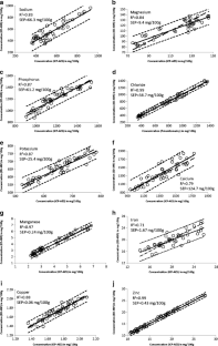
Abstract
A simple and fast method for the quantification of a series of macro elements (Na, Mg, P, Cl, K and Ca) and trace elements (Mn, Fe, Cu and Zn) by Energy Dispersive X-Ray Fluorescence (ED-XRF) was developed and validated using samples of commercial dry pet foods. All samples were systematically analyzed by reference methods (i.e. Potentiometry for chloride and Inductively coupled plasma-atomic emission spectroscopy (ICP-AES) for other elements) and by ED-XRF. A calibration set of 33 samples was selected to uniformly cover the concentration ranges of each element and their reference method values were used to calibrate the ED-XRF device. A second set (the validation set) was composed of 46 other samples, which were analyzed as unknowns. During this validation step, the elemental concentrations obtained by ED-XRF were systematically evaluated against those obtained from the reference methods. Using robust statistics, for the 10 investigated analytes, the bias between both methods was found to be not significantly different from 0 and the relative uncertainties RSD(u) were found to be lower than 15 %. This study demonstrated that ED-XRF is a fast and reliable method for minerals quantification in dry pet foods.



Similar content being viewed by others
Explore related subjects
Discover the latest articles and news from researchers in related subjects, suggested using machine learning.References
AACC, American Association of Cereal Chemists International (1999) Near-infrared methods-guidelines for Model Development and Maintenance. Method 39–00.01
AAFCO, Association of American Feed Control Officials (2016) Dog and cat food nutrient profiles. Official Publication
Alvarez M, Mazo-Gray V (1990) Determination of potassium and calcium in milk powder by ED-XRF spectroscopy. X-Ray Spectrom 19:285–287
AOAC International (1943) Ash of Animal Feed. Final Action Official MethodSM 942.05
AOAC International (1970) Chlorine (soluble) in animal feed. Potentiometric method. Final Action Official MethodSM 969.10
AOAC International (1988) Minerals in infant formula, enteral products and Pet foods. Atomic absorption spectrophotometric method. Final Action Official MethodSM 985.35
AOAC International (1996) Phosphorus in animal feed, photometric method. Final Action Official MethodSM 965.17 rev 1
AOAC International (2013) Calcium, copper, iron, magnesium, manganese, potassium, phosphorus, sodium and zinc in fortified food products Microwave digestion and inductively coupled plasma-optical emission spectrometry. Final Action Official MethodSM 2011.14
Beckhoff B, Kanngießer B, Langhoff N, Wedell R, Wolff H (2006) In: Beckhoff B, Kanngießer B, Langhoff N, Wedell R, Wolff H (eds) Handbook of practical x-ray fluorescence analysis. Publisher: Springer, ISBN: 978–3–540-36722-2
Borgese L, Zacco A, Bontempi E, Colombi P, Bertuzzi R, Ferretti E, Tenini S, Depero L (2009) Total reflection of x-ray fluorescence (TXRF): a mature technique for environmental chemical nanoscale metrology. Meas Sci Technol 20(8):084027
Börjesson J, Isaksson M, Mattsson S (2003) X-ray fluorescence analysis in medical sciences: a review. Acta Diabetol 40(1):39–44
Byers H, McHenry L, Grundl T (2016) Forty-nine major and trace element concentrations measured in soil reference materials NIST SRM 2586, 2587, 2709a, 2710a and 2711a using ICP-MS and Wavelength Dispersive-XRF. Geostandards and Geoanalytical Research (Accepted on-line)
Campos Giménez E, Populaire S (2005) Use of validation data for fast and simple estimation of measurement uncertainty in liquid chromatography methods. J Liq Chromatogr Relat Technol 28(19):3005–3013
Carvalho M, Santiago S, Nunes M (2005) Assessment of the essential element and heavy metal content of edible fish muscle. Anal Bioanal Chem 382:426–432
