Skip to main content

Sensitivity of Spatiotemporal Gait Parameters in Measuring Disease Severity in Friedreich Ataxia

Abstract

Friedreich ataxia (FRDA) is an autosomal recessive disease with gait ataxia being the main source of morbidity. Mobility progressively declines, from initial symptom onset at approximately 10–15 years of age to being unable to ambulate 10–15 years later. Here, we sought to investigate the relationship between spatiotemporal gait parameters and clinical markers of disease severity. Thirteen people with FRDA walked along an 8.3-m GAITRite® mat six times each at their preferred fast and slow speeds. Relationships between spatiotemporal gait parameters and a range of clinical and disease characteristics were examined. Significant correlations were found between spatiotemporal gait characteristics at each of the walking speeds and Friedreich Ataxia Rating Scale (FARS) score and disease duration. During the fast-walking condition, gait speed and cadence decreased with an increase in disease duration and the FARS score. GAA1 repeat expansion negatively correlated with double-support percentage of the gait cycle in all speed conditions demonstrating a relationship between the genetic mutation and compensatory strategies for impaired dynamic balance. In all speed conditions, there were correlations between a range of spatiotemporal gait characteristics and the timed 25-ft walk test, a well-established measure of gait mobility. These findings suggest that spatiotemporal gait parameters are a sensitive measure of gait decline in individuals with FRDA and should be considered for inclusion in intervention studies whilst participants are still ambulant.

This is a preview of subscription content, access via your institution.

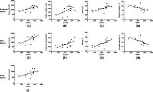
Fig. 1
Fig. 2
Fig. 3

References

  1. Cossée M, Schmitt M, Campuzano V, Reutenauer L, Moutou C, Mandel JL, et al. Evolution of the Friedreich’s ataxia trinucleotide repeat expansion: founder effect and premutations. Proc Natl Acad Sci U S A. 1997;94:7452–7.

    PubMed Central  PubMed  Article  Google Scholar 

  2. Campuzano V, Montermini L, Moltò MD, Pianese L, Cossée M, Cavalcanti F, et al. Friedreich’s ataxia: autosomal recessive disease caused by an intronic GAA triplet repeat expansion. Science. 1996;271:1423–7.

    CAS  PubMed  Article  Google Scholar 

  3. Delatycki MB, Williamson R, Forrest SM. Friedreich ataxia: an overview. J Med Genet. 2000;37:1–8.

    CAS  PubMed Central  PubMed  Article  Google Scholar 

  4. Bidichandani SI, Delatycki MB. Friedreich ataxia. In GeneReviews. University of Washington. 1993. http://www.ncbi.nlm.nih.gov/books/NBK1281. Accessed 10 Sept 2013.

  5. Pandolfo M. Friedreich ataxia: the clinical picture. J Neurol. 2009;256 Suppl 1:3–8.

    PubMed  Article  Google Scholar 

  6. Delatycki MB, Corben LA. Clinical features of Friedreich ataxia. J Child Neurol. 2012;27:1133–7.

    PubMed Central  PubMed  Article  Google Scholar 

  7. Saute JA, Donis KC, Serrano-Munuera C, Genis D, Ramirez LT, Mazzetti P, et al. Ataxia rating scales–psychometric profiles, natural history and their application in clinical trials. Cerebellum. 2012;11:488–504.

    PubMed  Article  Google Scholar 

  8. White VB, Leib JR, Farmer JM, Biesecker BB. Exploration of transitional life events in individuals with Friedreich ataxia: implications for genetic counseling. Behav Brain Funct. 2010;6:65.

    PubMed Central  PubMed  Article  Google Scholar 

  9. Delatycki MB. Evaluating the progression of Friedreich ataxia and its treatment. J Neurol. 2009;256 Suppl 1:36–41.

    PubMed  Article  Google Scholar 

  10. Fahey MC, Corben LA, Collins V, Churchyard AJ, Delatycki MB. The 25-foot walk velocity accurately measures real world ambulation in Friedreich ataxia. Neurology. 2007;68:705–6.

    CAS  PubMed  Article  Google Scholar 

  11. Givon U, Zeilig G, Achiron A. Gait analysis in multiple sclerosis: characterization of temporal-spatial parameters using GAITRite functional ambulation system. Gait Posture. 2009;29:138–42.

    PubMed  Article  Google Scholar 

  12. Friedman LS, Farmer JM, Perlman S, Wilmot G, Gomez CM, Bushara KO, et al. Measuring the rate of progression in Friedreich ataxia: implications for clinical trial design. Mov Disord. 2010;25:426–32.

