Abstract
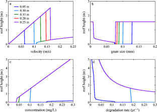
Previous field studies have demonstrated that sedimentation is an important factor that can limit oyster reef growth and restoration success. High relief reefs are more productive and resilient than low relief reefs, in part, because increasing reef height reduces sedimentation and enhances oyster growth. In this study, we investigated the relationship between initial reef height and reef development using a simple model. The model contains three coupled differential equations that describe changes in oyster volume, shell volume, and sediment volume per unit area of reef with time. The model was used to investigate how parameters such as flow speed, sediment grain size, and food concentration affect reef survival and final reef height. Whether or not a reef survives depends primarily on the shape of the sediment concentration profile relative to the initial reef height. Over a long time period, three different steady-state reef heights are possible, depending on the environmental parameters and initial reef height: (1) If growth outpaces sedimentation, the reef achieves the maximum possible height, which is independent of sedimentation parameters; (2) if deposition outpaces growth and the shear stress does not exceed the critical shear stress, the reef is buried in sediment and dies; and (3) if deposition outpaces growth and the shear stress exceeds the critical shear stress, a reduced steady-state height is achieved that depends on both growth and sedimentation parameters. The model can be used to assess the ways in which measurable environmental parameters affect reef restoration success.










Similar content being viewed by others
References
Adams, M.P., R.L. Walker, and P.B. Heffernan. 1995. The effects of stocking density, bag mesh size, and bottom sediment on the growth and survival of the eastern oyster, with emphasis on controlling spat fouling. Journal of Applied Aquaculture 4(4): 25–44.
Barillé, L., J. Prou, M. Héral, and D. Razet. 1997. Effects of high natural seston concentrations on the feeding, selection, and absorption of the oyster Crassostrea gigas. Journal of Experimental Marine Biology and Ecology 212(2): 149–172.
Berg, J.A., and R.I.E. Newell. 1986. Temporal and spatial variations in the composition of seston available to the suspension feeder Crassostrea virginica. Estuarine, Coastal and Shelf Science 23: 375–386.
Dietrich, W.E. 1982. Settling velocity of natural particles. Water Resources Research 18: 1615–1626.
Finnigan, J. 2000. Turbulence in plant canopies. Annual Review of Fluid Mechanics 32: 519–571.
Fugate, D.C., and C.T. Friedrichs. 2002. Determining concentration and fall velocity of estuarine particle populations using ADV, OBS and LISST. Continental Shelf Research 22: 1867–1886.
Ghisalberti, M., and H.M. Nepf. 2004. The limited growth of vegetated shear layers. Water Resources Research 40, W07502. doi:10.1029/2003WR002776.
Grabowski, J.H., and C.H. Peterson. 2007. Restoring oyster reefs to recover ecosystem services. Ecosystem Engineers - Plants to Protists 4: 281–289.
Jordan-Cooley, W.C., R.N. Lipcius, L.B. Shaw, J. Shen, and J. Shi. 2011. Bistability in a differential equation model of oyster reef height and sediment accumulation. Journal of Theoretical Biology 289: 1–11.
Kellogg, M.L., J.C. Cornwell, M.S. Owens, and K.T. Paytner. 2013. Denitrification and nutrient assimilation on a restored reef. Marine Ecology Progress Series 480: 1–19.
Meyer, D.L., E.C. Townsend, and G.W. Thayer. 2008. Stablization and erosion control value of oyster cultch for intertidal marsh. Restoration Ecology 5(1): 93–99.
Miller, M.C., I.N. McCave, and P.D. Komar. 1977. Threshold of sediment motion under unidirectional currents. Sedimentology 24: 507–527.
Monismith, S.G., K.A. Davis, G.G. Shellenbarger, J.L. Hench, N.J. Nidzieko, A.E. Santoro, J.H. Rosman, R. Holtzman, C.S. Martens, N.L. Lindquist, M.W. Southwell, and A. Genin. 2010. Flow effects on benthic grazing on phytoplankton by a Caribbean reef. Limnology and Oceanography 55(5): 1881–1892.
