Abstract
Background
Left ventricular mechanical dyssynchrony has been shown to provide significant clinical values for chronic heart failure (HF) and cardiac resynchronization therapy (CRT). The purpose of this study was to evaluate whether electrical dyssynchrony combined with mechanical dyssynchrony has an incremental benefit over electrical dyssynchrony or mechanical dyssynchrony alone to predict clinical events in patients with acute heart failure (AHF).
Methods
Ninety-six AHF patients who received standard 12-lead ECG, gated single-photon emission computed tomography (SPECT) myocardial perfusion imaging (MPI), and echocardiography were enrolled. Thirty-two normal subjects were collected as the control group to get the normal database of mechanical dyssynchrony. The end point is the composite of all-cause death and heart transplantation. Electrical dyssynchrony was defined as QRS duration > 120 ms. Mechanical dyssynchrony was defined as > mean + 2 × SD phase standard deviation (PSD) or phase bandwidth (PBW) based on our normal database.
Results
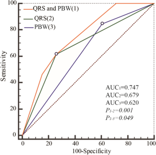
During the follow-up of 28 ± 10 months, complete data were obtained in 92 patients. 26 (28.3%) Patients who reached the end point were classified into the event group. There were no significant differences in PSD or PBW between the event and non-event groups. However, PBW > 77.76° was independently associated with the end point in the univariate and multivariate analysis (hazard ratio 2.92, 95% confidence interval 1.00-8.47, P = .049; hazard ratio 3.89, 95% confidence interval 1.01-14.97, P = .048). The Kaplan-Meier curve with a log-rank test showed that the end point rate was significantly higher in the patients with PBW > 77.76° (log-rank P = .039). Moreover, the ROC curve analysis showed that the area under the curve (AUC) for predicting end point events by the integrative analysis of QRS > 120 ms and PBW > 77.76° was significantly improved compared to QRS duration > 120 ms (AUC: 0.75 vs 0.68, P = .001) or PBW > 77.76° (AUC: 0.75 vs 0.62, P = .049), respectively. The model of combined electrical and mechanical dyssynchrony yielded a further significantly improved risk prediction for adverse events in the global χ2.
Conclusions
The combination of QRS duration > 120 ms and PBW > 77.76° was an independent predictor of all-cause death and heart transplantation in AHF patients. The integrative analysis of electrical and mechanical dyssynchrony provides incremental prognostic value for clinical use.
This is a preview of subscription content, access via your institution.





Abbreviations
- AHF:
-
Acute heart failure
- HF:
-
Heart failure
- LV:
-
Left ventricle
- LVEF:
-
Left ventricular ejection fraction
- LVMD:
-
Left ventricular mechanical dyssynchrony
- NYHA:
-
New York Heart Association
- PBW:
-
Phase bandwidth
- PSD:
-
Phase standard deviation
- SPECT:
-
Single-photon emission computed tomography
References
Ponikowski A, Voors AA, Anker SD, Bueno H, Cleland JGF, Coats AJS, et al. 2016 ESC guidelines for the diagnosis and treatment of acute and chronic heart failure. Rev Esp Cardiol 2016;69:1167.e1-e85. https://doi.org/10.1016/j.recesp.2016.10.014.
Bruch C, Gotzmann M, Stypmann J, Wenzelburger F, Rothenburger M, Grude M, et al. Electrocardiography and Doppler echocardiography for risk stratification in patients with chronic heart failure: Incremental prognostic value of QRS duration and a restrictive mitral filling pattern. J Am Coll Cardiol 2005;45:1072-5. https://doi.org/10.1016/j.jacc.2004.12.064.
Lund LH, Jurga J, Edner M, Benson L, Dahlström U, Linde C, et al. Prevalence, correlates, and prognostic significance of QRS prolongation in heart failure with reduced and preserved ejection fraction. Eur Heart J 2013;34:529-39. https://doi.org/10.1093/eurheartj/ehs305.
Cho GY, Song JK, Park WJ, Han SW, Choi SH, Doo YC, et al. Mechanical dyssynchrony assessed by tissue doppler imaging is a powerful predictor of mortality in congestive heart failure with normal QRS duration. J Am Coll Cardiol 2005;46:2237-43. https://doi.org/10.1016/j.jacc.2004.11.074.
