Skip to main content

Prognosis predicting value of semiquantitative parameters of visceral adipose tissue and subcutaneous adipose tissue of 18F-FDG PET/CT in newly diagnosed secondary hemophagocytic lymphohistiocytosis

Abstract

Purpose

The purpose of this study was to investigate the prognosis predicting value of visceral adipose tissue (VAT) and subcutaneous adipose tissue (SAT) of 18F-FDG PET/CT, and clinical inflammatory cytokines in newly diagnosed secondary hemophagocytic lymphohistiocytosis (SHLH).

Methods

We retrospectively collected 58 patients with newly diagnosed SHLH from August 2016 to July 2019 in our hospital. All patients were followed up between 6 and 24 months. First, a comprehensive comparison of the general data between the death and the survival group was performed. Clinical lab indexes included were recorded and analyzed retrospectively. Second, the correlation between 18F-FDG PET/CT semiquantitative metabolic parameters of VAT, SAT and inflammatory cytokines was performed. 3D slicer software was used to get SUV and volume of VAT and SAT from 18F-FDG PET/CT. Third, overall survival (OS) analysis was performed. Finally, the prognosis predicting model was built based on risk factors to stratify SHLH patients.

Results

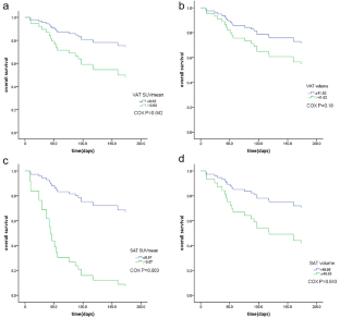
There was significant difference in WBC, PLT, FBG, IL-10, PCR tests of EBV-DNA loads, SCD25 between the death group and the survival group. There was significant correlation between SAT coefficient variance (CV) and CRP, the mean standardized uptake value (SUVmean) of SAT (SAT SUVmean) and TG, SAT SUVmean and ESR. In univariate analysis with Cox regression analysis, SUVmean of VAT (VAT SUVmean), SAT Volume, SUVmean of SAT, CV of SAT (SAT HU CV), plasma EBV-DNA, WBC, PLT, FBG showed significance with OS. In multivariate Cox regression analysis, SAT Volume, SUVmean of SAT, plasma EBV-DNA, were independent prognostic factors for OS.

Conclusions

For newly diagnosed SHLH, SAT Volume, SUVmean of SAT, plasma EBV-DNA had significant relationship with poor prognosis. They were important independent predictors for overall survival for newly diagnosed SHLH.

This is a preview of subscription content, access via your institution.

Fig. 1
Fig. 2
Fig. 3
Fig. 4
Fig. 5

References

  1. Lehmberg K, Nichols KE, Henter JI, Girschikofsky M, Greenwood T, Jordan M, Kumar A, Minkov M, La Rosee P, Weitzman S, Study Group on Hemophagocytic Lymphohistiocytosis Subtypes of the Histiocyte S. Consensus recommendations for the diagnosis and management of hemophagocytic lymphohistiocytosis associated with malignancies. Haematologica. 2015;100(8):997–1004.

    CAS  PubMed  PubMed Central  Google Scholar 

  2. Behrens EM, Koretzky GA. Review: cytokine storm syndrome: looking toward the precision medicine era. Arthr Rheumatol. 2017;69(6):1135–43.

    Article  Google Scholar 

  3. Al-Samkari H, Berliner N. Hemophagocytic Lymphohistiocytosis. Annu Rev Pathol. 2018;13:27–49.

    CAS  Article  Google Scholar 

  4. Schram AM, Berliner N. How I treat hemophagocytic lymphohistiocytosis in the adult patient. Blood. 2015;125(19):2908–14.

    CAS  Article  Google Scholar 

  5. Scheller EL, Burr AA, MacDougald OA, Cawthorn WP. Inside out: Bone marrow adipose tissue as a source of circulating adiponectin. Adipocyte. 2016;5(3):251–69.

