Skip to main content

Ethephon mitigates nickel stress by modulating antioxidant system, glyoxalase system and proline metabolism in Indian mustard

Abstract

The role of ethylene (through application of ethephon) in the regulation of nickel (Ni) stress tolerance was investigated in this study. Ethephon at concentration of 200 µl l−1 was applied to mustard (Brassica juncea) plants grown without and with 200 mg kg−1 soil Ni to study the increased growth traits, biochemical attributes, photosynthetic efficiency, nutrients content, activities of antioxidants such as superoxide dismutase, ascorbate peroxidase, glutathione reductase, and glutathione peroxidase, glyoxalase systems and enhanced the proline metabolism. In the absence of ethephon, Ni increased oxidative stress with a concomitant decrease in photosynthesis, growth and nutrients content. However, application of ethephon positively increased growth traits, photosynthetic parameters, nutrients content and also elevated the generation of antioxidants enzymes and glyoxalase systems, proline production to combat oxidative stress. Plants water relations and cellular homeostasis were maintained through increased photosynthetic efficiency and proline production. This signifies the role of ethylene in mediating Ni tolerance via regulating proline production and photosynthetic capacity. Ethephon can be used as an exogenous supplement on plants to confer Ni tolerance. The results can be exploited to develop tolerance in plants via gene editing technology encoding enzymes responsible for proline synthesis, antioxidant defence, glyoxalase systems and photosynthetic effectiveness.

This is a preview of subscription content, access via your institution.

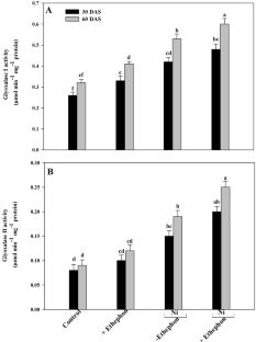
Fig. 1
Fig. 2
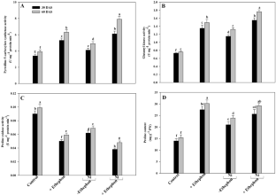
Fig. 3
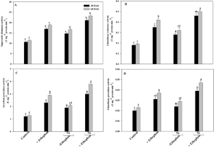
Fig. 4
Fig. 5

References

  • Ahmad I, Naeem M, Khan NA (2009) Effects of cadmium stress upon activities of antioxidative enzymes, photosynthetic rate, and production of phytochelatins in leaves and chloroplasts of wheat cultivars differing in yield potential. Photosynthetica 47:146–151

    CAS  Article  Google Scholar 

  • Álvarez Viveros MF, Inostroza-Blancheteau C, Timmermann T, González M, Arce-Johnson P (2013) Overexpression of Gly I and Gly II genes in transgenic tomato (Solanum lycopersicum Mill.) plants confers salt tolerance by decreasing oxidative stress. Mol Biol Rep 40:3281–3290

    PubMed  Article  CAS  Google Scholar 

  • Arif N, Vaishali Y, Shweta S, Swati S, Parvaiz A, Rohit KM, Shivesh S, Durgesh K, Tripathi NKD, Devendra KC (2016) Influence of high and low levels of plant-beneficial heavy metal ions on plant growth and development. Front Environ Sci 4:69

    Article  Google Scholar 

  • Asati A, Pichhode M, Nikhil K (2016) Effect of heavy metals on plants: an overview. Int J Appl Innov Eng Manag 5:56–66

    Google Scholar 

  • Asgher M, Per TS, Verma S, Pandith SA, Masood A, Khan NA (2018) Ethylene supplementation increases PS II efficiency and alleviates chromium-inhibited photosynthesis through increased nitrogen and sulfur assimilation in mustard. J Plant Growth Regul 37:1300–1317

    CAS  Article  Google Scholar 

  • Bates LE, Waldren RP, Teare ID (1973) Rapid determination of free proline for water stress studies. Plant Soil 39:205–207