Bader H, Garrigue S, Lafitte S, Reuter S, Jaïs P, Haïssaguerre M, et al. Intra-left ventricular electromechanical asynchrony: A new independent predictor of severe cardiac events in heart failure patients. J Am Coll Cardiol 2004;43:248-56. https://doi.org/10.1016/j.jacc.2003.08.038.
Lee APW, Zhang Q, Looi JL, Sun JP, Fang F, Liu YT, et al. Left ventricular systolic dyssynchrony in acute decompensated heart failure. Int J Cardiol 2013;168:4285-6. https://doi.org/10.1016/j.ijcard.2013.04.200.
Mullens W, Borowski AG, Curtin R, Grimm RA, Thomas JD, Tang WHW. Mechanical dyssynchrony in advanced decompensated heart failure: Relation to hemodynamic responses to intensive medical therapy. Heart Rhythm 2008;5:1105-10. https://doi.org/10.1016/j.hrthm.2008.04.004.
Tanaka H, Tanabe M, Simon MA, Starling RC, Markham D, Thohan V, et al. Left ventricular mechanical dyssynchrony in acute onset cardiomyopathy: Association of its resolution with improvements in ventricular function. JACC Cardiovasc Imaging 2011;4:445-56. https://doi.org/10.1016/j.jcmg.2011.02.012.
Sillanmäki S, Lipponen JA, Tarvainen MP, Laitinen TT, Hedman M, Hedman A, et al. Relationships between electrical and mechanical dyssynchrony in patients with left bundle branch block and healthy controls. J Nucl Cardiol 2018. https://doi.org/10.1007/s12350-018-1204-0.
Chen J, Garcia EV, Folks RD, Cooke CD, Faber TL, Tauxe EL, et al. Onset of left ventricular mechanical contraction as determined by phase analysis of ECG-gated myocardial perfusion SPECT imaging: Development of a diagnostic tool for assessment of cardiac mechanical dyssynchrony. J Nucl Cardiol 2005;12:687-95. https://doi.org/10.1016/j.nuclcard.2005.06.088.
Henneman MM, Chen J, Ypenburg C, Dibbets P, Bleeker GB, Boersma E, et al. Phase analysis of gated myocardial perfusion single-photon emission computed tomography compared with tissue Doppler imaging for the assessment of left ventricular dyssynchrony. J Am Coll Cardiol 2007;49:1708-14. https://doi.org/10.1016/j.jacc.2007.01.063.
Cheitlin MD, Armstrong WF, Aurigemma GP, Beller GA, Bierman FZ, Davis JL, et al. ACC/AHA/ASE 2003 guideline update for the clinical application of echocardiography: Summary article: A report of the American College of Cardiology/American Heart Association Task Force on Practice Guidelines (ACC/AHA/ASE Committee to Update the 1997 Guide. Circulation 2003;108:1146-62. https://doi.org/10.1161/01.CIR.0000073597.57414.A9.
Zhang X, Qian Z, Tang H, Hua W, Su Y, Xu G, et al. A new method to recommend left ventricular lead positions for improved CRT volumetric response and long-term prognosis. J Nucl Cardiol. 2019. https://doi.org/10.1007/s12350-019-01735-7.
Zhang Q, Yu CM. Clinical implication of mechanical dyssynchrony in heart failure. J Cardiovasc Ultrasound 2012;20:117-23. https://doi.org/10.4250/jcu.2012.20.3.117.
Zhou W, Garcia EV. Nuclear image-guided approaches for cardiac resynchronization therapy (CRT). Curr Cardiol Rep 2016;18:7. https://doi.org/10.1007/s11886-015-0687-4.
Henneman MM, Chen J, Dibbets-Schneider P, Stokkel MP, Bleeker GB, Ypenburg C, Van Der Wall EE, Schalij MJ, Garcia EV, Bax JJ. Can LV dyssynchrony as assessed with phase analysis on gated myocardial perfusion SPECT preferably predict response to CRT? J Nucl Med 2007;48:1104-11. https://doi.org/10.2967/jnumed.107.049700.
