Skip to main content

A new anti-Helicobacter pylori juglone from Reynoutria japonica

Abstract

A 70% ethanol extract from the root portion of Reynoutria japonica afforded one new and three known juglone derivatives, namely, 2-methoxy-6-acetyl-7-methyljuglone (1), 2-ethoxy-6-acetyl-7-methyljuglone (2), 2-methoxy-7-acetonyljuglone (3), and 3-acetyl-7-methoxy-2-methyljuglone (4) together with two phenolics (5 and 6), an anthraquinone (7), a stilbene (8) and a phthalide (9). Their structures were elucidated on the basis of comprehensive spectroscopic studies including IR, MS, and 1H, 13C, 2D NMR spectra. Compound 3 is a new compound in nature, and compounds 46 have been isolated for the first time from R. japonica. The isolates were evaluated for their antibacterial activity against three strains (43504, 51, and 26695) of Helicobacter pylori. The four isolated juglone derivatives (14) showed potent growth inhibitory activity. Among them, compounds 13 exhibited stronger inhibitory activity than those of the positive controls, juglone and metronidazole, for the three strains and that of another reference, clarithromycin, for the 43504 and 51 strains. Specifically, the new juglone compound 3 displayed the most potent antibacterial activity against all three strains, 43504, 51, and 26695, with MIC values of 0.06, 0.06 and 0.13 μM, respectively, and MIC50 values of 0.14, 0.11 and 0.15 μM, respectively.

This is a preview of subscription content, access via your institution.

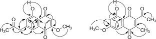
Fig. 1
Fig. 2

References

  • Amin M, Anwer M, Naz F, Mehmood T, Saari N (2013) Anti-Helicobacter pylori and urease inhibition activities of some traditional medicinal plants. Molecules 18:2135–2149

    Article  CAS  Google Scholar 

  • An BG, Moon BS, Kim HJ, Lim HC, Lee YC, Lee G, Kim SH, Park M, Kim JB (2013) Antibiotic resistance in Helicobacter pylori strains and its effect on H. pylori eradication rates in a single center in Korea. Ann Lab Med 33:415–419

    Article  CAS  Google Scholar 

  • Bauch HJ, Leistner E (1980) Bioproduction of axenomycins in batch cultures of Streptomyces lisandri. Z Naturforsch Teil C 35:936–944

    Article  Google Scholar 

  • Chey WD, Wong BCY (2007) American college of gastroenterology guideline on the management of Helicobacter pylori infection. Am J Gastroenterol 102:1808–1825

    Article  CAS  Google Scholar 

  • Inbaraj JJ, Chignell CF (2004) Cytotoxic action of juglone and plumagin: a mechanistic study using HaCaT keratinocytes. Chem Res Toxicol 17:55–62

    Article  CAS  Google Scholar 

  • Jiawei L, Qiang Y, Weiwen C, Qing Z, Kaotan C, Jing L, Wuguo L, Zhenhua S, Shan K (2014) Juglone derivative and medical application. Chinese Patent Application CN 102850203

  • Jin M, Sun J, Li R, Diao S, Zhang C, Cui J, Son JK, Zhou W, Li G (2016) Two new quinones from the roots of Juglans mandshurica. Arch Pharm Res 39:1237–1241

    Article  CAS  Google Scholar 

  • Kannathasan K, Senthilkumar A, Venkatesalu V (2011) Mosquito larvicidal activity of methyl-p-hydroxybenzoate isolated from the leaves of Vitex trifolia Linn. Acta Trop 120:115–118

    Article  CAS  Google Scholar 

  • Khalil AAK, Park WS, Kim HJ, Akter KM, Ahn MJ (2016) Anti-Helicobacter pylori compounds from Polygonum cuspidatum. Nat Prod Sci 22:220–224

    Article  CAS  Google Scholar 

  • Kim H, Ralph J, Lu F, Ralph SA, Boudet AM, Mackay JJ, Sederoff RR, Ito T, Kawai S, Ohashi H, Higuchi T (2003) NMR analysis of lignins in CAD-deficient plants. Part 1. Incorporation of hydroxycinnamaldehydes and hydroxybenzaldehydes into lignins. Org Biomol Chem 1:268–281

    Article  CAS  Google Scholar 

  • Kim HW, Lee CH, Lee HS (2009) Antibacterial activities of persimmon roots-derived materials and 1,4-naphthoquinone’s derivatives against intestinal bacteria. Food Sci Biotechnol 18:755–760

