Skip to main content

A Comprehensive Review of Spinocerebellar Ataxia Type 2 in Cuba

Abstract

Spinocerebellar ataxia type 2 (SCA2) is an autosomal dominant cerebellar ataxia characterized by a progressive cerebellar syndrome associated to saccadic slowing, peripheral neuropathy, cognitive disorders, and other multisystem features. SCA2 is caused by the abnormal expansion of cytosine–adenine–guanine triplet repeats in the encoding region of the ATXN2 gene and therefore the expression of toxic polyglutamine expansions in the ataxin 2 protein, which cause progressive neuronal death of Purkinje cells in the cerebellum and several pontine, mesencephalic, and thalamic neurons among other cells. Worldwide, SCA2 is the second most frequent type of spinocerebellar ataxia, only surpassed by SCA3. Nevertheless, in Holguin, Cuba, the disease reaches the highest prevalence, resulting from a putative foundational effect. This review discusses the most important advances in the genotypical and phenotypical studies of SCA2, highlighting the comprehensive characterization reached in Cuba through clinical, neuroepidemiological, neurochemical, and neurophysiological evaluation of SCA2 patients and pre-symptomatic subjects, which has allowed the identification of new disease biomarkers and therapeutical opportunities. These findings provide guidelines, from a Cuban viewpoint, for the clinical management of the disease, its diagnosis, genetic counseling, and therapeutical options through rehabilitative therapy and/or pharmacological options.

This is a preview of subscription content, access via your institution.

Fig. 1
Fig. 2
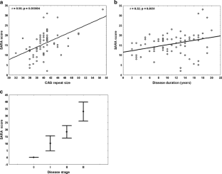
Fig. 3
Fig. 4
Fig. 5
Fig. 6
Fig. 7

References

  1. Durr A. Autosomal dominant cerebellar ataxias: polyglutamine expansions and beyond. Lancet Neurol. 2010;9:885–94.

    PubMed  CAS  Article  Google Scholar 

  2. Matilla A, Goold R, Giunti P. Molecular pathogenesis of spinocerebellar ataxias. Brain. 2006;129:1357–70.

    Article  Google Scholar 

  3. Paulson HL. The spinocerebellar ataxias. J Neuroophthalmol. 2009;29(3):227–37.

    PubMed  Google Scholar 

  4. Schöls L, Bauer P, Schmidt T, Schulte T, Riess O. Autosomal dominant cerebellar ataxias: clinical features, genetics, and pathogenesis. Lancet. 2004;3:291–304.

    Article  Google Scholar 

  5. Wadia NH, Swami RK. A new form of heredo-familial spinocerebellar degeneration with slow eye movements (nine families). Brain. 1971;94:359–74.

    PubMed  CAS  Article  Google Scholar 

  6. Imbert G, Saudou F, Yvert G, Devys D, Trottier Y, Garnier JM, et al. Cloning of the gene for spinocerebellar ataxia 2 reveals a locus with high sensitivity to expanded CAG/glutamine repeats. Nat Genet. 1996;14:285–91.

    PubMed  CAS  Article  Google Scholar 

  7. Pulst MS, Nechiporuk A, Nechiporuk T, Gispert S, Chen XN, Lopes-Cendes I, et al. Moderate expansion of a normally biallelic trinucleotide repeat in spinocerebellar ataxia type 2. Nat Genet. 1996;14:269–76.

    PubMed  CAS  Article  Google Scholar 

  8. Sanpei K, Takano H, Igarashi S, Sato T, Oyake M, Sasaki H, et al. Identification of the spinocerebellar ataxia type 2 gene using a direct identification of repeat expansion and cloning technique, DIRECT. Nat Genet. 1996;14:277–84.

    PubMed  CAS  Article  Google Scholar 

  9. Velázquez Pérez L, Cruz GS, Santos Falcón N, Almaguer Mederos L, Escalona Batallan K, Rodriguez Labrada R, et al. Molecular epidemiology of spinocerebellar ataxias in Cuba: insights into SCA2 founder effect in Holguin. Neurosci Lett. 2009;454(2):157–60.

    PubMed  Article  CAS  Google Scholar 

  10. Vallés L, Estrada GL, Bastecherrea SL. Algunas formas de heredoataxia en una región de Cuba. Rev Neurol (Cubana). 1978;27:163–76.