    PubMed Central  PubMed  Article  Google Scholar 

  13. Ebersbach G, Sojer M, Valldeoriola F, Wissel J, Müller J, Tolosa E, et al. Comparative analysis of gait in Parkinson’s disease, cerebellar ataxia and subcortical arteriosclerotic encephalopathy. Brain. 1999;122:1349–55.

    PubMed  Article  Google Scholar 

  14. Subramony SH, May W, Lynch D, Gomez C, Fischbeck K, Hallett M, et al. Measuring Friedreich ataxia: interrater reliability of a neurologic rating scale. Neurology. 2005;64:1261–2.

    CAS  PubMed  Article  Google Scholar 

  15. Marelli C, Figoni J, Charles P, Anheim M, Tchikviladze M, Vincitorio CM, et al. Annual change in Friedreich’s ataxia evaluated by the Scale for the Assessment and Rating of Ataxia (SARA) is independent of disease severity. Mov Disord. 2012;27:135–8.

    PubMed  Article  Google Scholar 

  16. Bürk K, Schulz SR, Schulz JB. Monitoring progression in Friedreich ataxia (FRDA): the use of clinical scales. J Neurochem. 2013;126 Suppl 1:118–24.

    PubMed  Article  Google Scholar 

  17. Peppe A, Chiavalon C, Pasqualetti P, Crovato D, Caltagirone C. Does gait analysis quantify motor rehabilitation efficacy in Parkinson’s disease patients? Gait Posture. 2007;26:452–62.

    CAS  PubMed  Article  Google Scholar 

  18. Rao AK, Quinn L, Marder KS. Reliability of spatiotemporal gait outcome measures in Huntington’s disease. Mov Disord. 2005;20:1033–7.

    PubMed  Article  Google Scholar 

  19. Serrao M, Pierelli F, Ranavolo A, Draicchio F, Conte C, Don R, et al. Gait pattern in inherited cerebellar ataxias. Cerebellum. 2012;11:194–211.

    PubMed  Article  Google Scholar 

  20. Gouelle A, Mégrot F, Presedo A, Husson I, Yelnik A, Penneçot GF. The Gait Variability Index: a new way to quantify fluctuation magnitude of spatiotemporal parameters during gait. Gait Posture. 2013;38:461–5.

    PubMed  Article  Google Scholar 

  21. Croarkin E, Maring J, Pfalzer L, Harris-Love M, Siegel K, DiProspero N. Characterizing gait, locomotor status, and disease severity in children and adolescents with Friedreich ataxia. J Neurol Phys Ther. 2009;33:144–9.

    PubMed  Article  Google Scholar 

  22. Schniepp R, Wuehr M, Schlick C, Huth S, Pradhan C, Dieterich M, et al. Increased gait variability is associated with the history of falls in patients with cerebellar ataxia. J Neurol. 2014;261:213–23.

    PubMed  Article  Google Scholar 

  23. Ilg W, Synofzik M, Brotz D, Burkard S, Giese MA, Schols L. Intensive coordinative training improves motor performance in degenerative cerebellar disease. Neurology. 2009;73:1823–30.

    CAS  PubMed  Article  Google Scholar 

  24. Fahey MC, Corben L, Collins V, Churchyard AJ, Delatycki MB. How is disease progress in Friedreich’s ataxia best measured? A study of four rating scales. J Neurol Neurosurg Psychiatry. 2007;78:411–3.

    CAS  PubMed Central  PubMed  Article  Google Scholar 

  25. Kieseier BC, Pozzilli C. Assessing walking disability in multiple sclerosis. Mult Scler. 2012;18:914–24.

    PubMed  Article  Google Scholar 

  26. Webster KE, Wittwer JE, Feller JA. Validity of the GAITRite® walkway system for the measurement of averaged and individual step parameters of gait. Gait Posture. 2005;22:317–21.

    PubMed  Article  Google Scholar 

  27. Menz HB, Latt MD, Tiedemann A, Mun San Kwan M, Lord SR. Reliability of the GAITRite walkway system for the quantification of temporo-spatial parameters of gait in young and older people. Gait Posture. 2004;20:20–5.

    PubMed  Article  Google Scholar 

  28. Urbaniak GC, Plous S. Research randomizer 4.0 ed. 2013. http://www.randomizer.org. Accessed 01 Jun 2013.

  29. Hollman JH, McDade EM, Petersen RC. Normative spatiotemporal gait parameters in older adults. Gait Posture. 2011;34:111–8.

