Abstract
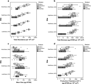
Continuing trends of declining bottom-water dissolved oxygen (BWDO) in coastal oceans are a threat to marine organisms, especially the benthos, and in the northern Gulf of Mexico (nGOM), the hypoxic area is expected to expand. Within-sediment vertical functional metric responses of macrobenthos were examined in four depth strata at four sites with different histories of exposure to seasonal hypoxia. The sites H7, D5, E4, and A6 between 30 and 39-m water depth represented a historical oxygen stress gradient from 5.4 to 2.1 mg L−1 BWDO (mid-summer 11-year mean), from which macrobenthos were sampled in spring and late summer 2009 and in mid-summer in 2010. High abundance together with high biomass and production potential within upper strata under low BWDO stress supports the primacy of a numerically driven response in this system. Total abundance decreased along the BWDO stress gradient, and the lowest abundance coincided at the highest stress (MaxStress) site together with the highest proportion of opportunists, the smallest mean size, and the shortest turnover time. Accordingly, the relative abundance of opportunists within the upper two strata increased while surface deposit feeders decreased with greater hypoxic stress. Notwithstanding the proportion of opportunists, functional metrics generally decreased across the BWDO stress gradient within the upper strata, and metrics generally varied inversely between upper and lower strata. The findings underscore how vertical benthos distribution patterns reflect the BWDO exposure regime and how secondary production varies as an indicator of trophic transfer potential and organic matter processing within this system.



References
Baustian, M.M., and N.N. Rabalais. 2009. Seasonal composition of benthic macroinfauna exposed to hypoxia in the northern Gulf of Mexico. Estuaries and Coasts 32 (5): 975–983. https://doi.org/10.1007/s12237-009-9187-3.
Blake, J.A. 1994. Vertical distribution of benthic infauna in continental slope sediments off Cape Lookout, North Carolina. Deep Sea Research Part II: Topical Studies in Oceanography 41 (4-6): 919–927. https://doi.org/10.1016/0967-0645(94)90054-x.
Borja, A., J. Franco, and V. Pérez. 2000. A marine biotic index to establish the ecological quality of soft bottom benthos within European estuarine and coastal environments. Marine Pollution Bulletin 40 (12): 1100–1114.
Briggs, K.B., G. Cartwright, C.T. Friedrichs, and S. Shivarudrappa. 2015a. Biogenic effects on cohesive sediment erodibility resulting from recurring seasonal hypoxia on the Louisiana shelf. Continental Shelf Research 93: 17–26.
Briggs, K.B., V.A. Hartmann, K.M. Yeager, S. Shivarudrappa, R.J. Díaz, L.E. Osterman, and A.H. Reed. 2015b. Influence of hypoxia on biogenic structure in sediments on the Louisiana continental shelf. Estuarine, Coastal and Shelf Science 164: 147–160.
Briggs, K.B., J.K. Craig, S. Shivarudrappa, and T.M. Richards. 2017. Macrobenthos and megabenthos responses to long-term, large-scale hypoxia on the Louisiana continental shelf. Marine Environmental Research 123: 38–52.
Cole, G. 1953. Notes on the vertical distribution of organisms in the profundal sediments of Douglas Lake, Michigan. American Midland Naturalist 49 (1): 252–256. https://doi.org/10.2307/2422292.
Conley, D., J. Carstensen, J. Aigars, P. Axe, E. Bonsdorff, T. Eremina, B. Haahti, C. Humborg, P. Jonsson, J. Kotta, C. Lännegren, U. Larsson, A. Maximov, M. Medina, E. Lysiak-Pastuszak, N. Remeikaitė-Nikienė, J. Walve, S. Wilhelms, and L. Zillén. 2011. Hypoxia is increasing in the coastal zone of the Baltic Sea. Environmental Science and Technology 45 (16): 6777–6783. https://doi.org/10.1021/es201212r.
Dauer, D.M., A.J. Rodi Jr., and J.A. Ranasinghe. 1992. Effects of low dissolved oxygen events on the macrobenthos of the lower Chesapeake Bay. Estuaries 15 (3): 384–391.
