Abstract
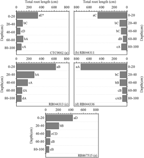
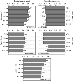
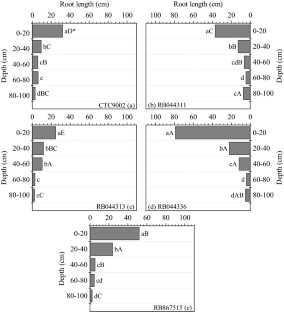
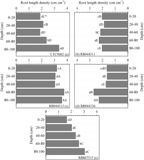
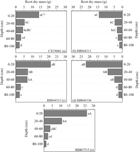
The objective of the study was to associate soil moisture, aerial biometric characteristics, and root distribution patterns in the yield of sugarcane genotypes in the fourth ratoon and the relationships between these characteristics. We used five sugarcane genotypes (CTC9002, RB044311, RB044313, RB044336, and RB867515) and five soil depths (0–20, 20–40, 40–60, 60–80 and 80–100 cm deep). The evaluations were carried out in December 2019. We evaluated the root systems, the soil water content at the five depths, the aerial biometric characteristics, and the productive yield. In the roots, the genotypes RB044311, RB044313, RB044336, and RB867515 showed a higher yield. On average, genotypes showed 50% of dry weight and total root length at a depth of 0–20 cm, 73% between 0 and 40 cm, and 86% between 0 and 60 cm. The RB044336 genotype showed maximum height and number of buds. The RB867515 genotype had the largest average stem diameter and CTC9002, the largest number of tillers. The genotypes CTC9002 and RB867515 presented the highest soluble solids' content, apparent sucrose in the juice, and total reducing sugars. These genotypes showed a 26% and 57% higher root density in soil layers at depths of 60–80 cm, respectively, 79% and 86% in the 80–100 cm layer, about the layer with the highest concentration of 0–20 cm roots. These layers remained with the highest soil moisture levels during the period of establishment and intensive cultivation growth. Thus, there was a relationship between root distribution dynamics and soil moisture in different areas.









Similar content being viewed by others
Explore related subjects
Discover the latest articles and news from researchers in related subjects, suggested using machine learning.References
Alvares, Clayton A., José L. Stape, Paulo C. Sentelhas, José L.M. Gonçalves, and Gerd Sparovek. 2013. Köppen’s climate classification map for Brazil. MeteorologischeZeitschrift 22 (6): 711–728. https://doi.org/10.1127/0941-2948/2013/0507.
Bashir, Shahid. 2013. Ratooning potential of different promising sugarcane genotypes at varying harvesting dates. Journal of Agricultural and Biological Science 8: 437–440.
Bashir, Shahid, Naeem Fiaz, Abdul Ghaffar, and Farhan Khalid. 2012. Ratooning ability of sugarcane genotypes at different harvesting dates. International Sugar Journal 114: 273–276.
Bressan, Eduardo A., Igor A.S. de Carvalho, Maria T.M.R. Borges, Monalisa S. Carneiro, Edson F. da Silva, Rodrigo Gazaffi, Regina T. Shirasuna, et al. 2020. Assessment of gene flow to wild relatives and nutritional composition of sugarcane in Brazil. Frontiers in Bioengineering and Biotechnology 8: 598. https://doi.org/10.3389/fbioe.2020.00598.
Cardozo, N.P., and P.C. Sentelhas. 2013. Climatic effects on sugarcane ripening under the influence of cultivars and crop age. Scientia Agricola. 70: 449–456. https://doi.org/10.1590/S0103-90162013000600011.
Chopart, J.L., M.C.B. Azevedo, L. Le Mézo, and D. Marion. 2010. Functional relationship between sugarcane root biomass and length for cropping system applications. Sugar Technology 12: 317–321. https://doi.org/10.1007/s12355-010-0044-2.
Chumphu, Saranya, Nuntawoot Jongrungklang, and Patcharin Songsri. 2019. Association of physiological responses and root distribution patterns of ratooning ability and yield of the second ratoon cane in sugarcane elite clones. Agronomy 9: 200. https://doi.org/10.3390/agronomy9040200.
Companhia Nacional de Abastecimento (Conab). 2019. Acompanhamento da safra brasileira de cana-de-açúcar. v. 6 – Safra 2019/20. 3. Brasília: Conab.
