Abstract
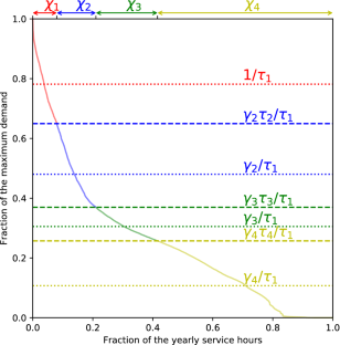
Our research question is to what extent, and under what circumstances, full automation in metro lines defines transit mode boundaries with respect to semi-rapid transit. The modeling approach is based on micro-economic appraisal. Automation, beside changing the investment and operation and maintenance cost profiles of metro lines, can improve some aspects of the user experience. The low marginal cost of frequency possible with automated metro may unlock both users’ benefits via reduced waiting times and crowding, and operator’s savings via shorter trains and smaller platforms and stations. We show how the user’s travel time components are structurally different under several configurations. In particular, we highlight the critical role that different demand and alignment patterns play in the mode comparison.

























































Similar content being viewed by others
References
Abe R (2019) Introducing autonomous buses and taxis: quantifying the potential benefits in Japanese transportation systems. Transp Res Part A Policy Pract 126:94–113
Aldaihani MM, Quadrifoglio L, Dessouky MM, Hall R (2004) Network design for a grid hybrid transit service. Transp Res Part A Policy Pract 38(7):511–530
Allen DW (2016) Simulations of the VIVA semirapid transit in York region, Ontario, Canada, Private communication. IBI Group, Boston
Bösch PM, Becker F, Becker H, Axhausen KW (2018) Cost-based analysis of autonomous mobility services. Transp Policy 64:76–91
Bruun EC, Allen DW, Givoni M (2018) Choosing the right public transport solution based on performance of components. Transport 33(4):1017–1029
Casello JM, Lewis GM, Yeung K, Santiago-Rodríguez D (2014) A transit technology selection model. J Public Transp 17(4):50–75
Chang SK, Schonfeld PM (1991) Multiple period optimization of bus transit systems. Transp Res Part B Methodol 25(6):453–478
Chen PW, Nie YM (2017a) Analysis of an idealized system of demand adaptive paired-line hybrid transit. Transp Res Part B Methodol 102:38–54
Chen PW, Nie YM (2017b) Connecting e-hailing to mass transit platform: analysis of relative spatial position. Transp Res Part C Emerg Technol 77:444–461
Daganzo CF (2010) Structure of competitive transit networks. Transp Res Part B Methodol 44(4):434–446
Daganzo CF (2012) On the design of public infrastructure systems with elastic demand. Transp Res Part B Methodol 46(9):1288–1293
Diao M, Kong H, Zhao J (2021) Impacts of transportation network companies on urban mobility. Nat Sustain 4(6):494–500
Fielbaum A (2020) Strategic public transport design using autonomous vehicles and other new technologies. Int J Intell Transp Syst Res 18(2):183–191
Fielbaum A, Jara-Diaz S, Gschwender A (2016) Optimal public transport networks for a general urban structure. Transp Res Part B Methodol 94:298–313
Fielbaum A, Jara-Diaz S, Gschwender A (2017) A parametric description of cities for the normative analysis of transport systems. Netw Spat Econ 17(2):343–365
Fielbaum A, Jara-Díaz S, Gschwender A (2018) Transit line structures in a general parametric city: the role of heuristics. Transp Sci 52(5):1092–1105
Fulton LM (2018) Three revolutions in urban passenger travel. Joule 2(4):575–578
Furth P, Muller T (2006) Service reliability and hidden waiting time: Insights from automatic vehicle location data. Transp Res Rec 1955:79–87
ITA (2004) Underground or aboveground? Making the choice for urban mass transit systems: a report by the international tunnelling association (ITA). Prepared by working group number 13 (WG13). ‘Direct and indirect advantages of underground structures’. Tunn Undergr Space Technol 19(1):3–28
Jansson JO (1980) A simple bus line model for optimisation of service frequency and bus size. J Transp Econ Policy 14(1):53–80
Jansson JO (1984) Transport system optimization and pricing. Wiley, Chichester
Jara-Díaz S, Gschwender A (2003) Towards a general microeconomic model for the operation of public transport. Transp Rev 23(4):453–469
Jara-Díaz S, Fielbaum A, Gschwender A (2017) Optimal fleet size, frequencies and vehicle capacities considering peak and off-peak periods in public transport. Transp Res Part A Policy Pract 106:65–74
Jara-Díaz S, Fielbaum A, Gschwender A (2020) Strategies for transit fleet design considering peak and off-peak periods using the single-line model. Transp Res Part B Methodol 142:1–18
Levine J, Singer M, Merlin L, Grengs J (2018) Apples to apples: comparing BRT and light rail while avoiding the “BRT-lite” trap. Transp Policy 69:20–34
Li Z, Hensher DA (2013) Crowding in public transport: a review of objective and subjective measures. J Public Transp 16(2):107–134
Litman T (2015) Autonomous vehicle implementation predictions. Technical report, Victoria Transport Policy Institute, Victoria
Mattioli G, Roberts C, Steinberger JK, Brown A (2020) The political economy of car dependence: a systems of provision approach. Energy Res Soc Sci 66:101486
Moccia L, Laporte G (2016) Improved models for technology choice in a transit corridor with fixed demand. Transp Res Part B Methodol 83:245–270
Moccia L, Giallombardo G, Laporte G (2017) Models for technology choice in a transit corridor with elastic demand. Transp Res Part B Methodol 104:733–756