    Google Scholar 

  11. Velázquez-Pérez L, Santos FN, García R, Paneque HM, Hechavarría PR. Epidemiología de la Ataxia Cubana. Rev Neurol. 2001;32(7):606–11.

    PubMed  Google Scholar 

  12. Orozco DG, Estrada R, Perry T, Araña J, Fernández R. Dominantly inherited olivopontocerebellar atrophy from eastern Cuba. Clinical, neuropathological and biochemical findings. J Neurol Sci. 1989;93:37–50.

    PubMed  CAS  Article  Google Scholar 

  13. Gispert S, Twells R, Orozco G, Brice A, Weber J, Heredero L, et al. Chromosomal assignment of the second locus for autosomal dominant cerebellar ataxia (SCA2) to chromosome 12q23-24.1. Nat Genet. 1993;4:295–9.

    PubMed  CAS  Article  Google Scholar 

  14. Hernandez A, Magarino C, Gispert S, Santos N, Lunkes A, Orozco G, et al. Genetic mapping of the spinocerebellar ataxia 2 (SCA2) locus on chromosome 12q23-q24.1. Genomics. 1995;25:433–5.

    PubMed  CAS  Article  Google Scholar 

  15. Aguiar J, Fernández J, Aguilar A, Mendoza Y, Vázquez M, Suárez J, et al. Ubiquitous expression of human SCA2 gene under the regulation of the SCA2 self promoter cause specific Purkinje cell degeneration in transgenic mice. Neurosci Lett. 2006;392:202–6.

    PubMed  CAS  Article  Google Scholar 

  16. Paneque HM, Prieto AL, Reynaldo RR, Cruz MT, Santos FN, Almaguer ML, et al. Psychological aspects of presymptomatic diagnosis of spinocerebellar ataxia type 2 in Cuba. Community Genet. 2007;10:132–9.

    PubMed  CAS  Article  Google Scholar 

  17. Paneque M, Lemos C, Escalona K, Prieto L, Reynaldo R, Velazquez M, et al. Psychological follow-up of presymptomatic genetic testing for spinocerebellar ataxia type 2 (SCA2) in Cuba. J Genet Couns. 2007;16:469–79.

    PubMed  Article  Google Scholar 

  18. Paneque M, Lemos C, Sousa A, Velazquez L, Fleming M, Sequeiros J. Role of the disease in the psychological impact of pre-symptomatic testing for SCA2 and FAP ATTRV30M: experience with the disease, kinship and gender of the transmitting parent. J Genet Couns. 2009;18:483–93.

    PubMed  Article  Google Scholar 

  19. Sequeiros J, Coutinho P. Epidemiology and clinical aspects of Machado–Joseph disease. Adv Neurol. 1993;61:139–53.

    PubMed  CAS  Google Scholar 

  20. Vale J, Bugalho P, Silveira I, Sequeiros J, Guimaraes J, Coutinho P. Autosomal dominant cerebellar ataxia: frequency analysis and clinical characterization of 45 families from Portugal. Eur J Neurol. 2010;17:124–8.

    PubMed  CAS  Article  Google Scholar 

  21. Klockgether T. Ataxias. In: Goetz CG, editor. Textbook of clinical neurology, vol 1. Toronto: Saunder; 2007. p. 741–57.

    Google Scholar 

  22. Alonso E, Martinez-Ruano L, De Biase I, Mader C, Ochoa A, Yescas P, et al. Distinct distribution of autosomal dominant spinocerebellar ataxia in the Mexican population. Mov Disord. 2007;22:1050–3.

    PubMed  Article  Google Scholar 

  23. Sułek-Piatkowska A, Zdzienicka E, Raczyńska-Rakowicz M, Krysa W, Rajkiewicz M, Szirkowiec, et al. The occurrence of spinocerebellar ataxias caused by dynamic mutations in Polish patients. J Neurol Neurochir Pol. 2010;44(3):238–45.

    Google Scholar 

  24. Takano H, Cancel G, Ikeuchi T, Lorenzetti D, Mawad R, Stevanin G, et al. Close associations between prevalences of dominantly inherited spinocerebellar ataxias with CAG-repeat expansions and frequencies of large normal CAG alleles in Japanese and Caucasian populations. Am J Hum Genet. 1998;63:1060–6.