Conselho de Produtores de Cana-de-Açúcar (CONSECANA). 2015. Manual de Instruções. 6. Piracicaba: Consecana.
Ferreira, Vitor F., David R. da Rocha, and Fernando C. da Silva. 2009. Potencialidades e oportunidadesnaquímica da sacarose e outros açúcares. Química Nova 32: 623–638. https://doi.org/10.1590/S0100-40422009000300007.
Gewin, Virginia. 2010. Food: An underground revolution. Nature 466: 552–553. https://doi.org/10.1038/466552a.
Jongrungklang, N., B. Toomsan, N. Vorasoot, S. Jogloy, K.J. Boote, G. Hoogenboom, and A. Patanothai. 2013. Drought tolerance mechanisms for yield responses to pre-flowering drought stress of peanut genotypes with different drought tolerant levels. Field Crops Research 144: 34–42. https://doi.org/10.1016/j.fcr.2012.12.017.
Ju, Chengxin, Roland J. Buresh, Zhiqin Wang, Hao Zhang, Lijun Liu, Jianchang Yang, and Jianhua Zhang. 2015. Root and shoot traits for rice varieties with higher grain yield and higher nitrogen use efficiency at lower nitrogen rates application. Field Crops Research 175: 47–55. https://doi.org/10.1016/j.fcr.2015.02.007.
Judd, Lesley A., Brian E. Jackson, William C. Fonteno, and J.C. Domec. 2016. Measuring root hydraulic parameters of container-grown herbaceous and woody plants using the hydraulic conductance flow meter. Hort Science 51: 192–196. https://doi.org/10.21273/HORTSCI.51.2.192 .
Júnior, Antunes, J. de Elson, José A. Júnior, and Derblai Casaroli. 2018. Calibração do sensor capacitivo ec-5 em um latossoloemfunção da densidade do solo. Revista Engenhariana Agricultura 26: 80–88. https://doi.org/10.13083/reveng.v26i1.864.
Kell, Douglas B. 2011. Breeding crop plants with deep roots: their role in sustainable carbon, nutrient and water sequestration. Annals of Botany 108: 407–418. https://doi.org/10.1093/aob/mcr175.
Klaus, R., and L.C. Timm. 2019. Soil, Plant and Atmosphere: Concepts, Processes and Applications, vol. 1. Springer.
Laclau, P.B., and J.-P. Laclau. 2009. Growth of the whole root system for a plant crop of sugarcane under rainfed and irrigated environments in Brazil. Field Crops Research 114: 351–360. https://doi.org/10.1016/j.fcr.2009.09.004.
Malavolta, Eurípedes, Godofredo C. Vitti, and Sebastião A. Oliveira. 1997. Avaliação do estado nutricional das plantas: princípios e aplicações. 2. Piracicaba: Associação Brasileira para Pesquisa da Potassa e do Fosfato.
Marasca, Indiamara, Stella V. Lemos, Reginaldo B. Silva, Saulo P.S.. Guerra, and Kleber P. Lanças. 2015. Soil compaction curve of an oxisol under sugarcane planted after in-row deep tillage. RevistaBrasileira de Ciência do Solo 39: 1490–1497. https://doi.org/10.1590/01000683rbcs20140559.
Mesa, Leyanis, Yenisleidy Martínez, Ana C. de Armas, and Erenio González. 2020. Ethanol production from sugarcane straw using different configurations of fermentation and techno-economical evaluation of the best schemes. Renewable Energy 156: 377–388. https://doi.org/10.1016/j.renene.2020.04.091.
Nichols, Virginia A., Raziel A. Ordóñez, Emily E. Wright, Michael J. Castellano, Matt Liebman, Jerry L. Hatfield, Matt Helmers, and Sotirios V. Archontoulis. 2019. Maize root distributions strongly associated with water tables in Iowa, USA. Plant and Soil 444: 225–238. https://doi.org/10.1007/s11104-019-04269-6.
Otto, R., A.P. Silva, H.C.J. Franco, E.C.A. Oliveira, and P.C.O. Trivelin. 2011. High soil penetration resistance reduces sugarcane root system development. Soil and Tillage Research 117: 201–210. https://doi.org/10.1016/j.still.2011.10.005.