    CAS  Google Scholar 

  • Kirino A, Takasuka Y, Nishi A, Kawabe S, Yamashita H, Kimoto M, Ito H, Tsuji H (2012) Analysis and functionality of major polyphenolic components of Polygonum cuspidatum. J Nutr Sci Vitaminol 58:278–286

    Article  CAS  Google Scholar 

  • Ko SK (2000) A new stilbene diglycoside from Rheum undulatum. Arch Pharm Res 23:159–162

    Article  CAS  Google Scholar 

  • Kong YH, Zhang L, Yang ZY, Han C, Hu LH, Jiang HL, Shen X (2008) Natural product juglone targets three key enzymes from Helicobacter pylori: inhibition assay with crystal structure characterization. Acta Pharmacol Sin 29:870–876

    Article  CAS  Google Scholar 

  • Kot M, Karcz W, Zaborska W (2010) 5-Hydroxy-1,4-naphthoquinone (juglone) and 2-hydroxy-1,4 naphthoquinone (lawsone) influence on jack bean urease activity: elucidation of the difference in inhibition activity. Bioorg Chem 38:132–137

    Article  CAS  Google Scholar 

  • Lu Y, Berthod A, Hu R, Ma W, Pan Y (2009) Screening of complex natural extracts by countercurrent chromatography using a parallel protocol. Anal Chem 81:4048–4059

    Article  CAS  Google Scholar 

  • Mammo W, Dagne E, Steglich W (1992) Quinone pigments from Araliorhamnus vaginita. Phytochemistry 10:3577–3581

    Article  Google Scholar 

  • Manickam M, Boggu PR, Cho J, Nam YJ, Lee SJ, Jung SH (2018) Investigation of chemical reactivity of 2-alkoxy-1,4-naphthoquinones and their anticancer activity. Bioorg Med Chem Lett 28:2023–2028

    Article  CAS  Google Scholar 

  • Omura S, Tanaka H, Okada Y, Marumo H (1976) Isolation and structure of nanaomycin D, an enantiomer of the antibiotic kalafungin. J Chem Soc Chem Commun 9:320–321

    Article  Google Scholar 

  • Park BS, Lee HK, Lee SE, Piao XL, Takeoka GR, Wong RY, Ahn YJ, Kim JH (2006) Antibacterial activity of Tabebuia impetiginosa Martius ex DC (Taheebo) against Helicobacter pylori. J Ethnopharmacol 105:255–262

    Article  CAS  Google Scholar 

  • Park JY, Dunbar KB, Mitui M, Arnold CA, Lam-Himlin DM, Valasek MA, Thung I, Okwara C, Coss E, Cryer B, Doern CD (2016) Helicobacter pylori clarithromycin resistance and treatment failure are common in the USA. Dig Dis Sci 61:2373–2380

    Article  CAS  Google Scholar 

  • Patocka J, Navratilova Z, Ovando M (2017) Biologically active compounds of Knotweed (Reynoutria spp.). Mil Med Sci Lett 86:17–31

    Article  Google Scholar 

  • Peng W, Qin R, Li X, Zhou H (2013) Botany, phytochemistry, pharmacology, and potential application of Polygonum cuspidatum Sieb. et Zucc.: a review. J Ethnopharmacol 148:729–745

    Article  CAS  Google Scholar 

  • Phutdhawong W, Eksinitkun G, Ruensumran W, Taechowisan T, Phutdhawong WS (2012) Synthesis and anticancer activity of 5,6,8,13-tetrahydro-7H-naphtho[2,3-a][3]-benzazepine-8,13-diones. Arch Pharm Res 35:769–777

    Article  CAS  Google Scholar 

  • Ren ZY, Qi HY, Shi YP (2008) Phytochemical investigation of Anaphalis lactea. Planta Med 74:859–863

    Article  CAS  Google Scholar 

  • Ryu CK, Chae MJ (2005) Synthesis and antifungal activity of naphthalene-l,4-diones modified at positions 2, 3, and 5. Arch Pharm Res 28:750–755

    Article  CAS  Google Scholar 

  • Shah MA, Keach JE, Panichayupakaranant P (2018) Antidiabetic naphthoquinones and their plant resources in Thailand. Chem Pharm Bull 66:483–492