    PubMed  CAS  Article  Google Scholar 

  25. Parduey M. The pathogenesis of Machado Joseph disease: a high manganese/low magnesium initiated CAG expansion mutation in susceptible genotypes? J Am Coll Nutr. 2004;23:715S–29.

    Google Scholar 

  26. Berciano J. Olivopontocerebellar atrophy. In: Gilman S, editor. Neurobiology of the disease. California: Elsevier; 2007. p. 95–104.

    Chapter  Google Scholar 

  27. Schols L, Haan J, Riess O, Amoiridis G, Przuntek H. Sleep disturbance in spinocerebellar ataxias: is the SCA 3 mutation a cause of restless legs syndrome? Neurology. 1998;51:1603–7.

    PubMed  CAS  Google Scholar 

  28. Irazno A, Comella CL, Santamaria J, Oertel W. Restless legs syndrome in Parkinson’s disease and other neurodegenerative diseases of the central nervous system. Mov Disord. 2007;22:S424–30.

    Article  Google Scholar 

  29. Abele M, Burk K, Laccone F, Dichgans J, Klockgether T. Restless legs syndrome in spinocerebellar ataxia types 1, 2, and 3. J Neurol. 2001;248(4):311–4.

    PubMed  CAS  Article  Google Scholar 

  30. Burk K, Globas C, Bosch S, Klockgether T, Zuhlke C, Daum I, et al. Cognitive deficits in spinocerebellar ataxia type 1, 2, and 3. J Neurol. 2003;250:207–11.

    PubMed  CAS  Article  Google Scholar 

  31. Reynaldo-Arminan RD, Reynaldo-Hernandez R, Paneque-Herrera M, Prieto-Avila L, Perez-Ruiz E. Mental disorders in patients with spinocerebellar ataxia type 2 in Cuba. Rev Neurol. 2002;35:818–21.

    PubMed  CAS  Google Scholar 

  32. Storey E, Forrest SM, Shaw JH, Mitchell P, Gardner RJ. Spinocerebellar ataxia type 2: clinical features of a pedigree displaying prominent frontal-executive dysfunction. Arch Neurol. 1999;56:43–50.

    PubMed  CAS  Article  Google Scholar 

  33. Le Pira F, Zappala G, Saponara R, Domina E, Restivo D, Reggio E, et al. Cognitive findings in spinocerebellar ataxia type 2: relationship to genetic and clinical variables. J Neurol Sci. 2002;201:53–7.

    PubMed  Article  Google Scholar 

  34. Babovic-Vuksanovic D, Snow K, Patterson MC, Michels VV. Spinocerebellar ataxia type 2 (SCA 2) in an infant with extreme CAG repeat expansion. Am J Med Genet. 1998;79:383–7.

    PubMed  CAS  Article  Google Scholar 

  35. Rufa A, Dotti MT, Galli L, Orrico A, Sicurelli F, Federico A. Spinocerebellar ataxia type 2 (SCA2) associated with retinal pigmentary degeneration. Eur Neurol. 2002;47:128–9.

    PubMed  Article  Google Scholar 

  36. Tan NC, Zhou Y, Tan AS, Chong SS, Lee WL. Spinocerebellar ataxia type 2 with focal epilepsy—an unusual association. Ann Acad Med Singapore. 2004;33:103–6.

    PubMed  CAS  Google Scholar 

  37. Lu CS, Wu Chou YH, Kuo PC, Chang HC, Weng YH. The parkinsonian phenotype of spinocerebellar ataxia type 2. Arch Neurol. 2004;61:35–8.

    PubMed  Article  Google Scholar 

  38. Charles P, Camuzat A, Benammar N, Sellal F, Destée A, Bonnet AM. Are interrupted SCA2 CAG repeat expansions responsible for parkinsonism? Neurology. 2007;69:1970–5.

    PubMed  CAS  Article  Google Scholar 

  39. Klockgether T, Ludtke R, Kramer B, Abele M, Burk K, Schols L, et al. The natural history of degenerative ataxia: a retrospective study in 466 patients. Brain. 1998;121(Pt 4):589–600.

    PubMed  Article  Google Scholar 

  40. Schmitz-Hubsch T, du Montcel ST, Baliko L, Berciano J, Boesch S, Depondt C, et al. Scale for the assessment and rating of ataxia: development of a new clinical scale. Neurology. 2006;66:1717–20.