Moccia L, Allen DW, Bruun EC (2018) A technology selection and design model of a semi-rapid transit line. Public Transp 10(3):455–497
Moccia L, Allen DW, Laporte G (2020) A spatially disaggregated model for the technology selection and design of a transit line. Public Transp 12(3):647–691
Osuna E, Newell G (1972) Control strategies for an idealized public transportation system. Transp Sci 6(1):52–72
Pinto HKRF, Hyland MF, Verbas İÖ, Mahmassani HS (2018) Integrated mode choice and dynamic traveler assignment-simulation framework to assess the impact of a suburban first-mile shared autonomous vehicle fleet service on transit demand. In: Transportation Research Board Annual Meeting, Washington, D.C
Pinto HKRF, Hyland MF, Mahmassani HS, Verbas IÖ (2020) Joint design of multimodal transit networks and shared autonomous mobility fleets. Transp Res Part C Emerg Technol 113:2–20
Schipper L (2002) Sustainable urban transport in the 21st century: a new agenda. Transp Res Rec J Transp Res Board 1792:12–19
TCQSM (2013) Transit capacity and quality of service manual. Transportation Research Board, Washington, DC
Tirachini A, Antoniou C (2020) The economics of automated public transport: effects on operator cost, travel time, fare and subsidy. Econ Transp 21:100151
Tirachini A, Hensher DA, Jara-Díaz SR (2010) Restating modal investment priority with an improved model for public transport analysis. Transp Res Part E Logist Transp Rev 46(6):1148–1168
UITP (2019). http://metroautomation.org/automation-essentials/
US-DOT (2011) The value of travel time savings: Departmental guidance for conducting economic evaluations. Technical report, Department of Transportation, US
van Oort N (2011) Service reliability and urban public transport design. PhD thesis, Delft University of Technology, Delft
van Oort N (2014) Incorporating service reliability in public transport design and performance requirements: international survey results and recommendations. Res Transp Econ 48:92–100
van Oort N (2016) Incorporating enhanced service reliability of public transport in cost-benefit analyses. Public Transp 8(1):143–160
Verbas İÖ, Mahmassani HS, Hyland MF (2015) Dynamic assignment-simulation methodology for multimodal urban transit networks. Transp Res Rec 2498(1):64–74
Verbas İÖ, Mahmassani HS, Hyland MF, Halat H (2016a) Integrated mode choice and dynamic traveler assignment in multimodal transit networks: mathematical formulation, solution procedure, and large-scale application. Transp Res Rec 2564(1):78–88
Verbas Ö, Mahmassani HS, Hyland FM (2016b) Gap-based transit assignment algorithm with vehicle capacity constraints: simulation-based implementation and large-scale application. Transp Res Part B Methodol 93:1–16
Vuchic VR (2005) Urban transit: operations, planning, and economics. Wiley, Hoboken
Vuchic VR, Newell GF (1968) Rapid transit interstation spacings for minimum travel time. Transp Sci 2(4):303–339
Vuchic VR, Stanger RM, Bruun EC (2012) Bus rapid transit (BRT) versus light rail transit (LRT): service quality, economic, environmental and planning aspects. Transportation technologies for sustainability. Springer, Berlin, pp 256–291
Wadud Z, MacKenzie D, Leiby P (2016) Help or hindrance? The travel, energy and carbon impacts of highly automated vehicles. Transp Res Part A Policy Pract 86:1–18
Wang Y, Zhang M, Ma J, Zhou X (2016) Survey on driverless train operation for urban rail transit systems. Urban Rail Transit 2(3):106–113
Wirasinghe SC, Ghoneim NS (1981) Spacing of bus-stops for many to many travel demand. Transp Sci 15(3):210–221
Zhang K, Mahmassani HS, Vovsha P (2011) Integrated nested logit mode choice and dynamic network micro-assignment model platform to support congestion and pricing studies: the New York metropolitan case. In: Transportation Research Board 90th Annual Meeting, Washington, DC
Zhang W, Jenelius E, Badia H (2019) Efficiency of semi-autonomous and fully autonomous bus services in trunk-and-branches networks. J Adv Transp 2019:7648735
Zhu C, Byrd RH, Lu P, Nocedal J (1997) Algorithm 778: L-BFGS-B: Fortran subroutines for large-scale bound-constrained optimization. ACM Trans Math Softw 23(4):550–560
Acknowledgements
Luigi Moccia was partly supported by CNR (Italy) under project “Sequence/Stream Analytics and Process Intelligence”. Gilbert Laporte was funded by the Canadian Natural Sciences and Engineering Research Council under grant 2015-06189. These supports are gratefully acknowledged. Luigi Moccia and Duncan W. Allen thank Eric C. Bruun for fruitful discussions on transit planning and operations. We thank the Editor and the referees for their valuable comments.
Author information
Authors and Affiliations
Corresponding author
Additional information
Publisher's Note
Springer Nature remains neutral with regard to jurisdictional claims in published maps and institutional affiliations.
Rights and permissions
About this article
Cite this article
Moccia, L., Allen, D.W., Laporte, G. et al. Mode boundaries of automated metro and semi-rapid rail in urban transit. Public Transp 14, 739–802 (2022). https://doi.org/10.1007/s12469-021-00287-9
Accepted:
Published:
Issue Date:
DOI: https://doi.org/10.1007/s12469-021-00287-9