    CAS  Article  Google Scholar 

  • Beyer WF, Fridovich I (1987) Assaying for superoxide dismutase activity: some large consequences of minor changes in conditions. Anal Biochem 161:559–566

    CAS  PubMed  Article  Google Scholar 

  • Bradford MM (1976) A rapid and sensitive method for the Quantitation of micro-gram quantities of proteins utilising the principle of protein–dye binding. Anal Biochem 72:248–254

    CAS  Article  PubMed  PubMed Central  Google Scholar 

  • Brown PH (2007) Nickel. In: Barker AV, Pilbean DJ (eds) Handbook of plant nutrition, vol 35. Taylor and Francis, New York, pp 395–402

    Google Scholar 

  • Charles IO, Issac UI (2014) Effect of nickel concentrations on Amaranthus spinosus uptake of nutrients and heavy metals in soil. J Appl Phytotechnol Environ Sanit 3:87–91

    Google Scholar 

  • Chen C, Huang D, Liu J (2009) Functions and toxicity of nickel in plants: recent 10 advances and future prospects. Clean Soil Air Water 37:304–313

    CAS  Article  Google Scholar 

  • Dhindsa RH, Plumb-Dhindsa P, Thorpe TA (1981) Leaf senescence correlated with increased level of membrane permeability, lipid peroxidation and decreased level of SOD and CAT. J Exp Bot 32:93–101

    CAS  Article  Google Scholar 

  • Dubios M, Broeck LVD, Inze D (2018) The pivotal role of ethylene in plant growth. Trends Plant Sci 23:311–323

    Article  CAS  Google Scholar 

  • Fabiano CC, Tezotto T, Favarin JL, Polacco JC, Mazzafera P (2015) Essentiality of nickel in plants: a role in plant stresses. Front Plant Sci 6:754

    PubMed  PubMed Central  Article  Google Scholar 

  • Fiske CH, Subba Row Y (1925) The colorimetric determination of phosphorus. J Biol Chem 66:375–400

    CAS  Google Scholar 

  • Foy CD, Chaney RL, White MC (1978) The physiology of metal toxicity in plants. Annu Rev Plant Physiol 29:511–566

    CAS  Article  Google Scholar 

  • Foyer CH, Halliwell B (1976) The presence of glutathione and glutathione reductase in chloroplasts: a proposed role in ascorbic acid metabolism. Planta 133:21–25

    CAS  PubMed  Article  Google Scholar 

  • Georgiado EC, Kowalska E, Patla K, Kulbat K, Smolinska B, Leszczynska J, Fotopoulos V (2018) Influence of heavy metals (Ni, Cu, and Zn) on nitro-oxidative stress responses, proteome regulation and allergen production in basil (Ocimum basilicum L.) plants. Front Plant Sci 9:862

    Article  Google Scholar 

  • Ghori NH, Ghori T, Hayat MQ, Imadi SR, Gul A, Altay V, Ozturk M (2019) Heavy metal stress and responses in plants. Int J Environ Sci Technol 16:1807–1828

    CAS  Article  Google Scholar 

  • Giannopolitis CN, Ries SK (1977) Superoxide dismutase. I. Occurrence in higher plants. Plant Physiol 59:309–314

    CAS  PubMed  PubMed Central  Article  Google Scholar 

  • Gupta V, Jatav PK, Verma R, Kothari SL, Kachhwaha S (2017) Nickel accumulation and its effect on growth, physiological and biochemical parameters in millets and oats. Environ Sci Pollut Res 24:23915–23925

    CAS  Article  Google Scholar 

  • Harish Sundaramoorthy S, Kumar D, Vaijapurkar SG (2008) A new chlorophycean nickel hyperaccumulator. Bioresour Technol 99:3930–3934

    PubMed  Article  CAS  Google Scholar 

  • Hasanuzzaman M, Fujita M (2013) Exogenous sodium nitroprusside alleviates arsenic-induced oxidative stress in wheat (Triticum aestivum L.) seedlings by enhancing antioxidant defense and glyoxalase system. Ecotoxicology 22:584–596

