamento de Fauna Silvestre, M.A.G.M., Proyecto Provincial para el uso racional del guanaco. Provincia de Río Negro
Reboreda JC, Fernández GJ (1997) The effect of sex and group size on individual vigilance in the greater Rhea, Rhea americana. Ethology 103:198–207
Reboreda JC, Fernández GJ (2005) Estudios sobre ecología del comportamiento del Ñandú. Rhea americana. Publicaciones FUCEMA. www.fucema.org.ar/fucema/publicaciones/rhea.htm. Accessed 25 Oct 2005
Salemme M, Frontini R (2011) The exploitation of RHEIDAE in Pampa and Patagonia (Argentina) as recorded by chroniclers, naturalists and voyagers. J Anthropol Archaeol 30:473–483
Sales J, Manero A, Navarro J (1996) Carcas and fabrication yields of lesser Rhea (Pterocnemia pennata). Report for National Institute of Agricultural Technology (INTA), Santa Cruz Experimental Station, Argentina MS.
Savelle JM, Friesen MT, Lyman LR (1996) Derivation and application of an Otariid Utility Index. J Archaeol Sci 23:705–712
Savelle JM, Friesen MT (1996) An Odontocete (Cetacea) Meat Utility Index. J Archaeol Sci 23:713–721
Speth JD (1983) Energy source, protein metabolism, and hunter–gatherer subsistence strategies. J Anthropol Archaeol 2:1–31
Speth JD (1992) Protein selection and avoidance strategies of contemporary and ancestral foragers: unresolved issues, in foraging strategies and natural diet of monkeys, apes and humans. Proceedings of a Royal Society Discussion Meeting held on 30 and 31 May 1991, in Whiten, A., Widdowson, E. M., (Eds.), Claredon Press, Oxoford. pp.105–110
Tambussi C, Tonni EP (1985) Aves del sitio arqueológico Los Toldos, Cañadón de las Cuevas, Provincia de Santa Cruz (República Argentina). Ameghiniana 22(1–2):69–74
Tívoli AM, Peréz AF (2009) Rendimiento económico del cauquén común (Chloephaga picta, Familia Anatidae). In: Salemme M, Santiago F, Álvarez M, Piana E, Vázquez M, Mansur ME (eds) Arqueología de Patagonia: una mirada desde el último confín, Editorial Utopías, Ushuaia, pp 853–864
Tonni EP, Laza J (1980) Las aves de la fauna local de Paso Otero (Pleistoceno tardío) de la Provincia de Bs. As. Su significación ecológica; climática y zoogeográfica. Ameghiniana 17(4):313–322
Acknowledgements
This study was made possible by the collaboration of the Natural Resources Direction of the Mendoza Government, San Rafael Delegation, which provided the analyzed specimen, Rhea pennata. Gustavo Neme and Adolfo Gil advised and made critical readings of the manuscript. I would also like to thank the collaboration of Miriam Ayala and Adrián Atencio, who helped with the lab work. The review of an early English version by Clara Otaola, Fernando Franchetti, and Laura Steele were also of great importance for this work. Certainly, none of them are responsible for errors or omissions.
Author information
Authors and Affiliations
Corresponding author
Additional information
This article is part of the Topical Collection on Avian Zooarchaeology: Prehistoric and Historical Insights
Rights and permissions
About this article
Cite this article
Giardina, M.A. Economic anatomy of Rheidae and its implication for the archeological record. Archaeol Anthropol Sci 11, 6377–6390 (2019). https://doi.org/10.1007/s12520-018-0659-x
Received:
Accepted:
Published:
Issue Date:
DOI: https://doi.org/10.1007/s12520-018-0659-x