Diaz, R.J., and R. Rosenberg. 1995. Marine benthic hypoxia—review of ecological effects and behavioral responses on macrofauna. Oceanography and Marine Biology 33: 245–303.
Diaz, R.J., and R. Rosenberg. 2008. Spreading dead zones and consequences for marine ecosystems. Science 321 (5891): 926–929.
Edgar, G.J. 1990. The use of size structure of benthic macrofaunal communities to estimate faunal biomass and secondary production. Journal of Experimental Marine Biology and Ecology 137 (3): 195–214.
Fauchald, K., and P.A. Jumars. 1979. The diet of worms: a study of polychaete feeding guilds. Oceanography and Marine Biology, an Annual Review 17: 193–284.
Filgueiras, V., L. Campos, H. Lavrado, R. Frensel, and R. Pollery. 2007. Vertical distribution of macrobenthic infauna from the shallow sublittoral zone of Admiralty Bay, King George Island, Antarctica. Polar Biology 30 (11): 1439–1447. https://doi.org/10.1007/s00300-007-0305-z.
Flach, E., and C. Heip. 1996. Vertical distribution of macrozoobenthos within the sediment on the continental slope of the Goban Spur area (NE Atlantic). Marine Ecology Progress Series 141: 55–66. https://doi.org/10.3354/mFeps141055.
Glud, R.N. 2008. Oxygen dynamics of marine sediments. Marine Biology Research 4 (4): 243–289.
Grassle, J.F., and J.P. Grassle. 1974. Opportunistic life histories and genetic systems in marine benthic polychaetes. Journal of Marine Research 32: 253–284.
Gray, J.S., R.S. Wu, and Y.Y. Or. 2002. Effects of hypoxia and organic enrichment on the coastal marine environment. Marine Ecology Progress Series 238: 249–279.
Greenstreet, S., L. Robinson, H. Reiss, J. Craeymeersch, R. Callaway, A.Goffin, L. Jorgensen, M. Robertson, I. Kröncke, I. deBoois, N. Jacob, and J. Lancaster. 2007. Species composition, diversity, biomass, and production of the benthic invertebrate community of the North Sea. Fisheries Research Services Collaborative Report 10/07. Aberdeen, Scotland: Fisheries Research Services Marine Laboratory.
Grizzle, R.E. 1984. Pollution indicator species of macrobenthos in a coastal lagoon. Marine Ecology-Progress Series 18: 191–200.
Hayashi, I. 1988. Vertical distribution of macrobenthic organisms in various sediments of the shelf area in the Sea of Japan with special reference to polychaetous annelids. Nippon Suisan Gakkaishi 54 (12): 2071–2078. https://doi.org/10.2331/suisan.54.2071.
Hines, A.H., and K.L. Comtois. 1985. Vertical distribution of infauna in sediments of a subestuary of central Chesapeake Bay. Estuaries 8 (3): 296–304. http://www.jstor.org/stable/1351490.
Holm, S. 1979. A simple sequentially rejective multiple test procedure. Scandinavian Journal of Statistics 6: 65–70.
Huryn, A.D., and A.C. Benke. 2007. Relationship between biomass turnover and body size for stream communities. In Body size: the structure and function of aquatic ecosystems, ed. A. Hildrew, D. Raffaelli, and R. Edmonds-Brown, 55–76. New York: Cambridge University Press.
Jumars, P.A., K.M. Dorgan, and S.M. Lindsay. 2015. Diet of worms emended: an update of polychaete feeding guilds. Annual Review of Marine Science 7 (1): 497–520. https://doi.org/10.1146/annurev-marine-010814-020007.
Kristensen, E. 2000. Organic matter diagenesis at the oxic/anoxic interface in coastal marine sediments, with emphasis on the role of burrowing animals. Hydrobiologia 426 (1): 1–24.