    Article  CAS  Google Scholar 

  • Shan B, Cai YZ, Brooks JD, Cork H (2008) Antibacterial properties of Polygonum cuspidatum roots and their major bioactive constituents. Food Chem 109:530–537

    Article  CAS  Google Scholar 

  • Son DJ, Park YH, Kim YM, Chung NH, Lee HS (2005) Antiplatelete activity of thujopsis dolabrata var. hondai-derived component against platelet aggregation. J Microbiol Biotechnol 15:425–427

    CAS  Google Scholar 

  • Sreelatha T, Kandhasamy S, Dinesh R, Shruthy S, Shweta S, Mukesh D, Karunagaran D, Balaji R, Mathivanan N, Perumal PT (2014) Synthesis and SAR study of novel anticancer and antimicrobial naphthoquinone amide derivatives. Bioorg Med Chem Lett 24:3647–3651

    Article  CAS  Google Scholar 

  • Steyn PS, Holzapfel CW, Ferrerira NP (1970) The biosynthesis of the ochratoxins, metabolites of Aspergillus ochraceus. Phytochemistry 9:1977–1983

    Article  CAS  Google Scholar 

  • Tandon VK, Singh RV, Yadav DB (2004) Synthesis and evaluation of novel 1,4-naphthoquinone derivatives as antiviral, antifungal and anticancer agents. Bioorg Med Chem Lett 14:2901–2904

    Article  CAS  Google Scholar 

  • Tankovic J, Lamarque D, Lascols C, Soussy CJ, Delchier JC (2001) Clarithromycin resistance of Helicobacter pylori has a major impact on the efficacy of the omeprazole-amoxicillin-clarithromycin therapy. Pathol Biol 49:528–533

    Article  CAS  Google Scholar 

  • Wang Y-C (2014) Medicinal plant activity on Helicobacter pylori related diseases. World J Gastroenterol 20:10368–10382

    Article  CAS  Google Scholar 

  • Wang Y-C, Huang T-L (2005) Screening of anti-Helicobacter pylori herbs deriving from Taiwanese folk medicinal plants. FEMS Immunol Med Microbiol 43:295–300

    Article  CAS  Google Scholar 

  • Wang Y-C, Li W-Y, Wu D-C, Wang J-J, Wu C-H, Liao J-J, Lin C-K (2011) In vitro activity of 2-methoxy-1,4-naphthoquinone and stigmasta-7,22-diene-3β-ol from Impatiens balsamina L. against multiple antibiotic-resistant Helicobacter pylori. Evid Based Complement Alternat Med. 704721. https://doi.org/10.1093/ecam/nep147

  • Widhalm JR, Rhodes D (2016) Biosynthesis and molecular actions of specialized 1,4-naphthoquinone natural products produced by horticultural plants. Hortic Res 3:16046. https://doi.org/10.1038/hortres.2016.46

    Article  PubMed  PubMed Central  CAS  Google Scholar 

Download references

Acknowledgements

This study was carried out with the support of National Research Foundation of Korea (NRF) (NRF-2017R1A2B4008859), the Next-Generation BioGreen 21 Program (SSAC, Grant# PJ01318402), the Rural Development Administration, Republic of Korea and the Gyeongsang National University Fund for Professors on Sabbatical Leave, 2017.

Author information

Affiliations

Authors

Corresponding author

Correspondence to Mi-Jeong Ahn.

Ethics declarations

Conflict of interest

The authors declare no conflict of interest.

Additional information

Publisher's Note

Springer Nature remains neutral with regard to jurisdictional claims in published maps and institutional affiliations.

Electronic supplementary material

Below is the link to the electronic supplementary material.

Supplementary material 1 (DOCX 22521 kb)

Rights and permissions

Reprints and Permissions

About this article

Verify currency and authenticity via CrossMark

Cite this article

Khalil, A.A.K., Park, W.S., Lee, J. et al. A new anti-Helicobacter pylori juglone from Reynoutria japonica. Arch. Pharm. Res. 42, 505–511 (2019). https://doi.org/10.1007/s12272-019-01160-x

Download citation

  • Received:

  • Accepted:

  • Published:

  • Issue Date:

  • DOI: https://doi.org/10.1007/s12272-019-01160-x

Keywords

  • Reynoutria japonica
  • Juglone derivatives
  • Anti-Helicobacter pylori activity