Codex Alimentarius International Food Standards (2015) Recommended methods of analysis and sampling, CODEX STAN234–1999, Rome
Da Costa SS, Pereira AC, Passos EA, Alves Jdo P, Garcia CA, Araujo RG (2013) Multivariate optimization of an analytical method for the analysis of dog and cat food by ICP-OES. Talanta 108:157–164
Dayara VA, Souza SO, Costa SS, Araujo RG, Passos EA, Alves Jdo P, Passos EA (2016) Determination of Zn in dry feeds for cats and dogs by energy-dispersive X-ray fluorescence spectrometry. J AOAC Int 99(6):1–4
EN 13805: 2013 (2013) Foodstuffs-determination of trace elements–pressure digestion. Brussels
FEIAA, Fédération Européenne de l’Industrie des Aliments pour Animaux Familiers (2013) Nutritional guidelines for complete and complementary pet food for cats and dogs. Publication
Gates G (2014) Discovering the material secrets of art: tools of cultural heritage science. Am Ceram Soc Bull 93(7):20–27
Hammer D, Basic-Dvorzak M, Perring L (2004) Multielement ICP-OES analysis of mineral premixes used to fortify foods. At Spectrosc 25(1):30–36
Howard D, de Jonge M, Lau D, Hay D, Varcoe-Cocks M, Ryan C, Kirkham R, Moorhead G, Paterson D, Thurrowgood D (2012) High-definition X-ray fluorescence elemental mapping of paintings. Anal Chem 84(7):3278–3286
International Organization for Standardization (2012) ISO 6498:2012 – Animal feeding stuffs–Guidelines for sample preparation
International Organization for Standardization (2014) ISO 12269:2014, Statistical interpretation of data Geneva, Switzerland
Jastrze A, Cichosz M, Szlyk E (2010) Simple and rapid determination of phosphorus in meat samples by WD-XRF method. J Anal Chem 65(4):376–383
Jung SM (2014) Quantitative Analysis of FeMo Alloys by X-Ray Fluorescence Spectrometry. Am J Anal Chem 5:766–774
Jurado-López A, de Castro L, Pérez-Morales R (2006) Application of energy-dispersive X-ray fluorescence to Jewellery samples determining gold and silver. Gold Bull 39:16–21
Kelloway S, Ward C, Marjo C, Wainwright I, Cohen D (2014) Quantitative chemical profiling of coal using core-scanning X-ray fluorescence techniques. Int J Coal Geol 128–129:55–67
Krupskaya T, Loseva L, Anufrik S (2015) Possibilities of the method of an X-ray fluorescence analysis when evaluating essential element concentrations in food raw materials of plant origin. Pap Anthropol XXIV/1:101–106
Mamedov S (2012) Application of micro-XRF in forensic science. Microsc Microanal 18(S2):956–957
Margolyn E, Ashkenazy S, Fedoseev I, Shilnykov A (1991) Energy-dispersive x-ray fluorescence analysis in ecology: problems and decisions. X-Ray Spectrom 20:45–49
NRC, National Research Council. Nutrient Requirements of Dogs and Cats (2006) Washington, DC: National Academy Press, ISBN:978–0–309-08628-8. doi:10.17226/10668
Palmer P, Guinea D, Chu G. (2014) Rapid determination of trace metals in oil using handheld x-ray fluorescence. Spectroscopy 29(7)
Paltridge N, Milham P, Ortiz-Monasterio J, Velu G, Yasmin Z, Palmer L, Guild G, Stangoulis J (2012) Energy-dispersive X-ray fluorescence spectrometry as a tool for zinc, iron and selenium analysis in whole grain wheat. Plant Soil 361:261–269
Pashkova G (2009) X-ray fluorescence determination of element contents in milk and dairy products. Food Anal Methods 2:303–310
Perring L, Andrey D (2003) EDXRF as a tool for rapid minerals control in milk-based products. Journal of Agriculture and Food Chemistry 51:4207–4212
Perring L, Blanc J (2007) EDXRF determination of iron during infant cereals production and its fitness for purpose. Int J Food Science and Tech 42:551–555