    PubMed  CAS  Article  Google Scholar 

  41. Schmitz-Hubsch T, Coudert M, Bauer P, Giunti P, Globas C, Baliko L, et al. Spinocerebellar ataxia types 1, 2, 3, and 6: disease severity and nonataxia symptoms. Neurology. 2008;271(13):982–9.

    Article  Google Scholar 

  42. Giunti P, Sabbadini G, Sweeney MG, Davis MB, Veneziano L, Mantuano E, et al. The role of the SCA2 trinucleotide repeat expansion in 89 autosomal dominant cerebellar ataxia families. Frequency, clinical and genetic correlates. Brain. 1998;121(Pt 3):459–67.

    PubMed  Article  Google Scholar 

  43. Ying SH, Choi SI, Perlman SL, Baloh RW, Zee DS, Toga AW. Pontine and cerebellar atrophy correlate with clinical disability in SCA2. Neurology. 2006;66(3):424–6.

    PubMed  CAS  Article  Google Scholar 

  44. Estrada R, Galarraga J, Orozco G, Nodarse A, Auburger G. Spinocerebellar ataxia 2 (SCA2): morphometric analyses in 11 autopsies. Acta Neuropathol. 1999;97:306–10.

    PubMed  CAS  Article  Google Scholar 

  45. Cancel G, Durr A, Didierjean O, Imbert G, Burk K, Lezin A, et al. Molecular and clinical correlations in spinocerebellar ataxia 2: a study of 32 families. Hum Mol Genet. 1997;6:709–15.

    PubMed  CAS  Article  Google Scholar 

  46. Geschwind DH, Perlman S, Figueroa CP, Treiman LJ, Pulst SM. The prevalence and wide clinical spectrum of the spinocerebellar ataxia type 2 trinucleotide repeat in patients with autosomal dominant cerebellar ataxia. Am J Hum Genet. 1997;60:842–50.

    PubMed  CAS  Google Scholar 

  47. Almaguer-Mederos LE, Falcon NS, Almira YR, Zaldivar YG, Almarales DC, Gongora EM, et al. Estimation of the age at onset in spinocerebellar ataxia type 2 Cuban patients by survival analysis. Clin Genet. 2010;78:169–74.

    PubMed  CAS  Article  Google Scholar 

  48. Shibata H, Huynh DP, Pulst SM. A novel protein with RNA-binding motifs interacts with ataxin-2. Hum Mol Genet. 2000;9:1303–13.

    PubMed  CAS  Article  Google Scholar 

  49. Satterfield TF, Pallanck LJ. Ataxin-2 and its Drosophila homolog, ATX2, physically assemble with polyribosomes. Hum Mol Genet. 2006;15:2523–32.

    PubMed  CAS  Article  Google Scholar 

  50. Nonhoff U, Ralser M, Welzel F, Piccini I, Balzereit D, et al. Ataxin-2 interacts with the DEAD/H-box RNA helicase DDX6 and interferes with P-bodies and stress granules. Mol Biol Cell. 2007;18:1385–96.

    PubMed  CAS  Article  Google Scholar 

  51. Satterfield TF, Jackson SM, Pallanck LJ. A Drosophila homolog of the polyglutamine disease gene SCA2 is a dosage-sensitive regulator of actin filament formation. Genetics. 2002;162:1687–702.

    PubMed  CAS  Google Scholar 

  52. Ralser M, Nonhoff U, Albrecht M, Lengauer T, Wanker EE, et al. Ataxin-2 and Huntington interact with endophilin-A complexes to function in plastin-associated pathways. Hum Mol Genet. 2005;14:2893–909.

    PubMed  CAS  Article  Google Scholar 

  53. Kiehl TR, Nechiporuk A, Figueroa KP. Generation and characterization of Sca2 (ataxin-2) knockout mice. Biochem Biophys Res Commun. 2006;339:17–24.

    PubMed  CAS  Article  Google Scholar 

  54. Lastres-Becker I, Brodesser S, Lütjohann D, Azizov M, Buchmann J, Hintermann E, et al. Insulin receptor and lipid metabolism pathology in ataxin-2 knock-out mice. Hum Mol Genet. 2008;17(10):1465–81.

