Skip to main content

Reducing surgical site infections following total hip and knee arthroplasty: an Israeli experience

A Correction to this article was published on 12 October 2017

This article has been updated

Abstract

Purpose

To assess the changes observed in surgical site infection (SSI) rates following total joint arthroplasty (TJA) after the introduction of an infection control programme and evaluate the risk factors for the development of these infections.

Design

Prospective cohort study.

Setting

Large tertiary medical centre in Israel.

Methods

Data about SSIs and potential prophylaxis-, patient-, and procedure-related risk factors were collected for all patients who underwent elective total hip and total knee arthroplasty during the study period. Multivariant analyses were conducted to determine which significant covariates affected the outcome.

Results

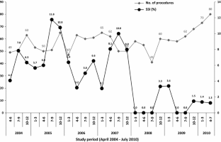
During the 76-month study period, SSIs (superficial and deep) occurred in 64 (4.4%) of 1554 patients. As compared with the 34 (7.7%) SSIs that occurred in the first 25 months, there were 23 (4.7%) SSIs in the following 25 months, and only 7 (1.3%) SSIs in the last third of the study (p = 0.058 and <0.001, respectively). A multiple logistic regression model indicated that risk factors for prosthetic joint infection were a National Nosocomial Infections Surveillance (NNIS) System surgical patient risk index score of 1 (OR 1.8; 95% CI 1.1–3.1) or 2 (OR 2.8; 95% CI 1.2–11.8). The incidence of SSI was not correlated with the timing, nor the duration of antibiotic prophylaxis.

Conclusions

The introduction of preventive measures and surveillance coincided with a significant reduction in SSIs following TJA in our institution. The risk of infection correlated with higher scores in the NNIS System surgical patient risk.

This is a preview of subscription content, access via your institution.

Fig. 1

Change history

  • 12 October 2017

    In the original article, one of the co-author’s family name has been published incorrectly.

References

  1. National Hospital Discharge Survey: survey results and products. Atlanta: Centers for Disease Control and Prevention (2010). http://www.cdc.gov/nchs/nhds/_products.htm. Accessed 20 March 2015

  2. OECD Library. Health at a Glance 2011. OECD Indicators. http://dx.doi.org/10.1787/health_glance-2011-e. Accessed 20 March 2015

  3. Marculescu CE, Mabry T, Berbari EF (2016) Prevention of surgical site infections in joint replacement surgery. Surg Infect 17:152–157

    Article  Google Scholar 

  4. Uçkay I, Hoffmeyer P, Lew D, Pittet D (2013) Prevention of surgical site infections in orthopaedic surgery and bone trauma: state-of-the-art update. J Hosp Infect 84:5–12

    Article  PubMed  Google Scholar 

  5. Horan TC, Gaynes RP, Martone WJ, Jarvis WR, Emori TG (1992) CDC definitions of nosocomial surgical site infections, 1992: a modification of CDC definitions of surgical wound infections. Am J Infect Control 20:271–273

    CAS  Article  PubMed  Google Scholar 

  6. Owens WD, Felts JA, Spitznagel EL Jr (1978) ASA physical status classifications: a study of consistency of ratings. Anesthesiology 49:239–243

    CAS  Article  PubMed  Google Scholar 

  7. Culver DH, Horan TC, Gaynes RP, Martone WJ, Jarvis WR, Grace Emori T, Banerjee SN, Edwards JR, Tolson JS, Henderson TS, Hughes JM (1991) Surgical wound infection rates by wound class, operative procedure, and patient risk index. National Nosocomial Infections Surveillance System. Am J Med 91:152S–157S

    CAS  Article  PubMed  Google Scholar 

  8. Haley RW, Quade D, Freeman HE, Bennett JV (1980) The SENIC Project. Study on the efficacy of nosocomial infection control (SENIC Project). Summary of study design. Am J Epidemiol 111:472–485

    CAS  Article  PubMed  Google Scholar 

  9. Haley RW, Culver DH, White JW, Morgan WM, Emori TG, Munn VP, Hooton TM (1985) The efficacy of infection surveillance and control programs in preventing nosocomial infections in US hospitals. Am J Epidemiol 121:182–205

    CAS  Article  PubMed  Google Scholar 

  10. Johnson R, Jameson SS, Sanders RD, Sargant NJ, Muller SD, Meek RMD, Reed MR (2013) Reducing surgical site infection in arthroplasty of the lower limb. A multi-disciplinary approach. Bone Joint Res 2:58–65

    CAS  Article  PubMed  PubMed Central  Google Scholar 

  11. Bosco JA III, Slover JD, Haas JP (2010) Perioperative Strategies for decreasing infection. A comprehensive evidence-based approach. J Bone Jt Surg Am 92:232–239

    Google Scholar 

  12. Uçkay I, Harbarth S, Peter R, Lew D, Hoffmeyer P, Pittet D (2010) Preventing surgical site infections. Expert Rev Anti Infect Ther 8:657–670

    Article  PubMed  Google Scholar 

  13. Mangram AJ, Horan TC, Pearson ML, Silver LC, Jarvis WR (1999) Guideline for prevention of surgical site infection, 1999. Infect Control Hosp Epidemiol 20:250–278

    CAS  Article  PubMed  Google Scholar 

  14. Widmer AF, Rotter M, Voss A, Nthumba P, Allegranzi B, Boyce J, Pittet D (2010) Surgical hand preparation: state-of-the-art. J Hosp Infect 74:112–122