    CAS  PubMed  Article  Google Scholar 

  • Hasanuzzaman M, Hossain MA, Fujita M (2011) Nitric oxide modulates antioxidant defense and the methylglyoxal detoxification system and reduces salinity-induced damage of wheat seedlings. Plant Biotechnol Rep 5:353

    Article  Google Scholar 

  • Hasanuzzaman M, Hossain MA, Fujita M (2012) Exogenous selenium pretreatment protects rapeseed seedlings from cadmium-induced oxidative stress by upregulating antioxidant defense and methylglyoxal detoxification systems. Biol Trace Elem Res 149:248–261

    CAS  PubMed  Article  Google Scholar 

  • Hasanuzzaman M, Nahar K, Hossain MS, Mahmud JA, Rahman A, Inafuku M, Oku H, Fujita M (2017) Coordinated actions of glyoxalase and antioxidant defense systems in conferring abiotic stress tolerance in plants. Int J Mol Sci 18:200

    PubMed Central  Article  CAS  Google Scholar 

  • Hasanuzzaman M, Nahar K, Anee TI, Khan MIR, Fujita M (2018) Silicon-mediated regulation of antioxidant defense and glyoxalase systems confers drought stress tolerance in Brassica napus L. South Afr J Bot 115:50–57

    CAS  Article  Google Scholar 

  • Hayzer DJ, Leisinger TH (1980) The gene-enzyme relationships of proline biosynthesis in Escherichia coli. J Gen Microbiol 118:287–293

    CAS  PubMed  Google Scholar 

  • He S, He Z, Yand X, Baligar VC (2012) Mechanism of nickel uptake and hyperaccumulation by plants and implication for soil remediation. Adv Agron 117:117–189

    CAS  Article  Google Scholar 

  • Hossain MA, Hossain MZ, Fujita M (2009) Stress induced changes of methylglyoxal level and glyoxalase I activity in pumpkin seedlings and cDNA cloning of glyoxalase I gene. Aust J Crop Sci 3:53–64

    CAS  Google Scholar 

  • Huang AHC, Cavalieri AJ (1979) Proline oxidase and water stress induced proline accumulation in spinach leaves. Plant Physiol 63:531–535

    CAS  PubMed  PubMed Central  Article  Google Scholar 

  • Hussain MB, Ali S, Azam A, Hina S, Farooq MA, Ali B, Bharwana SA, Gill MB (2013) Morphological, physiological and biochemical responses of plants to nickel stress: a review. Afr J Agric Res 8:1596–1602

    Article  CAS  Google Scholar 

  • Iqbal N, Umar S, Khan NA, Khan MIR (2014) A new perspective of phytohormones in salinity tolerance: regulation of proline metabolism. Environ Exp Bot 100:34–42

    CAS  Article  Google Scholar 

  • Iqbal N, Umar S, Khan NA (2015) Nitrogen availability regulates proline and ethylene production and alleviates salinity stress in mustard (Brassica juncea). J Plant Physiol 178:84–91

    CAS  PubMed  Article  Google Scholar 

  • Jiang K, Wu B, Wang C, Ran Q (2019) Ecotoxicological effects of metals with different concentrations and types on the morphological and physiological performance of wheat. Ecotoxicol Environ Saf 167:345–353

    CAS  PubMed  Article  Google Scholar 

  • Kaur C, Singla-Pareek SL, Sopory SK (2014) Glyoxalase and methylglyoxal as biomarkers for plant stress tolerance. Crit Rev Plant Sci 33:429–456

    CAS  Article  Google Scholar 

  • Kaur C, Sharma S, Singla-Pareek SL, Sopory SK (2016) Methylglyoxal detoxification in plants: role of glyoxalase pathway. Indian J Plant Physiol 21:377–390