    CAS  Article  Google Scholar 

  6. Mancuso P, Bouchard B. The impact of aging on adipose function and adipokine synthesis. Front Endocrinol (Lausanne). 2019;10:137.

    Article  Google Scholar 

  7. Henter JI, Horne A, Arico M, Egeler RM, Filipovich AH, Imashuku S, Ladisch S, McClain K, Webb D, Winiarski J, Janka G. HLH-2004: Diagnostic and therapeutic guidelines for hemophagocytic lymphohistiocytosis. Pediatr Blood Cancer. 2007;48(2):124–31.

    Article  Google Scholar 

  8. Lee JW, Kim SY, Lee HJ, Han SW, Lee JE, Lee SM. Prognostic significance of abdominal-to-gluteofemoral adipose tissue distribution in patients with breast cancer. J Clin Med. 2019;8(9):1358.

    CAS  Article  Google Scholar 

  9. Janka G, Imashuku S, Elinder G, Schneider M, Henter JI. Infection- and malignancy-associated hemophagocytic syndromes Secondary hemophagocytic lymphohistiocytosis. Hematol Oncol Clin North Am. 1998;12(2):435–44.

    CAS  Article  Google Scholar 

  10. Zheng Y, Hu G, Liu Y, Ma Y, Dang Y, Li F, Xing H, Wang T, Huo L. The role of (18)F-FDG PET/CT in the management of patients with secondary haemophagocytic lymphohistiocytosis. Clin Radiol. 2016;71(12):1248–54.

    CAS  Article  Google Scholar 

  11. Yuan L, Kan Y, Meeks JK, Ma D, Yang J. 18F-FDG PET/CT for identifying the potential causes and extent of secondary hemophagocytic lymphohistiocytosis. Diagn Interv Radiol. 2016;22(5):471–5.

    Article  Google Scholar 

  12. Collaboration NCDRF. Trends in adult body-mass index in 200 countries from 1975 to 2014: a pooled analysis of 1698 population-based measurement studies with 19.2 million participants. Lancet. 2016;387(10026):1377–96.

    Article  Google Scholar 

  13. Murphy N, Jenab M, Gunter MJ. Adiposity and gastrointestinal cancers: epidemiology, mechanisms and future directions. Nat Rev Gastroenterol Hepatol. 2018;15(11):659–70.

    CAS  Article  Google Scholar 

  14. Weschenfelder C, Schaan de Quadros A, Lorenzon Dos Santos J, Bueno Garofallo S, Marcadenti A. Adipokines and adipose tissue-related metabolites, nuts and cardiovascular disease. Metabolites. 2020;10(1):32.

    CAS  Article  Google Scholar 

  15. Yoo ID, Lee SM, Lee JW, Baek MJ, Ahn TS. Usefulness of metabolic activity of adipose tissue in FDG PET/CT of colorectal cancer. Abdom Radiol (NY). 2018;43(8):2052–9.

    Article  Google Scholar 

  16. Xu M, Jung X, Hines OJ, Eibl G, Chen Y. Obesity and pancreatic cancer: overview of epidemiology and potential prevention by weight loss. Pancreas. 2018;47(2):158–62.

    Article  Google Scholar 

  17. Bos SA, Gill CM, Martinez-Salazar EL, Torriani M, Bredella MA. Preliminary investigation of brown adipose tissue assessed by PET/CT and cancer activity. Skeletal Radiol. 2019;48(3):413–9.

    Article  Google Scholar 

  18. Lee JW, Kim SY, Lee HJ, Han SW, Lee JE, Lee SM. Prognostic significance of CT-attenuation of tumor-adjacent breast adipose tissue in breast cancer patients with surgical resection. Cancers (Basel). 2019;11(8):1135.