Perring L, Blanc J (2008) Validation of quick measurement of mineral nutrients in milk powders: comparison of energy dispersive X-ray fluorescence with inductively coupled plasma-optical emission spectroscopy and potentiometry reference methods. Sens & Instrumen Food Qual 2:254–261
Perring L, Monard F (2010) Improvement of energy dispersive X-ray fluorescence throughput: influence of measuring times and number of replicates on validation performance characteristics. Food Anal Methods 3:104–115
Perring L, Andrey D, Basic-Dvorzak M, Hammer D (2005) Rapid quantification of iron, copper and zinc in food premixes using energy dispersive X-ray fluorescence. J Food Compos Anal 18:655–663
Perring L, Trisconi MJ, Blanc J (2008) Rapid determination of chloride in liquid seasoning products by EDXRF. G.I.T. Laboratory Journal 03-04:18–20
Perring L, Collet A, Nicolas M, Fragnière Rime C (2014) Multimineral determination in pet food matrices using WDXRF. (poster) 18th Norwegian X-ray Conference-Fevik-Norway, 1–3 September 2014
Rousseeuw P, Croux C (1993) Alternatives to the median absolute deviation. Journal of American Statistics Association 88(224):1273–1283
Taylor A, Barlow N, Martin P, Day M, Hill S, Patriarcae M, White M (2016) Atomic spectrometry update: review of advances in the analysis of clinical and biological materials, foods and beverages. J Anal At Spectrom (31):554–596
Traistaru E, Moldovan RC, Menelaou A, Kakouroua P, Novetschi I (2012) Statistical evaluation of the determination of Na, K, and P in feed and premixes by energy–dispersive-X-ray fluorescence spectrometry. Acta Universitatis Cibiniensis Series E: Food Technology XVI(2):21–32
Tykot RH (2016) Using nondestructive portable X-ray fluorescence spectrometers on stone, ceramics, metals, and other materials in museums: advantages and limitations. Appl Spectrosc 70(1):42–56
Van Grieken RE, Markowicz AA (2002) Handbook of X-ray spectrometry; methods and techniques, 2nd edn. Marcel Dekker, Inc., New York, USA
West M, Ellis A, Potts P, Streli C, Vanhoof C, Wobrauschek P (2015) 2015 atomic spectrometry update – a review of advances in X-ray fluorescence spectrometry and their applications. J Anal At Spectrom 30:1839–1889
Young KE, Evans CA, Hodges KV, Bleacher JE, Graff TG (2016) A review of the handheld X-ray fluorescence spectrometer as a tool for field geologic investigations on Earth and in planetary surface exploration. Applied Geochemistry 72:77--87
Acknowledgments
We are grateful to Gaëlle Chavanne for helping us analyzing part of the samples as well as Mr. Giuseppe Di Ciano (Nestlé Quality Assurance Center in Nunspeet – (The Netherlands)) for his technical support.
Author information
Authors and Affiliations
Corresponding author
Ethics declarations
Funding
No funding.
Conflict of Interest
Loïc Perring declares that he has no conflict of interest. Marine Nicolas declares that she has no conflict of interest. Daniel Andrey declares that he has no conflict of interest. Céline Fragnière Rime declares that she has no conflict of interest. Janique Richoz-Payot declares that she has no conflict of interest. Stéphane Dubascoux declares that she has no conflict of interest. Eric Poitevin declares that he has no conflict of interest.
Research Involving Human Participants and/or Animals
This article does not contain any studies with human participants or animals performed by any of the authors.
Informed Consent
Informed consent was obtained from all individual participants included in the study.
Rights and permissions
About this article
Cite this article
Perring, L., Nicolas, M., Andrey, D. et al. Development and Validation of an ED-XRF Method for the Fast Quantification of Mineral Elements in Dry Pet Food Samples. Food Anal. Methods 10, 1469–1478 (2017). https://doi.org/10.1007/s12161-016-0695-z
Received:
Accepted:
Published:
Issue Date:
DOI: https://doi.org/10.1007/s12161-016-0695-z