    CAS  Article  Google Scholar 

  • Kaveriammal S, Subramami A (2013) Toxic effect of nickel chloride (NiCl2) on the growth behavoiur and biochemical constituent of groundnut seedlings (Arachis hypogeae L.). Int J Res Bot 3:48–52

    Google Scholar 

  • Kishor PB, Sangam S, Amrutha RN, Sri Laxmi P, Naidu KR et al (2005) Regulation of proline biosynthesis, degradation, uptake and transport in higher plants: its implications in plant growth and abiotic stress tolerance. Curr Sci 88:424–438

    CAS  Google Scholar 

  • Kishor PB, Hima Kumari P, Sunita MSL, Sreenivasulu N (2015) Role of proline in cell wall synthesis and plant development and its implications in plant ontogeny. Front Plant Sci 6:544

    Google Scholar 

  • Khan MIR, Khan NA (2014a) Ethylene reverses photosynthetic inhibition by nickel and zinc in mustard through changes in PS II activity, photosynthetic nitrogen use efficiency, and antioxidant metabolism. Protoplasma 251:1007–1019

    CAS  PubMed  Article  Google Scholar 

  • Khan NA, Khan MIR (2014b) The ethylene: from senescence hormone to key player in plant metabolism. J Plant Biochem Physiol 2:124

    Article  CAS  Google Scholar 

  • Khan MIR, Khan N (2017) Reactive oxygen species and antioxidant system in plants: role and regulation under abiotic stress. Springer, Berlin. ISBN: 978-981-10-5254-5

    Book  Google Scholar 

  • Khan NA, Mir MR, Nazar R, Singh S (2008) The application of ethephon (an ethylene releaser) increases growth, photosynthesis and N accumulation in mustard (Brassica juncea L.). Plant Biol 10:534–538

    CAS  PubMed  Article  Google Scholar 

  • Khan NA, Nazar R, Anjum NA (2009) Growth, photosynthesis and antioxidant metabolism in mustard (Brassica juncea L.) cultivars differing in ATP-sulfurylase activity under salinity stress. Sci Hortic 122:455–460

    CAS  Article  Google Scholar 

  • Khan MIR, Iqbal N, Masood A, Per TS, Khan NA (2013) Salicylic acid alleviates adverse effects of heat stress on photosynthesis through changes in proline production and ethylene formation. Plant Signal Behav 8:263–274

    Article  CAS  Google Scholar 

  • Khan MIR, Nazir F, Asgher M, Per TS, Khan NA (2015) Selenium and sulfur influence ethylene formation and alleviate cadmium induced oxidative stress by improving proline and glutathione production in wheat. J Plant Physiol 173:9–18

    CAS  PubMed  Article  Google Scholar 

  • Khan NA, Khan MIR, Ferrante A, Peter P (2017) Ethylene: a key regulatory molecule in plants. Front Plant Sci 8:1782

    PubMed  PubMed Central  Article  Google Scholar 

  • Khan MIR, Jahan B, AlAjmi MF, Rehman MT, Khan NA (2019) Exogenously-sourced ethylene modulates defense mechanisms and promotes tolerance to zinc stress in mustard (Brassica juncea L.). Plants (Basel) 8(12):pii: E540. https://doi.org/10.3390/plants8120540

    CAS  Article  Google Scholar 

  • Küpper H, Kroneck PM (2007) Nickel in the environment and its role in the metabolism of plants and cyanobacteria. Metal Ions Life Sci 2:31–62

    Google Scholar 

  • Lindner RC (1944) Rapid analytical methods for some of the more common inorganic constituents of plant tissues. Plant Physiol 19:70–89

    Google Scholar 

  • Mahmud JA, Hasanuzzaman M, Nahar K, Bhuyan MHMB, Fujita M (2018) Insights into citric acid-induced cadmium tolerance and phytoremediation in Brassica juncea L.: coordinated functions of metal chelation, antioxidant defense and glyoxalase systems. Ecotoxicol Environ Saf 147:990–1001

