Abstract
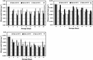
The influence of pasteurization on storage stability of sweet sorghum juice and subsequent bioconversion to ethanol was studied. Juice samples were pasteurized at three different temperatures, i.e., 70 °C for 10 min, 80 °C for 5 min and 90 °C for 2 min and were further stored at three different temperatures of 35, 40 and 45 °C. The storage shelf life of the sorghum juice was observed to be extended for 21 days without compromising the ethanol conversion efficiency. Consistent fermentation efficiencies were observed for the juice samples pasteurized at 70 °C followed by storage at 45 °C, pasteurized at 80 °C followed by storage at 40 °C and pasteurized at 90 °C followed by storage at 35 °C and these samples showed an ethanol yield in the range of 0.473–0.477, 0.461–0.47 and 0.466–0.473 g g−1, respectively. Hence, the juice samples pasteurized at 90 °C and stored at 35 °C was deemed as the superior preservation condition as it was close to ambient temperature and increased the shelf life of sweet sorghum juice. The highest fermentation efficiency of 93 % was observed after 48 h of fermentation.
This is a preview of subscription content, access via your institution.





References
Anderson I.C. 2005. Ethanol from sweet sorghum. http://www.energy.istate.edu/renewable/biomass/csanerobicz.html.
Anonymous. 1998. World energy outlook, 1998, edition. http://www.iea.org.
Antonopoulou, G., H.N. Gavala, I.V. Skiadas, K. Angelopoulos, and G. Lyberatos. 2008. Biofuels generation from sweet sorghum: Fermentative hydrogen production and anaerobic digestion of the remaining biomass. Bioresource Technology 99: 110–119.
Ariyajarearnwong, P., L. Laopaiboon, P. Jaisil, and P. Laopaiboon. 2011. Repeated-batch ethanol fermentation from sweet sorghum juice by free cells of Saccharomyces cerevisiae NP 01. African Journal of Biotechnology 10: 13909–13918.
Bhardwaj, R.L., and S. Mukherjee. 2011. Effects of fruit juice blending ratios on kinnow juice preservation at ambient storage condition. African Journal of Food Science 5: 281–286.
Bhattacherjee, A.K., D.K. Tandon, A. Dikshit, and S. Kumar. 2011. Effect of pasteurization temperature on quality of aonla juice during storage. Journal of Food Science and Technology 48: 269–273.
Chauhan, O.P., D. Singh, S.M. Tyagi, and D.K. Balyan. 2002. Studies on preservation of sugarcane juice. International Journal of Food Properties 5: 217–229.
Chum, L.M., and R.P. Overend. 2001. Biomass and renewable fuels. Fuel Bioprocess Technology 17: 187–195.
Gould, G.W. 2000. Preservation: Past, present and future. Britain Medical Bulletin 26: 84–96.
Imam, T., and S. Capareda. 2011. Fermentation kinetics and ethanol production from different sweet sorghum varieties. International Journal of Agricultural and Biological Engineering 4: 33–40.
Karmakar, R., A.K. Ghosh, and H. Gangopadhyay. 2010. Study on the nutritional and microbiological changes of sugarcane juice and determination of optimum conditions during pasteurization. Asian Journal of Food and Agro-Industry 3: 453–461.
Khongsay, N., L. Laopaiboon, and P. Laopaiboon. 2010. Growth and batch ethanol fermentation of Saccharomyces cerevisiae on sweet sorghum stem juice under normal and very high gravity conditions. Biotechnology 9: 9–16.
Krishnakumar, T., and C.T. Devadas. 2006. Microbiological changes during storage of sugarcane juice in different packaging materials. Beverage and Food World 33: 82–83.
Kumar, C.G., A. Fatima, P. Srinivasa Rao, B.V.S. Reddy, A. Rathore, R. Nageswar Rao, S. Khalid, A.A. Kumar, and A. Kamal. 2010. Characterization of improved sweet sorghum genotypes for biochemical parameters, sugar yield and its attributes at different phenological stages. Sugar Tech 12: 322–328.
Laopaiboon, L., P. Thanonkeo, P. Jaisil, and P. Laopaiboon. 2007. Ethanol production from sweet sorghum juice in batch and fed-batch fermentations by Saccharomyces cerevisiae. World Journal of Microbiology & Biotechnology 23: 1497–1501.
Leistner, L., and M. Gorris. 1995. Food preservation by hurdle technology. Trends in Food Science & Technology 6: 4–9.
Miller, G.L. 1959. Use of dinitrosalicylic acid reagent for the determination of reducing sugars. Analytical Chemistry 31: 426–428.
