Abstract
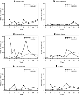
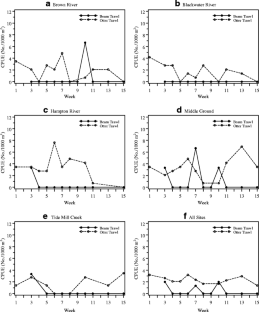
From July to October 2004, five sites in the Hampton–Seabrook Estuary in New Hampshire were sampled with beam and otter trawls. The goals were to describe winter flounder (1) abundance in the estuary, (2) size class distributions, (3) spatial distribution by different size classes, and (4) distribution patterns. Of the 19 species caught, winter flounder was the most abundant and was dominated by young-of-the-year (YOY) fish. The five sites were fairly homogenous in depth, bottom type, salinity, and temperature. However, YOY abundance ranged from 2.1 to 32.1 fish 1,000 m−2 depending on the site. Benthic community was the best indicator of juvenile winter flounder abundance. Catch data of other organisms fluctuated, but no one species was a strong predictor of winter flounder abundance and distribution. During late summer and early fall, the estuary is used primarily by YOY winter flounder, indicating that this estuary functions as a nursery ground.












References
Able, K.W., and M.P. Fahay. 1998. The first year in the life of estuarine fishes in the Middle Atlantic Bight. New Brunswick, NJ: Rutgers University Press.
Armstrong, M.P. 1995. A comparative study of the ecology of smooth flounder (Liopsetta putnami) and winter flounder (Pleuronectes americanus) from Great Bay Estuary, New Hampshire. PhD thesis. Durham, NH: University of New Hampshire.
Bigelow, H.B., and W.C. Schroeder. 1953. Fishes of the Gulf of Maine. US Fish and Wildlife Service.
Casterlin, M.E., and W.W. Reynolds. 1982. Thermoregulatory behavior and diel activity of yearling winter flounder, Pseudopleuronectes americanus (Walbaum). Environmental Biology of Fishes 7: 177–180. doi:10.1007/BF00001789.
Clarke, K.R. 1993. Non-parametric multivariate analyses of changes in community structure. Australian Journal of Ecology 18: 117–143. doi:10.1111/j.1442-9993.1993.tb00438.x.
Clarke, K.R., and R.H. Green. 1988. Statistical design and analysis for a ‘biological effects’ study. Marine Ecology Progress Series 46: 213–226. doi:10.3354/meps046213.
Clarke, K.R., and R.M. Warwick. 1994. Similarity-based testing for community pattern—The 2-way layout with no replication. Marine Biology 118: 167–176. doi:10.1007/BF00699231.
DNC (Dominion Nuclear Connecticut, Inc.). 2008. Fish ecology studies. In Monitoring the marine environment of Long Island Sound at Millstone Power Station, Waterford, Connecticut, Annual Report 2007, 11–121.
Fairchild, E.A. 1998. Winter flounder, Pseudopleuronectes americanus, stock enhancement: A preliminary investigation into the performance of cultured, juvenile fish. MS thesis. Durham, NH: University of New Hampshire.
Fairchild, E.A., and W.H. Howell. 2000. Predator–prey size relationship between Pseudopleuronectes americanus and Carcinus maenas. Journal of Sea Research 44: 81–90. doi:10.1016/S1385-1101(00)00037-X.
Fairchild, E.A., J. Fleck, and W.H. Howell. 2005. Determining an optimal release site for juvenile winter flounder Pseudopleuronectes americanus (Walbaum) in the Great Bay Estuary, NH, USA. Aquaculture Research 36: 1374–1383. doi:10.1111/j.1365-2109.2005.01355.x.
Goldberg, R., B. Phelan, J. Pereira, S. Hagan, P. Clark, A. Bejda, A. Calabrese, A. Studholme, and K.W. Able. 2002. Variability in habitat use by young-of-the-year winter flounder, Pseudopleuronectes americanus, in three northeastern U.S. estuaries. Estuaries 25: 215–226.
Hanson, J.M., and S.C. Courtenay. 1996. Seasonal use of estuaries by winter flounder in the southern Gulf of St Lawrence. Transactions of the American Fisheries Society 125: 705–718. doi:10.1577/1548-8659(1996)125<0705:SUOEBW>2.3.CO;2.
Howe, A.B., and P.G. Coates. 1975. Winter flounder movements, growth, and mortality off Massachusetts. Transactions of the American Fisheries Society 104: 13–29. doi:10.1577/1548-8659(1975)104<13:WFMGAM>2.0.CO;2.