    CAS  Article  Google Scholar 

  19. Van de Wiele C, Van Vlaenderen M, D’Hulst L, Delcourt A, Copin D, De Spiegeleer B, Maes A. Metabolic and morphological measurements of subcutaneous and visceral fat and their relationship with disease stage and overall survival in newly diagnosed pancreatic adenocarcinoma. Eur J Nucl Med Mol Imaging. 2016;44(1):110–6.

    Article  Google Scholar 

  20. Kwon HW, Lee SM, Lee JW, Oh JE, Lee SW, Kim SY. Association between volume and glucose metabolism of abdominal adipose tissue in healthy population. Obes Res Clin Pract. 2017;11(5 Suppl 1):133–43.

    Article  Google Scholar 

  21. Oliveira AL, Azevedo DC, Bredella MA, Stanley TL, Torriani M. Visceral and subcutaneous adipose tissue FDG uptake by PET/CT in metabolically healthy obese subjects. Obesity (Silver Spring). 2015;23(2):286–9.

    CAS  Article  Google Scholar 

  22. Oguz MM, Sahin G, Altinel Acoglu E, Polat E, Yucel H, Oztek Celebi FZ, Unsal H, Akcaboy M, Sari E, Senel S. Secondary hemophagocytic lymphohistiocytosis in pediatric patients: a single center experience and factors that influenced patient prognosis. Pediatr Hematol Oncol. 2019;36(1):1–16.

    Article  Google Scholar 

  23. Ahn B-C, Pahk K, Rhee S, Kim S, Choe JG. Predictive role of functional visceral fat activity assessed by preoperative F-18 FDG PET/CT for regional lymph node or distant metastasis in patients with colorectal cancer. PLoS ONE. 2016;11(2):e0148776.

    Article  Google Scholar 

  24. Chen P, Hou X, Hu G, Wei L, Jiao L, Wang H, Chen S, Wu J, Bao Y, Jia W. Abdominal subcutaneous adipose tissue: a favorable adipose depot for diabetes? Cardiovasc Diabetol. 2018;17(1):93.

    CAS  Article  Google Scholar 

  25. Wajchenberg BL. Subcutaneous and visceral adipose tissue: their relation to the metabolic syndrome. Endocr Rev. 2000;21(6):697–738.

    CAS  Article  Google Scholar 

  26. Ebadi M, Tandon P, Moctezuma-Velazquez C, Ghosh S, Baracos VE, Mazurak VC, Montano-Loza AJ. Low subcutaneous adiposity associates with higher mortality in female patients with cirrhosis. J Hepatol. 2018;69(3):608–16.

    Article  Google Scholar 

  27. Imai K, Takai K, Miwa T, Taguchi D, Hanai T, Suetsugu A, Shiraki M, Shimizu M. Rapid depletions of subcutaneous fat mass and skeletal muscle mass predict worse survival in patients with hepatocellular carcinoma treated with sorafenib. Cancers (Basel). 2019;11(8):1206.

    CAS  Article  Google Scholar 

  28. Lee JW, Son MW, Chung IK, Cho YS, Lee MS, Lee SM. Significance of CT attenuation and F-18 fluorodeoxyglucose uptake of visceral adipose tissue for predicting survival in gastric cancer patients after curative surgical resection. Gastric Cancer. 2020;23(2):273–84.

    CAS  Article  Google Scholar 

  29. Cheng X, Zhang Y, Wang C, Deng W, Wang L, Duanmu Y, Li K, Yan D, Xu L, Wu C, Shen W, Tian W. The optimal anatomic site for a single slice to estimate the total volume of visceral adipose tissue by using the quantitative computed tomography (QCT) in Chinese population. Eur J Clin Nutr. 2018;72(11):1567–75.

    CAS  Article  Google Scholar 

  30. Nahmias C, Wahl LM. Reproducibility of standardized uptake value measurements determined by 18F-FDG PET in malignant tumors. J Nucl Med. 2008;49(11):1804–8.