    PubMed  CAS  Article  Google Scholar 

  55. Matilla-Dueñas A, Sánchez I, Corral-Juan M, Dávalos A, Alvarez R, Latorre P. Cellular and molecular pathways triggering neurodegeneration in the spinocerebellar ataxias. Cerebellum. 2010;9(2):148–66.

    PubMed  Article  CAS  Google Scholar 

  56. Liu J, Tang TS, Tu H, Nelson O, Herndon E, Huynh DP, et al. Deranged calcium signaling and neurodegeneration in spinocerebellar ataxia type 2. J Neurosci. 2009;29(29):9148–62.

    PubMed  CAS  Article  Google Scholar 

  57. Kasumu A, Bezprozvanny I. Deranged calcium signaling in purkinje cells and pathogenesis in spinocerebellar ataxia 2 (SCA2) and other ataxias. Cerebellum. 2010. doi:10.1007/s12311-010-0182-9.

    PubMed  Google Scholar 

  58. Pulst SM, Santos N, Wang D, Yang H, Huynh D, et al. Spinocerebellar ataxia type 2: PolyQ repeat variation in the CACNA1A channel modifies age of onset. Brain. 2005;128:2297–303.

    PubMed  Article  Google Scholar 

  59. Simon DK, Zheng K, Velazquez L, Figueroa KP, Falcon N, Almaguer, et al. Mithochondrial complex I gene variant associated with early age of onset in SCA2. Arch Neurol. 2007;64:1042–4.

    PubMed  Article  Google Scholar 

  60. Hayes S, Turecki G, Brisebois K, Lopes-Cendes I, Gaspar C, Riess O, et al. CAG repeat length in RAI1 is associated with age at onset variability in spinocerebellar ataxia type 2 (SCA2). Hum Mol Genet. 2000;9(12):1753–8.

    PubMed  CAS  Article  Google Scholar 

  61. Pulst SM. Spinocerebellar ataxia type 2. In: Wells RD, Ashizhawa T, editors. Genetic instabilities and neurological diseases. California: Elsevier; 2006. p. 351–61.

    Chapter  Google Scholar 

  62. González C, Sánchez G, González Quevedo A, Delgado R, Velásquez L, García Rodriguez JC, et al. Serum and cerebrospinal fluid levels of copper, iron and zinc in patients with ataxia type SCA-2 from the province of Holguin in Cuba. Therapeutic basic. Dialog Clin Neurosci. 2005;13(4):12–6.

    Google Scholar 

  63. Almaguer L, Almaguer D, Gonzáles Y, Martinez E, Valcárcel P. Capacidad antioxidante total de en pacientes cubanos con ataxia Espinocerebelosa tipo 2. Rev Mex Neuroci. 2005;6(3):201–6.

    Google Scholar 

  64. Velázquez L, Sánchez G, García JC, Delgado R, Márquez L, Martínez E, et al. Spinocerebellar ataxia type 2 (sca-2) in Cuba. A study of the clinical electrophysiological and redox system variations and its correlation with CAG repeats. Rest Neurol Neurosci. 2003;20(6):277.

    Google Scholar 

  65. Abele M, Schols L, Schwartz S, Klockgether T. Prevalence of antigliadin antibodies in ataxia patients. Neurology. 2003;60:1674–5.

    PubMed  CAS  Google Scholar 

  66. Bushara KO, Nance M, Gomez CM. Antigliadin antibodies in Huntington disease. Neurology. 2004;62:132–3.

    PubMed  Google Scholar 

  67. Bushara KO, Goebel SU, Shill H, Goldfarb LG, Hallet M. Gluten sensitivity in sporadic and hereditary cerebellar ataxia. Ann Neurol. 2001;49:540–3.

    PubMed  CAS  Article  Google Scholar 

  68. Almaguer-Mederos LE, Almira YR, Góngora EM, Gotay DA, Zaldivar YG, Pupo RE, et al. Antigliadin antibodies in Cuban patients with spinocerebellar ataxia type 2. J Neurol Neurosurg Psychiatry. 2008;79:315–7.

    PubMed  CAS  Article  Google Scholar 

  69. Chinnery PF, Reading PJ, Milne D, Gardner-Medwin D, Turnbull DM. CSF antigliadin antibodies and the Ramsay Hunt syndrome. Neurology. 1997;49:1131–3.

