Abstract
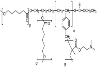
A new solid-phase microextraction (SPμE) procedure has been developed for separation and preconcentration of Sn ions by using graphite furnace atomic absorption spectrometry (GFAAS). This technique is based on the complexation of Sn(IV) ions with 1-(2-pyridylazo)-2-naphthol (PAN). The poly (ε-caprolactone-b-4-vinyl benzyl-g-dimethyl amino ethyl methacrylate) polymer (PCL vacr) was used as an adsorbent, and it was loaded in micropipette tip of syringe system. Sn(IV) ions were adsorbed on polymer at pH 6. Different experimental conditions were optimized such as pH, amount of complexing agent, and amount of adsorbent. The detection limit (LOD), limit of quantification, preconcentration factor (PF), and relative standard deviation (RSD) were found as 4.5 ng L−1, 13.5 ng L−1, 100, and 3.3%, respectively. Certified reference materials were used to confirm the accuracy of the investigated procedure, and the procedure was successfully practiced for determination of entire concentration of tin within beverages and different food samples.




Similar content being viewed by others
Explore related subjects
Discover the latest articles and news from researchers in related subjects, suggested using machine learning.References
Adams IU, Happiness IU (2010) Estimation of toxic metals in canned milk products from unlaquered tin plate cans. J Am Sci 6:1–6
Bermejo-Barrera P, Gonzalez-Campos G, Ferron-Novais M, Bermejo-Barrera A (1998) Column preconcentration of organotin with tropolone-immobilized and their determination by electrothermal atomization absorption spectrometry. Talanta 46:1479–1484
Commission Regulation (EC) No 1881/2006. Setting maximum levels for certain contaminants in foodstuffs. Available in: https://ec.europa.eu/jrc/en/eurl/heavymetals/legislation
Cruz-Vera M, Lucena R, Cárdenas S, Valcárcel M (2009) One-step in-syringe ionic liquid-based dispersive liquid–liquid microextraction. J Chromatogr A 1216:6459–6465
Fornieles AC, de Torres AG, Alonso EV, Pavón JC (2013) Determination of antimony, bismuth and tin in natural waters by flow injection solid phase extraction coupled with online hydride generation inductively coupled plasma mass spectrometry. J Anal At Spectrom 28:364–372
Gholivand M, Babakhanian A, Rafiee E (2008) Determination of Sn (II) and Sn (IV) after mixed micelle-mediated cloud point extraction using α-polyoxometalate as a complexing agent by flame atomic absorption spectrometry. Talanta 76:503–508
Gurkan R, Altunay N (2015) Determination of total Sn in some canned beverages by FAAS after separation and preconcentration. Food Chem 177:102–110
Hazer B (2010) Amphiphilic poly (3-hydroxy alkanoate) s: potential candidates for medical applications. Int J Polym Sci 2010:1–8. https://doi.org/10.1155/2010/423460
Huang X, Zhang W, Han S, Wang X (1997) Determination of tin in canned foods by UV/visible spectrophotometric technique using mixed surfactants. Talanta 44:817–822
Leepipatpiboon V (1995) Trace enrichment by solid-phase extraction for the analysis of heavy metals in water. J Chromatogr A 697:137–143
Lemos VA, Teixeira LSG, Bezerra MA, Costa ACS, Castro JT, Cardoso LAM, de Jesus DS, Santos ES, Baliza PX, Santos LN (2008) New materials for solid-phase extraction of trace elements. Appl Spectrosc Rev 43:303–334
Madrakian T, Ghazizadeh F (2009) Micelle-mediated extraction and determination of tin in soft drink and water samples. J Braz Chem Soc 20:1535–1540
Manzoori JL, Amjadi M, Abolhasani D (2006) Spectrofluorimetric determination of tin in canned foods. J Hazard Mater 137:1631–1635
Naeemullah, Kazi TG, Tuzen M (2015) Magnetic stirrer induced dispersive ionic-liquid microextraction for the determination of vanadium in water and food samples prior to graphite furnace atomic absorption spectrometry. Food Chem 172:161–165
Pawlik-Skowrońska B, Kaczorowska R, Skowroński T (1997) The impact of inorganic tin on the planktonic cyanobacterium Synechocystis aquatilis: the effect of pH and humic acid. Environ Pollut 97:65–69
Puri BK, Muñoz-Olivas R, Cámara C (2004) A new polymeric adsorbent for screening and pre-concentration of organotin compounds in sediments and seawater samples. Spectrochim Acta B At Spectrosc 59:209–214