    PubMed Central  PubMed  Article  Google Scholar 

  30. Ilg W, Timmann D. Gait ataxia-specific cerebellar influences and their rehabilitation. Mov Disord. 2013;28:1566–75.

    PubMed  Article  Google Scholar 

  31. Bunn LM, Marsden JF, Giunti P, Day BL. Stance instability in spinocerebellar ataxia type 6. Mov Disord. 2013;28:510–6.

    PubMed  Article  Google Scholar 

  32. Patla AE. Strategies for dynamic stability during adaptive human locomotion. IEEE Eng Med Biol Mag. 2003;22:48–52.

    PubMed  Article  Google Scholar 

  33. Thach WT, Bastian AJ. Role of the cerebellum in the control and adaptation of gait in health and disease. Prog Brain Res. 2004;143:353–66.

    PubMed  Article  Google Scholar 

  34. Lythgo N, Wilson C, Galea M. Basic gait and symmetry measures for primary school-aged children and young adults whilst walking barefoot and with shoes. Gait Posture. 2009;30:502–6.

    PubMed  Article  Google Scholar 

  35. Vasudevan EVL, Torres-Oviedo G, Morton SM, Yang JF, Bastian AJ. Younger is not always better: development of locomotor adaptation from childhood to adulthood. J Neurosci. 2011;31:3055–65.

    CAS  PubMed Central  PubMed  Article  Google Scholar 

  36. Akhlaghi H, Corben L, Georgiou-Karistianis N, Bradshaw J, Storey E, Delatycki MB, et al. Superior cerebellar peduncle atrophy in Friedreich’s ataxia correlates with disease symptoms. Cerebellum. 2011;10:81–7.

    PubMed  Article  Google Scholar 

  37. Rizzo G, Tonon C, Valentino ML, Manners D, Fortuna F, Gellera C, et al. Brain diffusion-weighted imaging in Friedreich’s ataxia. Mov Disord. 2011;26:705–12.

    PubMed  Article  Google Scholar 

  38. La Pean A, Jeffries N, Grow C, Ravina B, di Prospero NA. Predictors of progression in patients with Friedreich ataxia. Mov Disord. 2008;23:2026–32.

    PubMed Central  PubMed  Google Scholar 

  39. Morton SM, Bastian AJ. Relative contributions of balance and voluntary leg-coordination deficits to cerebellar gait ataxia. J Neurophysiol. 2003;89:1844–56.

    PubMed  Article  Google Scholar 

  40. Schniepp R, Wuehr M, Neuhaeusser M, Kamenova M, Dimitriadis K, Klopstock T, et al. Locomotion speed determines gait variability in cerebellar ataxia and vestibular failure. Mov Disord. 2012;27:125–31.

    PubMed  Article  Google Scholar 

  41. Callisaya ML, Blizzard L, Schmidt MD, McGinley JL, Srikanth VK. Ageing and gait variability-a population-based study of older people. Age Ageing. 2010;39:191–7.

    PubMed  Article  Google Scholar 

  42. Rochester L, Galna B, Lord S, Mhiripiri D, Eglon G, Chinnery PF. Gait impairment precedes clinical symptoms in spinocerebellar ataxia type 6. Mov Disord. 2014;29:252–5.

    PubMed  Article  Google Scholar 

  43. Ilg W, Golla H, Thier P, Giese MA. Specific influences of cerebellar dysfunctions on gait. Brain. 2007;130:786–98.

    PubMed  Article  Google Scholar 

  44. Swaine BR, Sullivan SJ. Reliability of the scores for the finger-to-nose test in adults with traumatic brain injury. Phys Ther. 1993;73:71–8.

    CAS  PubMed  Google Scholar 

  45. Chen IH, Novak V, Manor B. Infarct hemisphere and noninfarcted brain volumes affect locomotor performance following stroke. Neurology. 2014;82:828–34.

    PubMed  Article  Google Scholar 

  46. Pandolfo M. Friedreich ataxia. Semin Pediatr Neurol. 2003;10:163–72.

    PubMed  Article  Google Scholar 

  47. Alper G, Narayanan V. Friedreich’s ataxia. Pediatr Neurol. 2003;28:335–41.

    PubMed  Article  Google Scholar 

  48. Sival DA, Pouwels ME, Van Brederode A, Maurits NM, Verschuuren-Bemelmans CC, Brunt ER, et al. In children with Friedreich ataxia, muscle and ataxia parameters are associated. Dev Med Child Neurol. 2011;53:529–34.