    PubMed  CAS  Google Scholar 

  70. Gierga K, Burk K, Bauer M, Orozco Diaz G, Auburger G, Schultz C, et al. Involvement of the cranial nerves and their nuclei in spinocerebellar ataxia type 2 (SCA2). Acta Neuropathol. 2005;109:617–31.

    PubMed  CAS  Article  Google Scholar 

  71. Hoche F, Seidel K, Brunt ER, Auburger G, Schols L, Burk K, et al. Involvement of the auditory brainstem system in spinocerebellar ataxia type 2 (SCA2), type 3 (SCA3) and type 7 (SCA7). Neuropathol Appl Neurobiol. 2008;34:479–91.

    PubMed  CAS  Article  Google Scholar 

  72. Rub U, Del Turco D, Burk K, Diaz GO, Auburger G, Mittelbronn M, et al. Extended pathoanatomical studies point to a consistent affection of the thalamus in spinocerebellar ataxia type 2. Neuropathol Appl Neurobiol. 2005;31:127–40.

    PubMed  CAS  Article  Google Scholar 

  73. Rub U, Seidel K, Ozerden I, Gierga K, Brunt ER, Schols L, et al. Consistent affection of the central somatosensory system in spinocerebellar ataxia type 2 and type 3 and its significance for clinical symptoms and rehabilitative therapy. Brain Res Rev. 2007;53:235–49.

    PubMed  Article  CAS  Google Scholar 

  74. Velazquez Perez L, Sanchez Cruz G, Canales Ochoa N, Rodriguez Labrada R, Rodriguez Diaz J, Almaguer Mederos L, et al. Electrophysiological features in patients and presymptomatic relatives with spinocerebellar ataxia type 2. J Neurol Sci. 2007;263:158–64.

    PubMed  Article  Google Scholar 

  75. Velazquez-Perez L, Rodriguez-Labrada R, Canales-Ochoa N, Sanchez-Cruz G, Fernandez-Ruiz J, Montero JM, et al. Progression markers of spinocerebellar ataxia 2. A twenty years neurophysiological follow up study. J Neurol Sci. 2010;290:22–6.

    PubMed  CAS  Article  Google Scholar 

  76. Kremlacek J, Valis M, Masopust J, Talab R, Kuba M, Kobova Z, et al. Electrophysiological study of visual processing in spinocerebellar ataxia type 2 (SCA2). Cerebellum. 2010. doi:10.1007/s12311-010-0220-7.

    Google Scholar 

  77. Velazquez-Perez L, Rodriguez-Labrada R, Medrano-Montero J, Sanchez-Cruz G, Canales-Ochoa N, Torres-Parra C, et al. Electromyographic pattern in patients and asymptomatic carriers of the SCA2 mutation. Rev Neurol. 2009;49:55–6.

    PubMed  CAS  Google Scholar 

  78. Elden AC, Kim HJ, Hart HP, Chen-Plotkin AS, Johnson BS, Fang X, et al. Ataxin-2 intermediate-length polyglutamine expansions are associated with increased risk for ALS. Nature. 2010;466:1069–75.

    PubMed  CAS  Article  Google Scholar 

  79. Tuin I, Voss U, Kang JS, Kessler K, Rub U, Nolte D, et al. Stages of sleep pathology in spinocerebellar ataxia type 2 (SCA2). Neurology. 2006;67:1966–72.

    PubMed  CAS  Article  Google Scholar 

  80. Boesch SM, Frauscher B, Brandauer E, Wenning GK, Hogl B, Poewe W. Disturbance of rapid eye movement sleep in spinocerebellar ataxia type 2. Mov Disord. 2006;21:1751–4.

    PubMed  Article  Google Scholar 

  81. Rodriguez-Labrada R, Velazquez-Pérez L, Canales-Ochoa N, Galicia-Polo L, Haro-Valencia R, Sánchez-Cruz G, et al. Subtle REM sleep abnormalities in presymptomatic spinocerebellar ataxia type 2 gene carriers. Mov Disord. 2010. doi:10.1002/mds.23409.

    PubMed  Google Scholar 

  82. Velazquez-Perez L, Seifried C, Santos-Falcon N, Abele M, Ziemann U, Almaguer LE, et al. Saccade velocity is controlled by polyglutamine size in spinocerebellar ataxia 2. Ann Neurol. 2004;56:444–7.