Howell, P.T., D.R. Molnar, and R.B. Harris. 1999. Juvenile winter flounder distribution by habitat type. Estuaries 22: 1090–1095. doi:10.2307/1353086.
Ivlev, V.S. 1961. Experimental ecology of the feeding of fishes. New Haven, CT: Yale University Press.
Jones, S.H. 1997. Impact of septic tank disconnection on water quality in coastal surface water and subsurface environments. Final Report. New Hampshire Office of State Planning/Coastal Program (ed.), Concord, New Hampshire. 90 pp.
Jones, S.H. 2000. A technical characterization of estuarine and costal New Hampshire, 1–271. Durham, New Hampshire: New Hampshire Estuaries Project.
Lazzari, M.A. 2008. Habitat variability in young-of-the-year winter flounder, Pseudopleuronectes americanus, in Maine estuaries. Fisheries Research 90: 296–304. doi:10.1016/j.fishres.2007.11.020.
Linton, E. 1922. Food of young winter flounders, pp. 1–14. United States Bureau of Fisheries. Report of the United States commissioner of fisheries for the fiscal year 1921. Government Printing Office.
Lobell, M.J. 1939. Winter flounder (Pseudopleuronectes americanus). In A biological survey of the salt waters of Long Island, 1938. Report on certain fishes. Part 1, 63–96. New York Conservation Department.
Manderson, J.P., J. Pessutti, C. Meise, D. Johnson, and P. Shaheen. 2003. Winter flounder settlement dynamics and the modification of settlement patterns by post-settlement processes in a NW Atlantic estuary. Marine Ecology-Progress Series 253: 253–267. doi:10.3354/meps253253.
Manderson, J.P., J. Pessutti, J.G. Hilbert, and F. Juanes. 2004. Shallow water predation risk for a juvenile flatfish (winter flounder; Pseudopleuronectes americanus, Walbaum) in a northwest Atlantic estuary. Journal of Experimental Marine Biology and Ecology 304: 137–157. doi:10.1016/j.jembe.2003.12.004.
McCracken, F.D. 1963. Seasonal movements of the winter flounder, Pseudopleuronectes americanus (Walbaum), on the Atlantic coast. Journal of the Fisheries Research Board of Canada 20: 551–585.
Meng, L., C.D. Orphanides, and J.C. Powell. 2002. Use of a fish index to assess habitat quality in Narragansett Bay, Rhode Island. Transactions of the American Fisheries Society 131: 731–742. doi:10.1577/1548-8659(2002)131<0731:UOAFIT>2.0.CO;2.
Meng, L., G. Cicchetti, and M. Chintala. 2004. Nekton habitat quality at shallow water sites in two Rhode island coastal systems. Estuaries 27: 740–751.
Meng, L., G. Cicchetti, and S. Raciti. 2005. Relationships between juvenile winter flounder and multiple-scale habitat variation in Narragansett Bay, Rhode Island. Transactions of the American Fisheries Society 134: 1509–1519. doi:10.1577/T04-167.1.
Mulkana, M.S. 1966. The growth and feeding habits of juvenile fishes in two Rhode Island estuaries. Gulf Research Reports 2: 97–167.
NAI (Normandeau Associates, Incorporated). 2007. Seabrook station 2006 environmental monitoring in the Hampton Seabrook area. A characterization of environmental conditions.
NEFSC (Northeast Fisheries Science Center). 2006. Report of the 34th Northeast Regional Stock Assessment Workshop (34th SAW): Stock Assessment Review Committee (SARC) consensus summary of assessments. Northeast Fisheries Science Center Reference Document 02–06, 346 pp.
NHFG (New Hampshire Fish and Game Department). 2005. Programs improving management of ASMFC managed species in New Hampshire, progress report to the National Marine Fisheries Service, pp. 18–43. Durham, New Hampshire: New Hampshire Fish and Game Department, Marine Fisheries Division.
NHOEP (New Hampshire Office of Energy and Planning). 2006. Population growth trends. http://www.nh.gov/oep/programs/DataCenter/Population/PopulationGrowthTrends.htm. Accessed 11 Jun 2008.
Pearcy, W.G. 1962. Ecology of an estuarine population of winter flounder, Pseudopleuronectes americanus (Walbaum). Parts I–IV. Bulletin of the Bingham Oceanographic Society 18: 1–18.
Pereira, J.J., R. Goldberg, J.J. Ziskowski, P.L. Berrien, W.W. Morse, and D.L. Johnson, et al. 1999. Essential fish habitat source document: Winter flounder, Pseudopleuronectes americanus, life history and habitat characteristics, p. 1–39. NOAA Technical Memorandum NMFS-NE-138.