    Article  Google Scholar 

  31. Fujiwara F, Hibi S, Imashuku S. Hypercytokinemia in hemophagocytic syndrome. Am J Pediatr Hematol Oncol. 1993;15(1):92–8.

    CAS  Article  Google Scholar 

  32. Tang Y, Xu X, Song H, Yang S, Shi S, Wei J, Pan B, Zhao F, Liao C, Luo C. Early diagnostic and prognostic significance of a specific Th1/Th2 cytokine pattern in children with haemophagocytic syndrome. Br J Haematol. 2008;143(1):84–91.

    CAS  Article  Google Scholar 

  33. Osugi Y, Hara J, Tagawa S, Takai K, Hosoi G, Matsuda Y, Ohta H, Fujisaki H, Kobayashi M, Sakata N, Kawa-Ha K, Okada S, Tawa A. Cytokine production regulating Th1 and Th2 cytokines in hemophagocytic lymphohistiocytosis. Blood. 1997;89(11):4100–3.

    CAS  Article  Google Scholar 

  34. Hayden A, Park S, Giustini D, Lee AY, Chen LY. Hemophagocytic syndromes (HPSs) including hemophagocytic lymphohistiocytosis (HLH) in adults: a systematic scoping review. Blood Rev. 2016;30(6):411–20.

    Article  Google Scholar 

  35. Otrock ZK, Eby CS. Clinical characteristics, prognostic factors, and outcomes of adult patients with hemophagocytic lymphohistiocytosis. Am J Hematol. 2015;90(3):220–4.

    CAS  Article  Google Scholar 

  36. Pan H, Huo Y, Sun L. Comparison between clinical features and prognosis of malignancy- and non-malignancy-associated pediatric hemophagocytic lymphohistiocytosis. BMC Pediatr. 2019;19(1):468.

    CAS  Article  Google Scholar 

  37. Apodaca E, Rodríguez-Rodríguez S, Tuna-Aguilar EJ, Demichelis-Gómez R. Prognostic factors and outcomes in adults with secondary hemophagocytic lymphohistiocytosis: a single-center experience. Clin Lymphoma Myeloma Leuk. 2018;18(10):e373–80.

    Article  Google Scholar 

Download references

Acknowledgements

Jigang Yang was supported by National Natural Science Foundation of China (No: 81771860, 81971642), Beijing Natural Science Foundation (No:7192041), National Key Research and Development Plan (No: 2017YFC0114003).

Author information

Affiliations

Authors

Contributions

JL, XY and JY made substantial contributions to the conception or design of the work; or the acquisition, analysis, or interpretation of data; or the creation of new software used in the work. JL drafted the work and revised it critically for important intellectual content. JY approved the version to be published; and agree to be accountable for all aspects of the work in ensuring that questions related to the accuracy or integrity of any part of the work are appropriately investigated and resolved.

Corresponding author

Correspondence to Jigang Yang.

Ethics declarations

Conflict of interest

All authors declared that there was no conflicts of interest and sources of funding.

Additional information

Publisher's Note

Springer Nature remains neutral with regard to jurisdictional claims in published maps and institutional affiliations.

Rights and permissions

Reprints and Permissions

About this article

Verify currency and authenticity via CrossMark

Cite this article

Liu, J., Yang, X. & Yang, J. Prognosis predicting value of semiquantitative parameters of visceral adipose tissue and subcutaneous adipose tissue of 18F-FDG PET/CT in newly diagnosed secondary hemophagocytic lymphohistiocytosis. Ann Nucl Med 35, 386–396 (2021). https://doi.org/10.1007/s12149-021-01577-9

Download citation

  • Received:

  • Accepted:

  • Published:

  • Issue Date:

  • DOI: https://doi.org/10.1007/s12149-021-01577-9

Keywords

  • Adipose tissue
  • Hemophagocytic lymphohistiocytosis
  • PET/CT
  • Prognosis