    PubMed  Article  Google Scholar 

  83. Seifried C, Velazquez-Perez L, Santos-Falcon N, Abele M, Ziemann U, Almaguer LE, et al. Saccade velocity as a surrogate disease marker in spinocerebellar ataxia type 2. Ann N Y Acad Sci. 2005;1039:524–7.

    PubMed  CAS  Article  Google Scholar 

  84. Geiner S, Horn AK, Wadia NH, Sakai H, Buttner-Ennever JA. The neuroanatomical basis of slow saccades in spinocerebellar ataxia type 2 (Wadia-subtype). Prog Brain Res. 2008;171:575–81.

    PubMed  CAS  Article  Google Scholar 

  85. Velazquez-Perez L, Seifried C, Abele M, Wirjatijasa F, Rodriguez-Labrada R, Santos-Falcon N, et al. Saccade velocity is reduced in presymptomatic spinocerebellar ataxia type 2. Clin Neurophysiol. 2009;120:632–5.

    PubMed  CAS  Article  Google Scholar 

  86. Buttner N, Geschwind D, Jen JC, Perlman S, Pulst SM, Baloh RW. Oculomotor phenotypes in autosomal dominant ataxias. Arch Neurol. 1998;55(10):1353–7.

    PubMed  CAS  Article  Google Scholar 

  87. Burk K, Fetter M, Abele M, Laccone F, Brice A, Dichgans J, et al. Autosomal dominant cerebellar ataxia type I: oculomotor abnormalities in families with SCA1, SCA2, and SCA3. J Neurol. 1999;246:789–97.

    PubMed  CAS  Article  Google Scholar 

  88. Connelly T, Farmer JM, Lynch DR, Doty RL. Olfactory dysfunction in degenerative ataxias. J Neurol Neurosurg Psychiatry. 2003;74:1435–7.

    PubMed  CAS  Article  Google Scholar 

  89. Fernandez-Ruiz J, Diaz R, Hall-Haro C, Vergara P, Fiorentini A, Nunez L, et al. Olfactory dysfunction in hereditary ataxia and basal ganglia disorders. Neuroreport. 2003;14:1339–41.

    PubMed  Google Scholar 

  90. Velazquez-Perez L, Fernandez-Ruiz J, Diaz R, Gonzalez RP, Ochoa NC, Cruz GS, et al. Spinocerebellar ataxia type 2 olfactory impairment shows a pattern similar to other major neurodegenerative diseases. J Neurol. 2006;253:1165–9.

    PubMed  Article  Google Scholar 

  91. Huynh DP, Figueroa K, Hoang N, Pulst SM. Nuclear localization or inclusion body formation of ataxin-2 are not necessary for SCA2 pathogenesis in mouse or human. Nat Genet. 2000;26:44–50.

    PubMed  CAS  Article  Google Scholar 

  92. European Community Huntington Disease Collaborative Study Group: ethical and social issues in presymptomatic testing for Huntington’s disease. A European Community collaborative study. J Med Genet. 1993;1028–35.

  93. Harper PS, Newcombe RG. Age at onset and life table risks in genetic counselling for Huntington’s disease. J Med Genet. 1992;29(4):239–42.

    PubMed  CAS  Article  Google Scholar 

  94. Sequeiros J. Machado–Joseph disease: epidemiology, genetics and genetic epidemiology. In: Lechtenberg R, editor. Handbook of cerebellar diseases. New York: Dekker; 1993. p. 345–51.

    Google Scholar 

  95. Almaguer-Mederos LE, Proenza CL, Rodríguez Almira Y, Escalona Batallán K, Santos Falcón N, Martínez Góngora E, et al. Age-dependent risks in genetic counseling for spinocerebellar ataxia type 2. Clin Genet. 2008;74:571–3.

    Article  Google Scholar 

  96. Chai Y, Wu L, Griffin JD, Paulson HL. The role of protein composition in specifying nuclear inclusion formation in polyglutamine diseases. J Biol Chem. 2001;276(48):44889–97.

    PubMed  CAS  Article  Google Scholar 

  97. Nozaki K, Onodera O, Takano H, Tsuji S. Amino acid sequences flanking polyglutamine stretches influence their potential for aggregate formation. Neuroreport. 2001;12(15):3357–64.