Newell, R.E. 1988. Ecological changes in Chesapeake Bay: Are they the result of overharvesting the American oyster, Crassostrea virginica. In Understanding the estuary: Advances in Chesapeake Bay research, publication 129, ed. M.P. Lynch and E.C. Krome. Baltimore: Chesapeake Research Consortium.
Peterson, C.H., J.H. Grabowski, and S.P. Powers. 2003. Estimated enhancement of fish production resulting from restoring oyster reef habitat: Quantitative valuation. Marine Ecology Progress Series 264: 249–264.
Powell, E.N., J.M. Klinck, E.E. Hoffman, and S.M. Ray. 1994. Modeling oyster populations IV: Rates of mortality, population crashes, and management. Fishery Bulletin 92: 347–373.
Powell, E.N., J.N. Kraeuter, and K.A. Ashton-Alcox. 2006. How long does oyster shell last on an oyster reef? Estuarine, Coastal and Shelf Science 69(3): 531–542.
Powers, S.P., C.H. Peterson, J.H. Grabowski, and H.S. Lenihan. 2009. Success of constructed oyster reefs in no-harvest sanctuaries: Implications for restoration. Marine Ecology Progress Series 389: 159–170.
Rodriguez, A.B., F.J. Fodrie, J.T. Ridge, N.L. Lindquist, E.J. Theuerkauf, S.E. Coleman, J.H. Grabowski, M.C. Brodeur, R.K. Gittman, D.A. Keller, and M.D. Kenworthy. 2014. Oyster reefs can outpace sea-level rise. Nature Climate Change 4: 493–497.
Schulte, D.M., R.P. Burke, and R.N. Lipcius. 2009. Unprecedented restoration of a native metapopulation. Science 325: 1124–1128.
Soniat, T.M., S.M. Ray, and L.M. Jeffrey. 1984. Components of the seston and possible available food for oysters in Galveston Bay, Texas. Contributions in Marine Science 27: 127–141.
Stokes, S., S. Wunderink, M. Lowe, and G. Gereffi. 2012. Restoring gulf oyster reefs. Durham: Duke University, Center on Globalization, Governance, and Competitiveness.
van Rijn, L.C. 1993. Principles of sediment transport in rivers, estuaries, and coastal seas. Amsterdam: Aqua Publications.
Waldbusser, G.G., and R.A. Steenson. 2011. Oyster shell dissolution in estuarine waters: Effects of pH and salinity. Journal of Shellfish Research 30(3): 659–669.
Warner, J.C., C.R. Sherwood, R.P. Signell, C.K. Harris, and H.G. Arango. 2008. Development of a three-dimensional, regional, coupled wave, current and sediment-transport model. Computers and Geosciences 34: 1284–1306.
Whitman, E.R., and M.A. Reidenbach. 2012. Benthic flow environments affect recruitment of Crassostrea virginica larvae to an intertidal oyster reef. Marine Ecology Progress Series 463: 177–191.
Acknowledgments
We are grateful to Jaye Cable, J. Wilson White, three anonymous reviewers, and the associate editor Patricia Ramey-Balci for their thoughtful comments that improved this manuscript. Partial funding for this work was provided by the PADI Foundation, the National Science Foundation (OCE-1435530), and the Tom and Elizabeth Long Excellence Fund for Honors, administered by Honors Carolina.
Author information
Authors and Affiliations
Corresponding author
Additional information
Communicated by Patricia Ramey-Balci
Electronic supplementary material
Below is the link to the electronic supplementary material.
Online Resource 1
(PDF 118 kb)
Rights and permissions
About this article
Cite this article
Housego, R.M., Rosman, J.H. A Model for Understanding the Effects of Sediment Dynamics on Oyster Reef Development. Estuaries and Coasts 39, 495–509 (2016). https://doi.org/10.1007/s12237-015-9998-3
Received:
Revised:
Accepted:
Published:
Issue Date:
DOI: https://doi.org/10.1007/s12237-015-9998-3