    PubMed  Article  Google Scholar 

  49. Horak FB. Postural ataxia related to somatosensory loss. Adv Neurol. 2001;87:173–82.

    CAS  PubMed  Google Scholar 

  50. McCrea DA. Spinal circuitry of sensorimotor control of locomotion. J Physiol. 2001;533:41–50.

    CAS  PubMed Central  PubMed  Article  Google Scholar 

  51. Lacquaniti F, Ivanenko YP, Zago M. Patterned control of human locomotion. J Physiol. 2012;590:2189–99.

    CAS  PubMed Central  PubMed  Article  Google Scholar 

  52. Nardone A, Corna S, Turcato AM, Schieppati M. Afferent control of walking: are there distinct deficits associated to loss of fibres of different diameter? Clin Neurophysiol. 2014;125:327–35.

    PubMed  Article  Google Scholar 

  53. Stecina K, Fedirchuk B, Hultborn H. Information to cerebellum on spinal motor networks mediated by the dorsal spinocerebellar tract. J Physiol. 2013;591:5433–43.

    CAS  PubMed Central  PubMed  Google Scholar 

  54. Koeppen AH, Mazurkiewicz JE. Friedreich ataxia: neuropathology revised. J Neuropathol Exp Neurol. 2013;72:78–90.

    CAS  PubMed  Article  Google Scholar 

  55. Morral JA, Davis AN, Qian J, Gelman BB, Koeppen AH. Pathology and pathogenesis of sensory neuropathy in Friedreich’s ataxia. Acta Neuropathol (Berl). 2010;120:97–108.

    Article  Google Scholar 

  56. He B, Lu Q, Wang Z. Coupling effect analysis between the central nervous system and the CPG network with proprioception. Robotica 2014 [In Press].

  57. Borchers S, Synofzik M, Kiely E, Himmelbach M. Routine clinical testing underestimates proprioceptive deficits in Friedreich’s ataxia. Cerebellum. 2013;12:916–22.

    PubMed  Article  Google Scholar 

  58. Galna B, Lord S, Rochester L. Is gait variability reliable in older adults and Parkinson’s disease? Towards an optimal testing protocol. Gait Posture. 2013;37:580–5.

    PubMed  Article  Google Scholar 

  59. Paterson K, Hill K, Lythgo N. Stride dynamics, gait variability and prospective falls risk in active community dwelling older women. Gait Posture. 2011;33:251–5.

    PubMed  Article  Google Scholar 

Download references

Acknowledgments

The authors would like to thank all the participants who gave their time for this project. We would also like to thank the Friedreich Ataxia Research Association (Australasia), the Friedreich Ataxia Research Alliance (USA) and Murdoch Childrens Research Institute for their ongoing financial support. The authors would also like to thank the Kingston Centre Physiotherapy Department for its support. LAC is an Early Career Fellow; MBD is a Practitioner Fellow of the National Health and Medical Research Council. DRH was supported by a Monash Research Fellowship.

Conflict of Interest

Ms Sarah Milne reports no disclosures or conflict of interest related to this manuscript.

Dr. Darren Hocking reports no disclosures or conflict of interest related to this manuscript.

Professor Nellie Georgiou-Karistianis reports no disclosures or conflict of interest related to this manuscript.

Dr. Anna Murphy reports no disclosures or conflict of interest related to this manuscript.

Professor Martin Delatycki receives research support from National Health and Medical Research Council, Friedreich Ataxia Research Alliance and Friedreich Ataxia Research Association and is a consultant for Healthscope Pathology.

Dr. Louise Corben reports no disclosures or conflict of interest related to this manuscript.

Author information

Affiliations

Authors

Corresponding author

Correspondence to Louise A. Corben.

Additional information

Sarah C. Milne and Darren R. Hocking are joint first authors

Electronic supplementary material

Below is the link to the electronic supplementary material.

Table S1

(DOCX 12 kb)

Table S2

(DOCX 12 kb)

Table S3

(DOCX 12 kb)

Rights and permissions

Reprints and Permissions

About this article

Verify currency and authenticity via CrossMark

Cite this article

Milne, S.C., Hocking, D.R., Georgiou-Karistianis, N. et al. Sensitivity of Spatiotemporal Gait Parameters in Measuring Disease Severity in Friedreich Ataxia. Cerebellum 13, 677–688 (2014). https://doi.org/10.1007/s12311-014-0583-2

Download citation

  • Published:

  • Issue Date:

  • DOI: https://doi.org/10.1007/s12311-014-0583-2

Keywords

  • Friedreich ataxia
  • Gait analysis
  • Cerebellum
  • Spatiotemporal
  • Neurodegenerative diseases
  • Outcome measure