Saleh S, Said S, El-Shahawi M (2001) Extraction and recovery of Au, Sb and Sn from electrorefined solid waste. Anal Chim Acta 436:69–77
Şanal T, Oruç O, Öztürk T, Hazer B (2015) Synthesis of pH-and thermo-responsive poly (ε-caprolactone-b-4-vinyl benzyl-g-dimethyl amino ethyl methacrylate) brush type graft copolymers via RAFT polymerization. J Polym Res 22:3
Somer G, Unal U (2011) Simultaneous determination of trace Sn (II) and Sn (IV) using differential pulse polarography and application. Turk J Chem 35:73–85
Tsogas GZ, Giokas DL, Vlessidis AG (2009) Graphite furnace and hydride generation atomic absorption spectrometric determination of cadmium, lead, and tin traces in natural surface waters: study of preconcentration technique performance. J Hazard Mater 163:988–994
Tuzen M, Soylak M (2007) Evaluation of trace element contents in canned foods marketed from Turkey. Food Chem 102:1089–1095
Uluozlu OD, Tuzen M (2015) Carrier element-free coprecipitation and speciation of inorganic tin in beverage samples and total tin in food samples using N-Benzoyl-N, N-diisobutylthiourea and its determination by graphite furnace atomic absorption spectrometry. LWT Food Sci Technol 63:1091–1096
Ulusoy S, Ulusoy HI, Akçay M, Gürkan R (2012) Inexpensive and versatile method for trace Sn (II) and Sn (IV) ions in food samples by CPE/FAAS. Food Chem 134:419–426
Ulusoy Hİ, Aksoy Ü, Akçay M (2013) Simultaneous pre-concentration of Pb and Sn in food samples and determination by atomic absorption spectrometry. Eur Food Res Technol 236:725–733
Yang H-J, Jiang S-J, Yang Y-J, Hwang C-J (1995) Speciation of tin by reversed phase liquid chromatography with inductively coupled plasma mass spectrometric detection. Anal Chim Acta 312:141–148
Yildiz U, Hazer B, Tauer K (2012) Tailoring polymer architectures with macromonomer azoinitiators. Polym Chem 3:1107–1118
Yuan C-G, Jiang G-B, He B, J-f L (2005) Preconcentration and determination of tin in water samples by using cloud point extraction and graphite furnace atomic absorption spectrometry. Microchim Acta 150:329–334
Zaporozhets O, Ivanko L, Marchenko I, Orlichenko E, Sukhan V (2001) Quercetin immobilized on silica gel as a solid phase reagent for tin (IV) determination by using the sorption-spectroscopic method. Talanta 55:313–319
Zhang W, Müller AH (2010) Synthesis of tadpole-shaped POSS-containing hybrid polymers via click chemistry. Polymer 51:2133–2139
Zhou Q, Bai H, Xie G, Xiao J (2008) Temperature-controlled ionic liquid dispersive liquid phase micro-extraction. J Chromatogr A 1177:43–49
Zounr RA, Tuzen M, Khuhawar MY (2017) Novel ultrasonic-assisted deep eutectic solvent-based dispersive liquid–liquid microextraction for determination of vanadium in food samples by electrothermal atomic absorption spectrometry: a multivariate study. Appl Organomet Chem 32. https://doi.org/10.1002/aoc.4144
Funding
Rizwan Ali Zounris gratefully acknowledge the financial support from TUBITAK, Government of Turkey, through the 2216 fellowship program for the foreign citizens and providing financial support. Dr. Mustafa Tuzen thank the Gaziosmanpasa University and King Fahd University of Petroleum and Minerals, Research Institute, Center for Environment and Water for their supports. He also thank the Turkish Academy of Sciences for the financial support.
Author information
Authors and Affiliations
Corresponding author
Ethics declarations
Conflict of Interest
R. A. Zounr declares that he has no conflict of interest. Mustafa Tuzen declares that he has no conflict of interest. Baki Hazer declares that he has no conflict of interest. M. Y. Khuhawar declares that he has no conflict of interest.
Ethical Approval
This research does not have any studies with human subjects or animals performed by any of the authors.
Informed Consent
Not applicable.
Rights and permissions
About this article
Cite this article
Zounr, R.A., Tuzen, M., Hazer, B. et al. Solid-Phase Microextraction and Determination of Tin Species in Beverages and Food Samples by Using Poly (ε-Caprolactone-b-4-Vinyl Benzyl-g-Dimethyl Amino Ethyl Methacrylate) Polymer in Syringe System: a Multivariate Study. Food Anal. Methods 11, 2538–2546 (2018). https://doi.org/10.1007/s12161-018-1237-7
Received:
Accepted:
Published:
Issue Date:
DOI: https://doi.org/10.1007/s12161-018-1237-7