    CAS  PubMed  Article  Google Scholar 

  • Matraszek R, Hawrylak-Nowak B (2010) Growth and mineral composition of nickel-stressed plant under conditions of supplementation with excessive amounts of calcium and iron. J Toxicol Environ Health 73:1260–1273

    CAS  Article  Google Scholar 

  • Mobin M, Khan NA (2007) Photosynthetic activity, pigment composition and antioxidative response of two mustard (Brassica juncea) cultivars differing in photosynthetic capacity subjected to cadmium stress. J Plant Physiol 164:601–610

    CAS  PubMed  Article  Google Scholar 

  • Munns R, Tester M (2008) Mechanism of salinity tolerance. Annu Rev Plant Biol 59:651–681

    CAS  PubMed  Article  Google Scholar 

  • N’guessan M, Probst JL, Bur T, Probst A (2009) Trace elements in stream bed sediments from agricultural catchments (Gascogne region, S-W France): where do they come from? Sci Total Environ 407:2939–2952

    PubMed  Article  CAS  Google Scholar 

  • Nabi RBS, Tayade R, Hussain A, Kulkarni KP, Imran QM, Mun BG, Yun BW (2019) Nitric oxide regulates plant responses to drought, salinity, and heavy metal stress. Environ Exp Bot 161:120–133

    CAS  Article  Google Scholar 

  • Nakano Y, Asada K (1981) Hydrogen peroxide is scavenged by ascorbate specific peroxidase in spinach chloroplasts. Plant Cell Physiol 22:867–880

    CAS  Google Scholar 

  • Naliwajski MR, Skłodowska M (2014) Proline and its metabolism enzymes in cucumber cell cultures during acclimation to salinity. Protoplasma 251:201–209

    CAS  PubMed  Article  Google Scholar 

  • Naveedullah, Hashmi MZ, Yu C, Shen H, Duan D, Shen C, Lou L, Chen Y (2013) Risk assessment of heavy metals pollution in agricultural soils of siling reservoir watershed in Zhejiang province, China. Biomed Res Intern 2013:590306

    CAS  Article  Google Scholar 

  • Pahwa K, Ghai N, Kaur J, Singh I, Singh S, Dhingra M (2017) Influence of ethylene and cobalt chloride on photosynthetic parameters and pedicel anatomy of pigeonpea (Cajanus cajan L.) genotypes. J Environ Biol 38:367–374

    Article  Google Scholar 

  • Pandey N, Sharma CP (2002) Effect of heavy metals Co2+, Ni2+ and Cd2+ on growth and metabolism of cabbage. Plant Sci 163:753–758

    CAS  Article  Google Scholar 

  • Parveen N, Ashraf M (2010) Role of silicon in mitigating the adverse effects of salt stress on growth and photosynthetic attributes of two maize (Zea mays L.) cultivars grown hydroponically. Pak J Bot 42:1675–1684

    CAS  Google Scholar 

  • Per TS, Khan NA, Reddy PS, Masood A, Hasanuzzaman M, Khan MI, Anjum NA (2017) Approaches in modulating proline metabolism in plants for salt and drought stress tolerance: phytohormones, mineral nutrients and transgenics. Plant Physiol Biochem 115:126–140

    CAS  PubMed  Article  Google Scholar 

  • Polacco JC, Mazzafera P, Tezotto T (2013) Opinion–nickel and urease in plants: still many knowledge gaps. Plant Sci 199:79–90

    PubMed  Article  CAS  Google Scholar 

  • Principato GB, Rosi G, Talesa V, Giovanni E, Uotila L (1987) Purification and characterization of two forms of glyoxalase II from the liver and brain of wistar rats. Biochim Biophys Acta 911:349–355

    CAS  PubMed  Article  Google Scholar 

  • Radford PJ (1967) Growth analysis formulae-their use and abuse. Crop Sci 7:171–175

    Article  Google Scholar 

  • Rasool S, Ahmad A, Siddiqi TO, Ahmad P (2013) Changes in growth, lipid peroxidation and some key antioxidant enzymes in chickpea genotypes under salt stress. Acta Physiol Plant 35:1039–1050