Mangum, C., and W. Van Winkle. 1973. Responses of aquatic invertebrates to declining oxygen conditions. American Zoologist 13: 529–541. Oxford: Oxford University Press. https://doi.org/10.1093/icb/13.2.529
Muniz, P., A. Pires-Vanin, and N. Venturini. 2013. Vertical distribution patterns of macrofauna in a subtropical near-shore coastal area affected by urban sewage. Marine Ecology 34 (2): 233–250. https://doi.org/10.1111/maec.12010.
Nilsson, H.C., and R. Rosenberg. 2000. Succession in marine benthic habitats and fauna in response to oxygen deficiency: analysed by sediment profile-imaging and by grab samples. Marine Ecology Progress Series 197: 139–149.
Pacheco, A.S., M.T. González, J. Bremner, M. Oliva, O. Heilmayer, J. Laudien, and J.M. Riascos. 2010. Functional diversity of marine macrobenthic communities from sublittoral soft-sediment habitats off northern Chile. Helgoland Marine Research 65: 413–424.
Pearson, T.H., and R. Rosenberg. 1978. Macrobenthic succession in relation to organic enrichment and pollution of the environment. Oceanography and Marine Biology 16: 229–311.
Persson, A., and J. Svensson. 2006. Vertical distribution of benthic community responses to fish predators, and effects on algae and suspended material. Aquatic Ecology 40 (1): 85–95. https://doi.org/10.1007/s10452-005-9014-2.
Quijon, P., and P. Snelgrove. 2008. Trophic complexity in marine sediments: new evidence from the Gulf of St. Lawrence. Marine Ecology Progress Series 371: 85–89.
Quijon, P., and E. Jaramillo. 1996. Seasonal vertical distribution of the intertidal macroinfauna in an estuary of south-central Chile. Estuarine, Coastal and Shelf Science 43 (5): 653–663. https://doi.org/10.1006/ecss.1996.0094.
Rabalais, N.N., and R.E. Turner. 2001. Hypoxia in the northern Gulf of Mexico: description, causes, and change. In Coastal hypoxia: consequences for living resources and ecosystems, ed. N.N. Rabalais and R.E. Turner, 1–36. Washington, DC: Coastal American Geophysical Union.
Rabalais, N.N., R.E. Turner, and D. Scavia. 2002. Beyond science into policy: Gulf of Mexico hypoxia and the Mississippi River. Bioscience 33: 235–263.
Rabalais, N.N., R.E. Turner, B.K. Sen Gupta, D.F. Boesch, P. Chapman, and M.C. Murrell. 2007. Hypoxia in the northern Gulf of Mexico: does the science support the plan to reduce, mitigate, and control hypoxia? Estuaries and Coasts 30 (5): 753–772. https://doi.org/10.1007/BF02841332.
Rakocinski, C.F. 2012. Evaluating macrobenthic process indicators in relation to organic enrichment and hypoxia. Ecological Indicators 13: 1–12.
Rakocinski, C.F., and D.P. Menke. 2016. Seasonal hypoxia regulates macrobenthic function and structure in the Mississippi Bight. Marine Pollution Bulletin 105 (1): 299–309. https://doi.org/10.1016/j.marpolbul.2016.02.006.
Rakocinski, C.F., and G.A. Zapfe. 2005. Chapter 20. Macrobenthic process indicators of estuarine condition. In Estuarine indicators, ed. S.A. Bortone, 315–331. Boca Raton: CRC Press.
Ricciardi, A., and E. Bourget. 1998. Weight-to-weight conversion factors for marine benthic macroinvertebrates. Marine Ecology Progress Series 163: 245–251.
Robertson, A.I. 1979. The relationship between annual production:biomass ratios and lifespans for marine macrobenthos. Oecologia 38 (2): 193–202. https://doi.org/10.1007/bf00346563.
Rodil, I., S. Cividanes, M. Lastra, and J. López. 2008. Seasonal variability in the vertical distribution of benthic macrofauna and sedimentary organic matter in an estuarine beach (NW Spain). Estuaries and Coasts 31 (2): 382–395. https://doi.org/10.1007/s12237-007-9017-4.
Rosenberg, R., H.C. Nilsson, and R.J. Diaz. 2001. Response of benthic fauna and changing sediment redox profiles over a hypoxic gradient. Estuarine, Coastal and Shelf Science 53 (3): 343–350.