Nuanpeng, S., L. Laopaiboon, P. Srinophakun, P. Klanrit, P. Jaisil, and P. Laopaiboon. 2011. Ethanol production from sweet sorghum juice under very high gravity conditions: Batch, repeated-batch and scale up fermentation. Electronic Journal of Biotechnology http://dx.doi.org/10.2225/vol14-issue1-fulltext-2. Accessed 14 Aug 2012.
Pareek, S., R. Paliwal, and S. Mukherjee. 2011. Effect of juice extraction methods and processing temperature-time on juice quality of Nagpur mandarin (Citrus reticulate Blanco) during storage. Journal of Food Science and Technology 48: 197–203.
Ranken, M.D., R.C. Kill, and C.G.J. Baker. 2005. Food industries manual, 24th ed. Weinheim: Springer-Verlag.
Rao, P.S., S.S. Rao, N. Seetharama, A.V. Umakanth, P. Sanjana Reddy, B.V.S. Reddy, and C.L.L. Gowda. 2009. Sweet sorghum for biofuel and strategies for its improvement. Information Bulletin No. 77. International Crops Research Institute for the Semi-Arid Tropics, Patancheru 502324, Andhra Pradesh, India, ISBN 978-92-9066-518-2.
Rao, P.S., J.V.N.S. Prasad, A.V. Umakanth, and B.V.S. Reddy. 2011. Sweet sorghum (Sorghum bicolor (L.) Moench): A new generation water use efficient bioenergy crop. Indian Journal of Dryland Agriculture 26: 65–71.
Rao, P.S., C.G. Kumar, M. Jayalakshmi, A. Kamal, and B.V.S. Reddy. 2012. Feasibility of sustaining sugars in sweet sorghum stalks during post-harvest stage by exploring cultivars and chemicals: A desk study. Sugar Tech 14: 21–25.
Sankhla, S., A. Chaturvedi, A. Kuna, and K. Dhanlakshmi. 2012. Preservation of sugarcane juice using hurdle technology. Sugar Tech 14: 26–39.
Shen, H.Y., S.D. Schrijver, N. Moonjai, K.J. Verstrepen, F. Delvaux, and F.R. Delvaux. 2004. Effects of CO2 on the formation of flavor volatiles during fermentation with immobilized brewer’s yeast. Applied Microbiology and Biotechnology 64: 636–643.
Singh, I., S. Solomon, A.K. Shrivastava, R.K. Singh, and J. Singh. 2006. Post-harvest quality deterioration of cane juice: physiobiochemical indicators. Sugar Tech 8: 128–131.
Siswoyoa, T.A., Ika Oktavianawatia, D.U. Murdiyantob, and B. Sugihartoa. 2007. Changes of sucrose content and invertase activity during sugarcane stem storage. Indonesian Journal of Agricultural Science 8: 75–81.
Wortmann, C.S., A.J. Liska, R.B. Ferguson, D.J. Lyon, R.N. Klein, and I. Dweikat. 2010. Dryland performance of sweet sorghum and grain crops for biofuel in Nebraska. Agronomy Journal 102: 319–326.
Wu, X., S. Staggenborg, J.L. Propheter, W.L. Rooney, J. Yu, and D. Wang. 2010. Features of sweet sorghum juice and their performance in ethanol fermentation. Industrial Crops and Products 31: 164–170.
Yu, J., T. Zhang, J. Zhong, X. Zhang, and T. Tan. 2012. Biorefinery of sweet sorghum stem. Biotechnology Advances 30: 811–816.
Zoecklien, B.W., K.C. Fugelsang, B.H. Gump, and F.S. Nury. 1995. Wine analysis and production. New York: Chapman and Hall.
Acknowledgments
The authors wish to express their sincere thanks for financial assistance from the National Agricultural Innovation Project (NAIP)—Indian Council of Agricultural Research (ICAR) under component 2.
Author information
Authors and Affiliations
Corresponding author
Additional information
Soma Gupta and Jayalakshmi Malapaka contributed equally to this study.
Rights and permissions
About this article
Cite this article
Kumar, C.G., Rao, P.S., Gupta, S. et al. Enhancing the Shelf Life of Sweet Sorghum [Sorghum bicolor (L.) Moench] Juice Through Pasteurization While Sustaining Fermentation Efficiency. Sugar Tech 15, 328–337 (2013). https://doi.org/10.1007/s12355-013-0221-1
Received:
Accepted:
Published:
Issue Date:
DOI: https://doi.org/10.1007/s12355-013-0221-1
Keywords
- Sweet sorghum juice
- Pasteurization
- Shelf life
- Ethanol
- Storage