    CAS  Article  Google Scholar 

  • Rejeb KB, Abdelly C, Savouré A (2014) How reactive oxygen species and proline face stress together. Plant Physiol Biochem 80:278–284

    PubMed  Article  CAS  Google Scholar 

  • Rena AB, Splittstoesser WE (1975) Proline dehydrogenase and pyrroline-5-carboxylate reductase from pumpkin cotyledons. Phytochemistry 14:657–661

    CAS  Article  Google Scholar 

  • Rizwan M, Imtiaz M, Dai Z, Mehmood S, Adeel M, Liu J, Tu S (2017) Nickel stressed responses of rice in Ni subcellular distribution, antioxidant production, and osmolyte accumulation. Environ Sci Pollut Res 24:20587–20598

    CAS  Article  Google Scholar 

  • Saad R, Kobaissi A, Robin C, Echevarria G, Benizri E (2016) Nitrogen fixation and growth of Lens culinaris as affected by nickel availability:a pre-requisite for optimization of agromining. Environ Exp Bot 131:1–9

    CAS  Article  Google Scholar 

  • Salinas R, Sánchez E, Ruíz JM, Lao MT, Romero L (2013) Proline, betaine, and choline responses to different phosphorus levels in green bean. Commun Soil Sci Plant Anal 44:465–472

    CAS  Article  Google Scholar 

  • Seregin IV, Kozhevnikova AD (2006) Physiological role of nickel and its toxic effects on higher plants. Russ J Plant Physiol 53:257–277

    CAS  Article  Google Scholar 

  • Shahzad B, Tanveer M, Rehman A, Cheema SA, Fahad S, Rehman S, Anket Sharma A (2018) Nickel; whether toxic or essential for plants and environment—a review. Plant Physiol Biochem 132:641–651

    CAS  PubMed  Article  Google Scholar 

  • Sharma I, Pati PK, Bhardwaj R (2011) Effect of 24-epibrassinolide on oxidative stress markers induced by nickel-ion in Raphanus sativus L. Acta Physiol Plant 33:1723–1735

    CAS  Article  Google Scholar 

  • Shi GR, Cai QS (2008) Photosynthetic and anatomic responses of peanut leaves to cadmium stress. Photosynthetica 46:627–630

    CAS  Article  Google Scholar 

  • Siddiqui MH, Al-Whaibi MH, Ali HM, Sakran AM, Basalah MO, AlKhaishany MY (2013) Mitigation of nickel stress by the exogenous application of salicylic acid and nitric oxide in wheat. Aust J Crop Sci 7:1780

    Google Scholar 

  • Sirhindi G, Mir MA, Abd-Allah EF, Ahmad P, Gucel S (2016) Jasmonic acid modulates the physio-biochemical attributes, antioxidant enzyme activity, and gene expression in Glycine max under nickel toxicity. Front Plant Sci 7:591

    PubMed  PubMed Central  Article  Google Scholar 

  • Sirko A, Brodzik R (2000) Plant ureases: roles and regulation. Acta Biochim Pol 47:1189–1195

    CAS  PubMed  Article  Google Scholar 

  • Szabados L, Savoure A (2010) Proline: multifunctional amino acid. Trends Plant Sci 15:89–97

    CAS  PubMed  PubMed Central  Article  Google Scholar 

  • Thao NP, Khan MIR, Thu NBA, Hoang XLT, Asgher M, Khan NA, Tran LP (2015) Role of ethylene and its crosstalk with other signaling molecules in plant responses to heavy metals. Plant Physiol 169:73–84

    PubMed  PubMed Central  Article  CAS  Google Scholar 

  • Upadhyaya CP, Venkatesh J, Gururani MA, Asnin L, Sharma K, Ajappala H, Park SW (2011) Transgenic potato overproducing L-ascorbic acid resisted an increase in methylglyoxal under salinity stress via maintaining higher reduced glutathione level and glyoxalase enzyme activity. Biotechnol Lett 33:2297–2307