    CAS  Article  PubMed  Google Scholar 

  15. Meehan J, Jamali AA, Nguyen H (2009) Prophylactic antibiotics in hip and knee arthroplasty. J Bone Jt Surg Am 91:2480–2490

    Article  Google Scholar 

  16. Prokuski L (2008) Prophylactic antibiotics in orthopaedic surgery. J Am Acad Orthop Surg 16:283–293

    Article  PubMed  Google Scholar 

  17. Barchitta M, Matranga D, Quattrocchi A, Bellochi P, Riffino M, Basile G, Agodi A (2012) Prevalence of surgical site infections before and after the implementation of a multimodal infection control programme. J Antimicrob Chemother 67:749–755

    CAS  Article  PubMed  Google Scholar 

  18. Matsen Ko LJ, Yoo JY, Maltenfort M, Hughes A, Smith EB, Sharkey PF (2016) The Effect of Implementing a multimodal approach on the rates of periprosthetic joint infection after total joint arthroplasty. J Arthroplasty 31:451–455

    Article  PubMed  Google Scholar 

  19. Berbari EF, Hanssen AD, Duffy MC, Steckelberg JM, Ilstrup DM, Harmsen WS, Osmon DR (1998) Risk factors for prosthetic joint infection: case-control study. Clin Infect Dis 27:1247–1254

    CAS  Article  PubMed  Google Scholar 

  20. Maragakis LL, Perl TM (2004) Basics of surgical site infection surveillance. In: Lautenbach E, Woeltje K (eds) Practical handbook for healthcare epidemiologists. Slack, Thorafore, pp 79–89

    Google Scholar 

  21. Gaynes RP (2000) Surgica-site infections and the NNIS SSI risk index: room for improvement. Infect Control Hosp Epidemiol 21:184–185

    CAS  Article  PubMed  Google Scholar 

  22. Classen DC, Evans RS, Pestotnik SL, Horn SD, Menlove RL, Burke JP (1992) The timing of prophylactic administration of antibiotics and the risk of surgical-wound infection. N Engl J Med 326:281–286

    CAS  Article  PubMed  Google Scholar 

  23. Fry DE (2008) Preventive systemic antibiotics in colorectal surgery. Surg Infect (Larchmt) 9:547–552

    Article  Google Scholar 

  24. Prokuski L (2008) Prophylactic antibiotics in orthopaedic surgery. J Am Acad Orthop Surg 16:283–293

    Article  PubMed  Google Scholar 

  25. Meehan J, Jamali AA, Nguyen H (2009) Prophylactic antibiotics in hip and knee arthroplasty. J Bone Jt Surg Am 91:2480–2490

    Article  Google Scholar 

  26. Smaill FM, Gyte GM (2010) Antibiotic prophylaxis versus no prophylaxis for preventing infection after cesarean section. Cochrane Database Syst Rev 1:CD007482

    Google Scholar 

  27. Haydon TP, Presneill JJ, Robertson MS (2010) Antibiotic prophylaxis for cardiac surgery in Australia. Med J Aust 192:141–143

    PubMed  Google Scholar 

  28. Bratzler DW, Dellinger EP, Olsen KM, Perl TM, Auwaerter PG, Bolon MK, Fish DN, Napolitano LM, Sawyer RG, Slain D, Steinberg JP, Weinstein RA (2013) Clinical practice guidelines for antimicrobial prophylaxis in surgery. Am J Health-Syst Pharm 70:195–283

    CAS  Article  PubMed  Google Scholar 

  29. van Kasteren MEE, Mannien J, Ott A, Kullberg B-J, de Boer BS, Gyssens IC (2007) Antibiotic prophylaxis and the risk of surgical site infections following total hip arthroplasty: timely administration is the most important factor. Clin Infect Dis 44:921–927

    Article  PubMed  Google Scholar 

  30. Hawn MT, Richman JS, Vick CC, Deierhoi RJ, Graham LA, Henderson WG, Itani KMF (2013) Timing of surgical antibiotic prophylaxis and the risk of surgical site infection. JAMA Surg 148(7):649–657

    Article  PubMed  Google Scholar 

  31. Bratzler DW, Hunt DR (2006) The surgical infection prevention and surgical care improvement projects: national initiatives to improve outcomes for patients having surgery. Clin Infect Dis 43:322–330

    Article  PubMed  Google Scholar 

Download references

Author information

Affiliations

Authors

Corresponding author

Correspondence to R. Finkelstein.

Ethics declarations

Conflict of interest

The authors declare no conflict of interest.

Additional information

A correction to this article is available online at https://doi.org/10.1007/s12306-017-0508-6.

Rights and permissions

Reprints and Permissions

About this article

Verify currency and authenticity via CrossMark

Cite this article

Finkelstein, R., Eluk, O., Mashiach, T. et al. Reducing surgical site infections following total hip and knee arthroplasty: an Israeli experience. Musculoskelet Surg 101, 219–225 (2017). https://doi.org/10.1007/s12306-017-0471-2

Download citation

  • Received:

  • Accepted:

  • Published:

  • Issue Date:

  • DOI: https://doi.org/10.1007/s12306-017-0471-2

Keywords

  • Surgical site infections
  • Infection control
  • Total joint arthroplasty
  • Hip arthroplasty
  • Knee arthroplasty
  • Antibiotic prophylaxis