Bax JJ, Bleeker GB, Marwick TH, Molhoek SG, Boersma E, Steendijk P, et al. Left ventricular dyssynchrony predicts response and prognosis after cardiac resynchronization therapy. J Am Coll Cardiol 2004;44:1834-40. https://doi.org/10.1016/j.jacc.2004.08.016.
Zhou W, Hung G-U. Left-ventricular mechanical dyssynchrony in the prognosis of dilated cardiomyopathy: Which parameter is more useful? J Nucl Cardiol 2018;25:1688-91. https://doi.org/10.1007/s12350-017-0863-6.
Cho GY, Kim HK, Kim YJ, Choi DJ, Sohn DW, Oh BH, et al. Electrical and mechanical dyssynchrony for prediction of cardiac events in patients with systolic heart failure. Heart 2010;96:1029-32. https://doi.org/10.1136/heartjnl-2017-311813.
Hess PL, Shaw LK, Fudim M, Iskandrian AE, Borges-Neto S. The prognostic value of mechanical left ventricular dyssynchrony defined by phase analysis from gated single-photon emission computed tomography myocardial perfusion imaging among patients with coronary heart disease. J Nucl Cardiol 2017;24:482-90. https://doi.org/10.1007/s12350-015-0388-9.
Yu CM, Lin H, Zhang Q, Sanderson JE. High prevalence of left ventricular systolic and diastolic asynchrony in patients with congestive heart failure and normal QRS duration. Heart 2003;89:54-60. https://doi.org/10.1136/heart.89.1.54.
van’t Sant J, ter Horst IAH, Wijers SC, Mast TP, Leenders GE, Doevendans PA, et al. Measurements of electrical and mechanical dyssynchrony are both essential to improve prediction of CRT response. J Electrocardiol 2015;48:601-8. https://doi.org/10.1016/J.JELECTROCARD.2015.01.015.
Cheng C-M, Su C-S, Chou P, Liao Y-C, Wang C-Y, Zhang J-R, et al. Prediction of both electrical and mechanical reverse remodeling on acute electrocardiogram changes after cardiac resynchronization therapy. Circ J 2017;81:1322-8. https://doi.org/10.1253/circj.cj-16-1181.
Peichl P, Kautzner J, Čihák R, Bytešník J. The spectrum of inter- and intraventricular conduction abnormalities in patients eligible for cardiac resynchronization therapy. Pacing Clin Electrophysiol 2004;27:1105-12. https://doi.org/10.1111/j.1540-8159.2004.00592.x.
Lin X, Xu H, Zhao X, Chen J. Sites of latest mechanical activation as assessed by SPECT myocardial perfusion imaging in ischemic and dilated cardiomyopathy patients with LBBB. Eur J Nucl Med Mol Imaging 2014;41:1232-9. https://doi.org/10.1007/s00259-014-2718-6.
Acknowledgments
This study was funded by Grants from the Six Talents Peak Project of Jiangsu Province (Project Number 2014-WSN-008, PI: Yanli Zhou). It was also supported by a Grant from the American Heart Association (Project Number 17AIREA33700016, PI: Weihua Zhou) and a New Faculty Grant from Michigan Technological University Institute of Computing and Cybersystems (PI: Weihua Zhou).
Disclosures
None of the authors have any relevant conflicts of interest.
Author information
Authors and Affiliations
Corresponding author
Additional information
Publisher's Note
Springer Nature remains neutral with regard to jurisdictional claims in published maps and institutional affiliations.
The authors have also provided an audio summary of the article, which is available to download as ESM, or to listen to via the JNC/ASNC Podcast.
Electronic supplementary material
Below is the link to the electronic supplementary material.
Rights and permissions
About this article
Cite this article
Zhou, Y., He, Z., Liao, S. et al. Prognostic value of integrative analysis of electrical and mechanical dyssynchrony in patients with acute heart failure. J. Nucl. Cardiol. 28, 140–149 (2021). https://doi.org/10.1007/s12350-020-02429-1
Received:
Accepted:
Published:
Issue Date:
DOI: https://doi.org/10.1007/s12350-020-02429-1
Keywords
- Acute heart failure
- electrical dyssynchrony
- mechanical dyssynchrony
- myocardial perfusion imaging