Shirayama, Y., and M. Horikoshi. 1982. Vertical distribution of smaller macrobenthos and larger meiobenthos in the sediment profile in the deep-sea system of Suruga Bay (central Japan). Journal of the Oceanographical Society of Japan 38 (5): 273–280. https://doi.org/10.1007/bf02114531.
Shivarudrappa, S.K. 2015. Macrobenthic communities in the northern Gulf of Mexico hypoxic zone: testing the Pearson-Rosenberg model. PhD Dissertation, University of Southern Mississippi, Hattiesburg. http://aquila.usm.edu/dissertations/176/
Shivarudrappa, S.K., and K.B. Briggs. 2017. Macrobenthos community succession in the northern Gulf of Mexico hypoxic regions: testing the Pearson-Rosenberg model. Journal of Marine Research 75 (1): 18–46. https://doi.org/10.1357/002224017821219036.
Simonini, R., I. Ansaloni, A. Bonvicinipagliai, and D. Prevedelli. 2004. Organic enrichment and structure of the macrozoobenthic community in the northern Adriatic Sea in an area facing Adige and Po mouths. ICES Journal of Marine Science 61 (6): 871–881. https://doi.org/10.1016/j.icesjms.2004.06.018.
Soininen, J. 2010. Species turnover along abiotic and biotic gradients: patterns in space equal patterns in time? Bioscience 60 (6): 433–439. https://doi.org/10.1525/bio.2010.60.6.7.
Sturdivant, S.K., R.D. Seitz, and R.J. Diaz. 2013. Effects of seasonal hypoxia on macrobenthic production and function in the Rappahannock River, Virginia, USA. Marine Ecology Progress Series 490: 53–68. https://doi.org/10.3354/meps10470.
Sturdivant, S.K., R.J. Díaz, R. Llansó, and D.M. Dauer. 2014. Relationship between hypoxia and macrobenthic production in Chesapeake Bay. Estuaries and Coasts 37 (5): 1219–1232. https://doi.org/10.1007/s12237-013-9763-4.
Vaquer-Sunyer, R., and C.M. Duarte. 2011. Temperature effects on oxygen thresholds for hypoxia in marine benthic organisms. Global Change Biology 17 (5): 1788–1797. https://doi.org/10.1111/j.1365-2486.2010.02343.x.
Weston, D.P. 1990. Quantitative examination of macrobenthic community changes along an organic enrichment gradient. Marine Ecology Progress Series 61: 233–244.
Yonge, C. 1949. On the structure and adaptations of the Tellinacea, deposit-feeding Eulamellibranchia. Philosophical Transactions of the Royal Society B: Biological Sciences 234 (609): 29–76.
Acknowledgments
We would like to thank J. Blake, G. Gaston, R. Heard, S. LeCroy, J. McLelland, and D. Menke for providing invaluable taxonomic assistance. Many colleagues assisted us in collecting and processing the data: G. Massey, J. Dale, R. Devereux, S. Epps, A. Eubanks, K. Fall, M. Fisher, W. Gardner, V. Hartmann, Z. Liu, D. McClain, M. Pathare, C. Reynolds, M. Richardson, J. Scott, M. Spearman, A. Kincke-Tootle, J. Watkins, and L. Xiao. Our special thanks go to Nancy Rabalais for providing the bottom-water O2 data and especially to the captain and crew of the R/V Pelican. The Office of Naval Research provided support for this research.
Author information
Authors and Affiliations
Corresponding author
Additional information
Communicated by Judy Grassle
Rights and permissions
About this article
Cite this article
Shivarudrappa, S.K., Rakocinski, C.F. & Briggs, K.B. Vertical Distribution of Macrobenthos in Hypoxia-Affected Sediments of the Northern Gulf of Mexico: Applying Functional Metrics. Estuaries and Coasts 42, 250–263 (2019). https://doi.org/10.1007/s12237-018-0446-z
Received:
Revised:
Accepted:
Published:
Issue Date:
DOI: https://doi.org/10.1007/s12237-018-0446-z