    PubMed  CAS  Article  Google Scholar 

  98. Leznicki P. Aggregation and toxicity of the proteins with polyQ repeats. Postepy Biochem. 2005;51(2):215–22.

    PubMed  CAS  Google Scholar 

  99. Adam S, Wiggins S, Whyte P, Bloch M, Shokeir MHK, Soltan H, et al. Five year study of prenatal testing for Huntington’s disease: demand, attitudes, and psychological assessment. J Med Genet. 1993;30:549–56.

    PubMed  CAS  Article  Google Scholar 

  100. Quaid KA. Presymptomatic testing for Huntington disease in the United States. Am J Hum Genet. 1993;53:785–7.

    PubMed  CAS  Google Scholar 

  101. Underwood BR, Rubinsztein DC. Spinocerebellar ataxias caused by polyglutamine expansions: a review of therapeutic strategies. Cerebellum. 2008;7:215–21.

    PubMed  CAS  Article  Google Scholar 

  102. Perez-Avila I, Fernandez-Vieitez JA, Martinez-Gongora E, Ochoa-Mastrapa R, Velazquez-Manresa MG. Effects of a physical training program on quantitative neurological indices in mild stage type 2 spinocerebellar ataxia patients. Rev Neurol. 2004;39:907–10.

    PubMed  CAS  Google Scholar 

  103. Rodríguez JC, Velázquez L, Sánchez G, Almaguer L, Almaguer D, García JC, et al. Evaluación de la restauración neurológica en pacientes con ataxia SCA2 cubana. Plast & Rest Neurol. 2008;7(1):13–8.

    Google Scholar 

  104. Pirker W, Back C, Gerschlager W, Laccone F, Alesch F. Chronic thalamic stimulation in a patient with spinocerebellar ataxia type 2. Mov Disord. 2003;18:222–5.

    PubMed  Article  Google Scholar 

  105. Freund HJ, Barnikol UB, Nolte D, Treuer H, Auburger G, Tass PA, et al. Subthalamic–thalamic DBS in a case with spinocerebellar ataxia type 2 and severe tremor-A unusual clinical benefit. Mov Disord. 2007;22:732–5.

    PubMed  Article  Google Scholar 

  106. Ristori G, Romano S, Visconti A, Cannoni S, Spadaro M, Frontali M, et al. Riluzole in cerebellar ataxia: a randomized, double-blind, placebo-controlled pilot trial (CME) (LOE Classification). Neurology. 2010;74(10):839–45.

    PubMed  CAS  Article  Google Scholar 

  107. Takei A, Hamada S, Homma S, Hamada K, Tashiro K, Hamada T. Difference in the effects of tandospirone on ataxia in various types of spinocerebellar degeneration: an open-label study. Cerebellum. 2010. doi:10.1007/s12311-010-0199-0.

    PubMed  Google Scholar 

  108. Manconi M, Ferri R, Feroah TR, Zucconi M, Ferini-Strambi L. Defining the boundaries of the response of sleep leg movements to a single dose of dopamine agonist. Sleep. 2008;31(9):1229–37.

    PubMed  Google Scholar 

  109. Vetrugno R, D’Angelo R, Montagna P. Periodic limb movements in sleep and periodic limb movement disorder. Neurol Sci. 2007;28:S9–14.

    Article  Google Scholar 

Download references

Acknowledgements

We are very indebted to Professor Antoni Matilla Dueñas for the critical revision of this paper and to the Iberoamerican Multidisciplinary Network for the Movement Disorders Study: Parkinson’s Disease and Spinocerebellar Ataxias. (RIBERMOV, abbreviation in Spanish).

Conflicts of interest

No conflicts of interest are declared.

Author information

Affiliations

Authors

Corresponding author

Correspondence to Luis Velázquez-Pérez.

Rights and permissions

Reprints and Permissions

About this article

Cite this article

Velázquez-Pérez, L., Rodríguez-Labrada, R., García-Rodríguez, J.C. et al. A Comprehensive Review of Spinocerebellar Ataxia Type 2 in Cuba. Cerebellum 10, 184–198 (2011). https://doi.org/10.1007/s12311-011-0265-2

Download citation

  • Published:

  • Issue Date:

  • DOI: https://doi.org/10.1007/s12311-011-0265-2

Keywords

  • Spinocerebellar ataxia
  • Cerebellar ataxia
  • Cerebellar syndrome