Perlmuter, A. 1947. The blackback flounder and its fishery in New England and New York, p. 92. In Bulletin of the Bingham Oceanographic Collection. Vol. 11. New Haven: Yale University.
Peterson, C.H., and M.L. Quammen. 1982. Siphon nipping: Its importance to small fishes and its impact on growth of the bivalve Protothaca staminea (Conrad). Journal of Experimental Biology and Ecology 63: 249–268. doi:10.1016/0022-0981(82)90182-4.
PSNH (Public Service of New Hampshire). 1973. Seabrook station environmental report: construction permit stage. PSNH (ed.), Seabrook, New Hampshire.
Richards, S.W. 1963. The demersal fish population of Long Island Sound. Bulletin of the Bingham Oceanographic Society 18: 1–101.
Saila, S.B. 1961a. The contribution of estuaries to the offshore winter flounder fishery in Rhode Island. Gulf and Caribbean Fisheries Institute, Proceedings 14: 95–109.
Saila, S.B. 1961b. A study of winter flounder movements. Limnology and Oceanography 6: 292–298.
Scott, W.B., and M.G. Scott. 1988. Atlantic fishes of Canada. Canadian Bulletin of Fisheries and Aquatic Sciences.
Sherman, S.A., K. Stepanek, J. Sowles, D.E. Grout, and R. Tetrault. 2005. Final Report to the Northeast Consortium on the Maine–New Hampshire inshore groundfish trawl survey, July 2003–June 2004. Maine Division of Marine Resources.
Stehlik, L.L., and C.J. Meise. 2000. Diet of winter flounder in a New Jersey estuary: Ontogenetic change and spatial variation. Estuaries 23: 381–391. doi:10.2307/1353330.
Stoner, A.W., J.P. Manderson, and J.P. Pessutti. 2001. Spatially explicit analysis of estuarine habitat for juvenile winter flounder: Combining generalized additive models and geographic information systems. Marine Ecology-Progress Series 213: 253–271. doi:10.3354/meps213253.
Taylor, D.L. 2004. Immunological detection of winter flounder (Pseudopleuronectes americanus) eggs and juveniles in the stomach contents of crustacean predators. Journal of Experimental Marine Biology and Ecology 301: 55–73. doi:10.1016/j.jembe.2003.09.013.
Taylor, D.L. 2005. Predatory impact of the green crab (Carcinus maenas Linnaeus) on post-settlement winter flounder (Pseudopleuronectes americanus Walbaum) as revealed by immunological dietary analysis. Journal of Experimental Marine Biology and Ecology 324: 112–126. doi:10.1016/j.jembe.2005.04.014.
van Guelpen, L., and C.C. Davis. 1979. Seasonal movements of the winter flounder, Pseudopleuronectes americanus, in two contrasting inshore locations in Newfoundland. Transactions of the American Fisheries Society 108: 26–37. doi:10.1577/1548-8659(1979)108<26:SMOTWF>2.0.CO;2.
Wanat, J.M. 2002. Using habitat suitability models to identify essential fish habitat for the winter flounder, Pseudopleuronectes americanus, in Great Bay Estuary, N.H. MS thesis. Durham, NH: University of New Hampshire.
Witherell, D.B., and J. Burnett. 1993. Growth and maturation of winter flounder, Pleuronectes americanus, in Massachusetts. Fishery Bulletin 91: 816–820.
Acknowledgments
The authors wish to thank J. T. Taylor for statistical guidance, S. Elzey for field assistance, S. Jones and L. Ward for Hampton–Seabrook Estuary data, Normandeau Associates, Inc. Hampton Field Office for use of their dock, the NH Port Authority for mooring services, and to the editor and anonymous reviewers for their suggestions. Special thanks are due to D. Danila for beam trawl calibration, without which we would have caught nothing. This project was funded by the National Oceanic and Atmospheric Administration through a grant to the Science Consortium for Ocean Replenishment. This is Jackson Estuarine Laboratory Contribution Series number 468.
Author information
Authors and Affiliations
Corresponding author
Rights and permissions
About this article
Cite this article
Fairchild, E.A., Sulikowski, J., Rennels, N. et al. Distribution of Winter Flounder, Pseudopleuronectes americanus, in the Hampton–Seabrook Estuary, New Hampshire: Observations from a Field Study. Estuaries and Coasts 31, 1158–1173 (2008). https://doi.org/10.1007/s12237-008-9091-2
Received:
Revised:
Accepted:
Published:
Issue Date:
DOI: https://doi.org/10.1007/s12237-008-9091-2