Palta, Jairo A., Xing Chen, Stephen P. Milroy, Greg J. Rebetzke, M.F. Dreccer, and Michelle Watt. 2011. Large root systems: are they useful in adapting wheat to dry environments? Functional Plant Biology 38: 347–354. https://doi.org/10.1071/FP11031.
Raza, A., J.K. Friedel, and G. Bodner. 2012. Improving Water Use Efficiency for Sustainable Agriculture. In Agroecology and Strategies for Climate Change, ed. E. Lichtfouse, 167–211. Springer. https://doi.org/10.1007/978-94-007-1905-7_8.
Scarpare, F.V., T.A.D. Hernandes, S.T. Ruiz-Corrêa, M.C. AraújoPicoli, B.R. Scanlon, M.F. Chagas, D.G. Duft, and T.F. Cardoso. 2016. Sugarcane land use and water resources assessment in the expansion area in Brazil. Journal of Cleaner Production 133: 1318–1327. https://doi.org/10.1016/j.jclepro.2016.06.074.
Scarpare, F.V., Q. Jong van Lier, L. Camargo, R.C.M. Pires, S.T. Ruiz-Corrêa, A.H.F. Bezerra, G.J.C. Gava, and C.T.S. Dias. 2019. Tillage effects on soil physical condition and root growth associated with sugarcane water availability. Soil and Tillage Research 187: 110–118.
Silva-Olaya, Adriana M., Carlos E.P.. Cerri, and Carlos C. Cerri. 2017. Comparação de métodos de amostragem para avaliação do sistema radicular da cana-de-açúcar. Revista de CienciasAgrícolas 34: 7–16. https://doi.org/10.22267/rcia.173401.59.
Smith, D.M., N.G. Inman-Bamber, and P.J. Thorburn. 2005. Growth and function of the sugarcane root system. Field Crops Research 92: 169–183. https://doi.org/10.1016/j.fcr.2005.01.017.
Teixeira, Cicero, Vilma M. Ferreira, Laurício Endres, Débora T.R.G. Ferreira, and Eduardo R. Gonçalves.. 2011. Crescimento e produtividade de quatrovariedades de cana-de-açúcar no quarto ciclo de cultivo. Revista Caatinga 24: 56–63.
Terauchi, T., H. Nakagawa, M. Matsuoka, H. Nakano, and A. Sugimoto. 1999. Comparison of the early growth between sugarcane and sweet sorghum. Japanese Journal of Crop Science (Japan) 68: 414–418. https://doi.org/10.1626/jcs.68.414.
Tron, Stefania, Gernot Bodner, Francesco Laio, Luca Ridolfi, and Daniel Leitner. 2015. Can diversity in root architecture explain plant water use efficiency? A modeling study. Ecological Modelling 312: 200–210. https://doi.org/10.1016/j.ecolmodel.2015.05.028.
Vasantha, S., D. Esther Shekinah, C. Gupta, and P. Rakkiyappan. 2012. Tiller production, regulation and senescence in sugarcane (Saccharum species hybrid) genotypes. Sugar Tech 14: 156–160. https://doi.org/10.1007/s12355-011-0129-6.
Veen, B. W. 1981. Relation between root respiration and root activity. In Structure and Function of Plant Roots: Proceedings of the 2nd International Symposium, held in Bratislava, Czechoslovakia, September 1–5, 1980, ed. R. Brouwer, O. Gašparíková, J. Kolek, and B. C. Loughman, 277–280. Dordrecht: Springer Netherlands. doi: https://doi.org/10.1007/978-94-009-8314-4_53.
Author information
Authors and Affiliations
Corresponding author
Additional information
Publisher's Note
Springer Nature remains neutral with regard to jurisdictional claims in published maps and institutional affiliations.
Supplementary Information
Below is the link to the electronic supplementary material.
Rights and permissions
About this article
Cite this article
Costa Neto, C.A., Mesquita, M., de Moraes, D.H.M. et al. Relationship Between Distribution of the Radicular System, Soil Moisture and Yield of Sugarcane Genotypes. Sugar Tech 23, 1157–1170 (2021). https://doi.org/10.1007/s12355-021-00981-9
Received:
Accepted:
Published:
Issue Date:
DOI: https://doi.org/10.1007/s12355-021-00981-9