    CAS  PubMed  Article  Google Scholar 

  • Usuda H (1985) The activation state of ribulose 1,5-bisphosphate carboxylase in maize leaves in dark and light. Plant Cell Physiol 26:1455–1463

    CAS  Google Scholar 

  • Van Oosten MJ, Maggio A (2015) Functional biology of halophytes in the phytoremediation of heavy metal contaminated soils. Environ Exp Bot 111:135–146

    Article  CAS  Google Scholar 

  • Vatansever R, Ozyigit II, Filiz E (2017) Essential and beneficial trace elements in plants, and their transport in roots: a review. Appl Biochem Biotechnol 181:464–482

    CAS  PubMed  Article  Google Scholar 

  • Velikova V, Tsonev T, Loreto F, Centritto M (2011) Changesin photosynthesis, mesophyll conductance to CO2, and isoprenoide missions in Populus nigra plants exposed to excess nickel. Environ Pollut 159:1058–1066

    CAS  PubMed  PubMed Central  Article  Google Scholar 

  • Verbruggen N, Hermans C (2008) Proline accumulation in plants: a review. Amino Acids 35:753–759

    CAS  PubMed  PubMed Central  Article  Google Scholar 

  • Wakeel A, Ali I, Wu M, Raza Khan A, Jan M, Ali A, Gan Y (2018) Ethylene mediates dichromate-induced oxidative stress and regulation of the enzymatic antioxidant system-related transcriptome in Arabidopsis thaliana. Environ Exp Bot 161:166–179

    Article  CAS  Google Scholar 

  • Wild R, Ooi L, Srikanth V, Münch G (2012) A quick, convenient and economical method for the reliable determination of methylglyoxal in millimolar concentrations: the N-acetyl-L-cysteine assay. Anal Bioanal Chem 403:2577–2581

    CAS  PubMed  Article  Google Scholar 

  • Yang SF (1969) Ethylene evolution from 2-chloroethylphosphonic acid. Plant Physiol 44:1203–1204

    CAS  PubMed  PubMed Central  Article  Google Scholar 

  • Zhang F, Shi W, Jin Z, Shen Z (2003) Response of oxidative enzymes in cucumber chloroplasts to cadmium toxicity. J Plant Nutr 26:1779–1788

    CAS  Article  Google Scholar 

Download references

Acknowledgements

MIRK gratefully acknowledges the award of MANF [F.40-3 (M/S)/2009 (SA-III/MANF)] by the University Grants Commission, New Delhi, India. MFA and MTR acknowledge the generous support from the Researcher Supporting Project number (RSP-2019-122) King Saud University, Riyadh, Saudi Arabia.

Author information

Affiliations

Authors

Contributions

MIRK and NAK conceptualized the study and wrote the manuscript; MIRK and BJ conducted the experiments and collected the data, MIRK, BJ, MFA, MTR analyses the data and helped in preparing the manuscript.

Corresponding author

Correspondence to M. Iqbal R. Khan.

Additional information

Publisher's Note

Springer Nature remains neutral with regard to jurisdictional claims in published maps and institutional affiliations.

Rights and permissions

Reprints and Permissions

About this article

Verify currency and authenticity via CrossMark

Cite this article

Khan, M.I.R., Jahan, B., AlAjmi, M.F. et al. Ethephon mitigates nickel stress by modulating antioxidant system, glyoxalase system and proline metabolism in Indian mustard. Physiol Mol Biol Plants 26, 1201–1213 (2020). https://doi.org/10.1007/s12298-020-00806-1

Download citation

  • Received:

  • Revised:

  • Accepted:

  • Published:

  • Issue Date:

  • DOI: https://doi.org/10.1007/s12298-020-00806-1

Keywords

  • Antioxidant enzymes
  • Ethylene
  • Glyoxalase systems
  • Nickel
  • Proline